Todo
Apuntes
Ejercicios
chevron_left
chevron_right

He publicado nuevos ejercicios de 1º Cálculo: AMPLIACION-DE-CALCULO-apuntes-y-ejs-resueltos.pdf

89 páginas

He publicado nuevos apuntes de 1º Cálculo: Tema3FuncionesVariasVariables.pdf

17 páginas

He publicado nuevos apuntes de 1º Cálculo: Tema2IntegralesyDerivadas.pdf

21 páginas

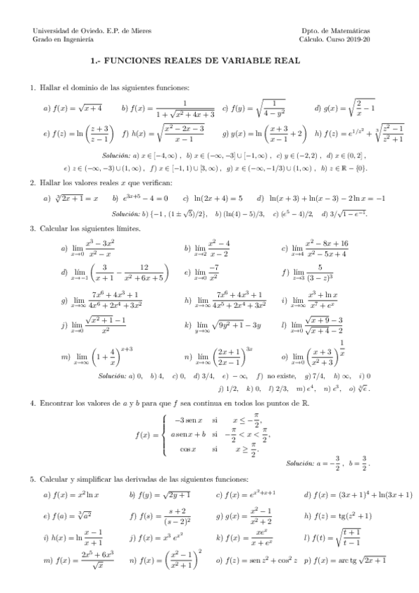
He publicado nuevos apuntes de 1º Cálculo: Tema1Funciones.pdf

28 páginas

He publicado nuevos apuntes de 1º Cálculo: p-variasvaribles.pdf

4 páginas

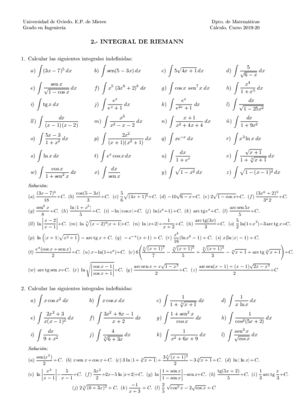
He publicado nuevos apuntes de 1º Cálculo: p-integracion.pdf

3 páginas

He publicado nuevos apuntes de 1º Cálculo: prac2.pdf

3 páginas

He publicado nuevos apuntes de 1º Cálculo: p-funciones.pdf

4 páginas

He publicado nuevos apuntes de 1º Cálculo: Examen-Diciembre.pdf

1 página