Todo
Apuntes
Ejercicios
Exámenes
chevron_left
chevron_right

apuntes

-

Temario-2-9

He publicado nuevos apuntes de 1º Cálculo: Temario-2-9

Tema9-Importante-Teoria-Ejercicio-Exame.pdf
Tema7-Importante-siempre-CAETeoria-Eje.pdf
Tema8-Muy-importante-cae-en-los-examene.pdf
Tema6-Recomiendo-mirarlo.pdf
Tema5-Muchos-ejercicios-y-teoria-1.pdf
Tema4-Introduccion-a-los-numeros-nume.pdf

He publicado nuevos ejercicios de 1º Cálculo: Calculo-relaciones-resueltas.pdf

19 páginas

He publicado nuevos examenes de 1º Cálculo: Calculo-examenes-resueltos.pdf

15 páginas

He publicado nuevos apuntes de 1º Cálculo: Calculo-apuntes-clase.pdf

73 páginas

examenes

-

Exámenes Finales Resueltos

He publicado nuevos examenes de 1º Cálculo: Exámenes Finales Resueltos

matII-feb18-corregido.pdf
matII-control-ene-21-resuelto.pdf
matII-feb21-resuelto.pdf
matII-sep18-corregido.pdf
matII-sep20-resuelto.pdf

apuntes

-

Temario Completo

He publicado nuevos apuntes de 1º Cálculo: Temario Completo

Tema-3.pdf
Tema-1.pdf
Tema-2.pdf

apuntes

-

apuntes calculo II

He publicado nuevos apuntes de 1º Cálculo: apuntes calculo II

Integracionporpartes-2.pdf
MATEMATICASCalculoIntegralMetododeI.pdf
FRACCIONESPARCIALES.pdf
SEMANA11INTEGRACIONPORPARTES.pdf
CalculoDiferencialeIntegralIntegraci.pdf
EjerciciosdeintegracionporpartesEje.pdf

apuntes

-

apuntes de calculo

He publicado nuevos apuntes de 1º Cálculo: apuntes de calculo

tema-8.pdf
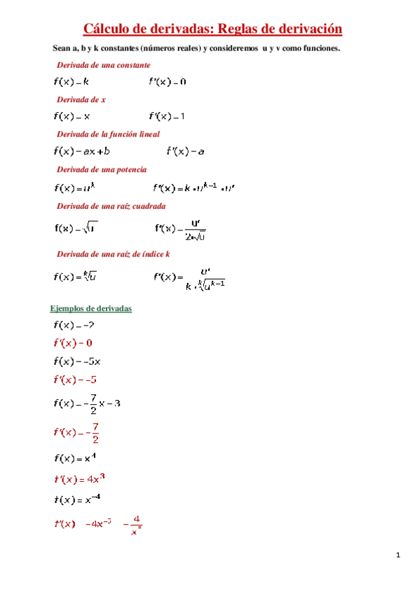
Calculo-de-derivadas.pdf
PurcellVarbergRigdonCalculocap1.pdf
apuntes-derivadas.pdf
1485.pdf
calculocap06.pdf

apuntes

-

Asignatura Completa

He publicado nuevos apuntes de 1º Cálculo: Asignatura Completa

Segundoexamen20112012.pdf
ApuntesClaseResumenesyProblemas.pdf
Primerexamen20102011.pdf
Segundoexamen20122013.pdf
Primerexamen20112012.pdf
Primerexamen20122013-1.pdf

examenes

-

Exámenes 2011/19

He publicado nuevos examenes de 1º Cálculo: Exámenes 2011/19

Febrero-2014.pdf
Febrero-2016.pdf
Febrero-2011.pdf
Febrero-2019.pdf
Febrero-2018.pdf
Febrero-2013.pdf

examenes

-

Exámenes de Teleco (mismo temario)

He publicado nuevos examenes de 1º Cálculo: Exámenes de Teleco (mismo temario)

1415Feb.pdf
1213Feb.pdf
1011Feb.pdf
1213Sep.pdf
1011Sep.pdf
1314Sep.pdf

apuntes

-

Apuntes con exámenes resueltos

He publicado nuevos apuntes de 1º Cálculo: Apuntes con exámenes resueltos

Volumenes-de-revolucion-.pdf
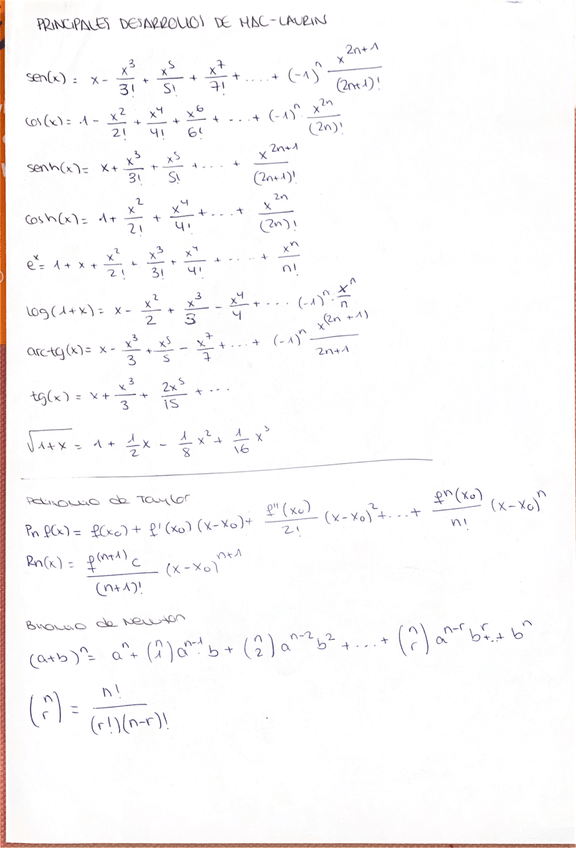
Taylor-.pdf
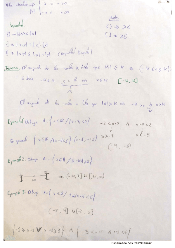
Limites-de-funciones-y-sucesiones-.pdf
Campos-escalares.pdf
Numeros-complejos-.pdf
Multiplicadores-de-Lagrange-.pdf
Anónimo

@Anónimo

He publicado nuevos examenes de 1º Cálculo: Calculo-resueltos.pdf

40 páginas

apuntes

-

Apuntes Maxima

He publicado nuevos apuntes de 1º Cálculo: Apuntes Maxima

resumenmaxima.pdf
algebraMAXIMA.pdf
Preguntas.pdf

ejercicios

-

TAREAS

He publicado nuevos ejercicios de 1º Cálculo: TAREAS

11.pdf
6.pdf
14.pdf
14.pdf
11.pdf
9.pdf