chevron_left
chevron_right
Todo
Apuntes
Ejercicios
Exámenes
chevron_left
chevron_right

He publicado nuevos examenes de 1º Cálculo: PEC3-solucion.pdf

3 páginas

He publicado nuevos examenes de 1º Cálculo: PEC2-solucion.pdf

3 páginas

He publicado nuevos examenes de 1º Cálculo: PEC1solucion.pdf

4 páginas

He publicado nuevos examenes de 1º Cálculo: Final-Enero.pdf

7 páginas

He publicado nuevos ejercicios de 1º Cálculo: Calculo-diferencial.pdf

5 páginas

He publicado nuevos apuntes de 1º Cálculo: Calculo-diferencial-I.pdf

25 páginas

He publicado nuevos apuntes de 1º Cálculo: Calculo-diferencial-II.pdf

17 páginas

He publicado nuevos apuntes de 1º Cálculo: CTema3curso2021.pdf

14 páginas

He publicado nuevos apuntes de 1º Cálculo: CSolBol3curso2021.pdf

7 páginas

He publicado nuevos apuntes de 1º Cálculo: Tema-2.pdf

10 páginas

He publicado nuevos apuntes de 1º Cálculo: CBol3curso2021.pdf

2 páginas

He publicado nuevos apuntes de 1º Cálculo: Boletin-2.pdf

1 página

He publicado nuevos apuntes de 1º Cálculo: CSolBol2curso2021.pdf

5 páginas

He publicado nuevos apuntes de 1º Cálculo: Presentacion-2.pdf

43 páginas

He publicado nuevos apuntes de 1º Cálculo: Presentacion-1.pdf

115 páginas

He publicado nuevos apuntes de 1º Cálculo: CSolBol1curso2021.pdf

7 páginas

He publicado nuevos apuntes de 1º Cálculo: Tema-1.pdf

13 páginas

He publicado nuevos apuntes de 1º Cálculo: Boletin-1.pdf

2 páginas
Anónimo

@Anónimo

He publicado nuevos apuntes de 1º Cálculo: Boletin-Navidad-2020.pdf

11 páginas

ejercicios

-

Ejercicios solucionados

He publicado nuevos ejercicios de 1º Cálculo: Ejercicios solucionados

ejercicios-57.pdf
ejercicios-53.pdf
ejercicios-52.pdf
ejercicios-58.pdf
ejercicios-51.pdf
ejercicios-56.pdf

He publicado nuevos examenes de 1º Cálculo: Enero-2019.pdf

5 páginas

He publicado nuevos examenes de 1º Cálculo: Enero-2018.pdf

6 páginas

examenes

-

Julio 2018

He publicado nuevos examenes de 1º Cálculo: Julio 2018

Julio-2018.pdf

He publicado nuevos apuntes de 1º Cálculo: Tema 5 Resumen.pdf

7 páginas

He publicado nuevos apuntes de 1º Cálculo: Boletín 4 ONENOTE.pdf

12 páginas

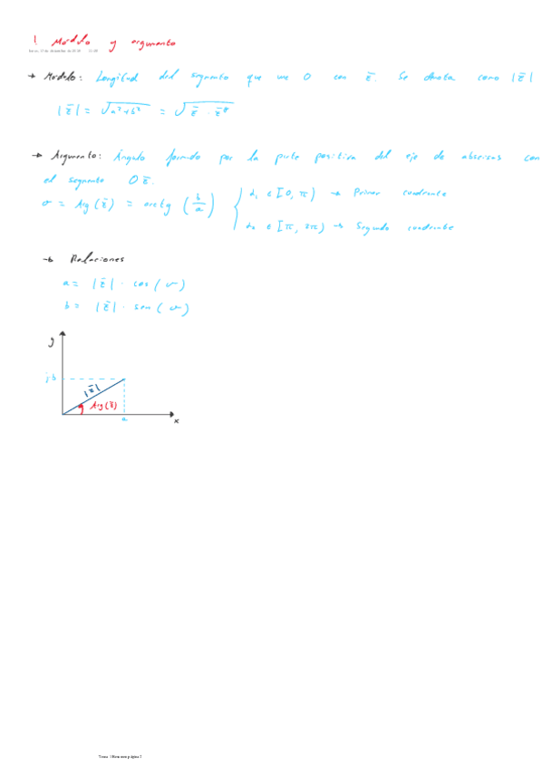
He publicado nuevos apuntes de 1º Cálculo: Tema 3 Resumen ONENOTE.pdf

5 páginas

He publicado nuevos ejercicios de 1º Cálculo: Boletín 3 ONENOTE.pdf

8 páginas

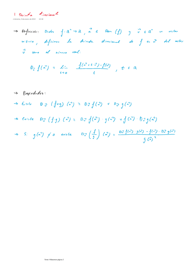
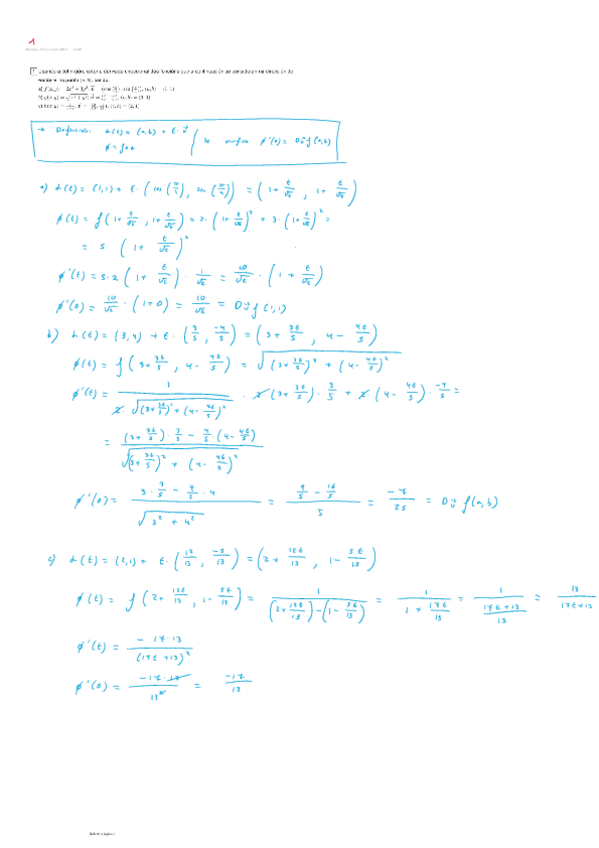
He publicado nuevos apuntes de 1º Cálculo: Tema 4 Resumen ONENOTE.pdf

7 páginas

He publicado nuevos apuntes de 1º Cálculo: Resumen ONENOTE.pdf

4 páginas

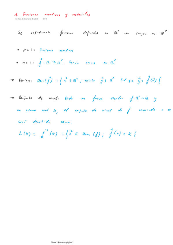
He publicado nuevos apuntes de 1º Cálculo: Tema 2 Resumen ONENOTE.pdf

11 páginas

He publicado nuevos ejercicios de 1º Cálculo: Boletin 1 ONENOTE.pdf

13 páginas
¡Estás al día!

¡Estás al día!

Has visto todos los archivos