chevron_left
chevron_right
Todo
Apuntes
Ejercicios
Exámenes
chevron_left
chevron_right

He publicado nuevos examenes de 1º Cálculo: Prueba-1-Calculo-2025.pdf

4 páginas

examenes

-

EXÁMENES RESUELTOS

He publicado nuevos examenes de 1º Cálculo: EXÁMENES RESUELTOS

PARCIAL-CALCULO.pdf
EXTRAORDINARIO-2021.pdf
EX-CALCULO.pdf
PARCIAL-1-ing-biomedica.pdf
1-PARCIAL-CALCULO-22-23.pdf
2-PARCIAL-COMPLEJO.pdf
Anónimo

@Anónimo

He publicado nuevos apuntes de 1º Cálculo: APUNTES-VARIABLE-COMPLEJA.pdf

1 página
Anónimo

@Anónimo

He publicado nuevos examenes de 1º Cálculo: PARCIAL-2-2023.pdf

1 página
Anónimo

@Anónimo

ejercicios

-

VARIABLE COMPLEJA

He publicado nuevos ejercicios de 1º Cálculo: VARIABLE COMPLEJA

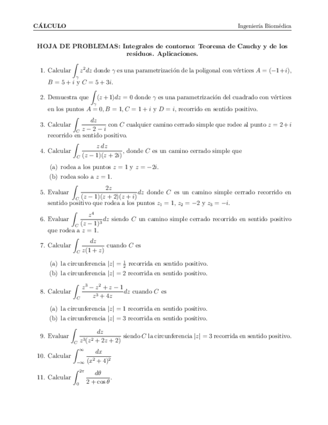
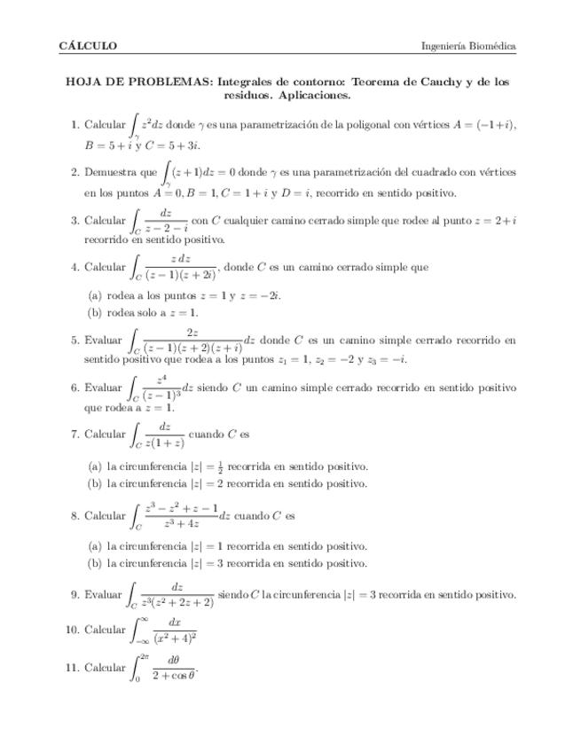
EJ-T4-INTEGRALES-DE-CONTORNO.pdf
EJ-T3-SERIES-DE-TAYLOR-Y-LAURENT.pdf
EJ-T2-DERIVACION.pdf
EJ-T1-FUNCIONES-COMPLEJAS.pdf
Anónimo

@Anónimo

He publicado nuevos examenes de 1º Cálculo: PARCIAL-1-2023.pdf

2 páginas
Anónimo

@Anónimo

He publicado nuevos apuntes de 1º Cálculo: APUNTES-VARIABLE-REAL.pdf

2 páginas
Anónimo

@Anónimo

ejercicios

-

VARIABLE REAL

He publicado nuevos ejercicios de 1º Cálculo: VARIABLE REAL

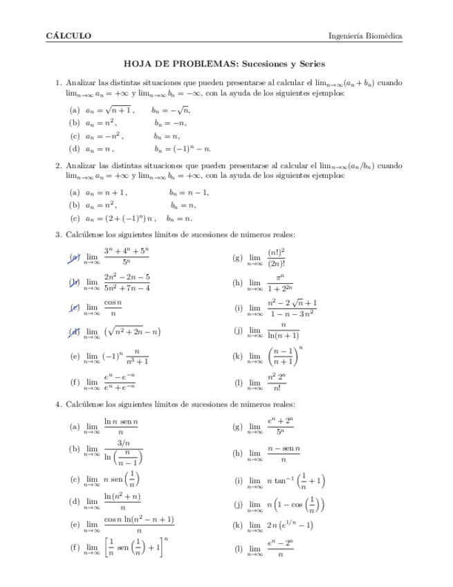
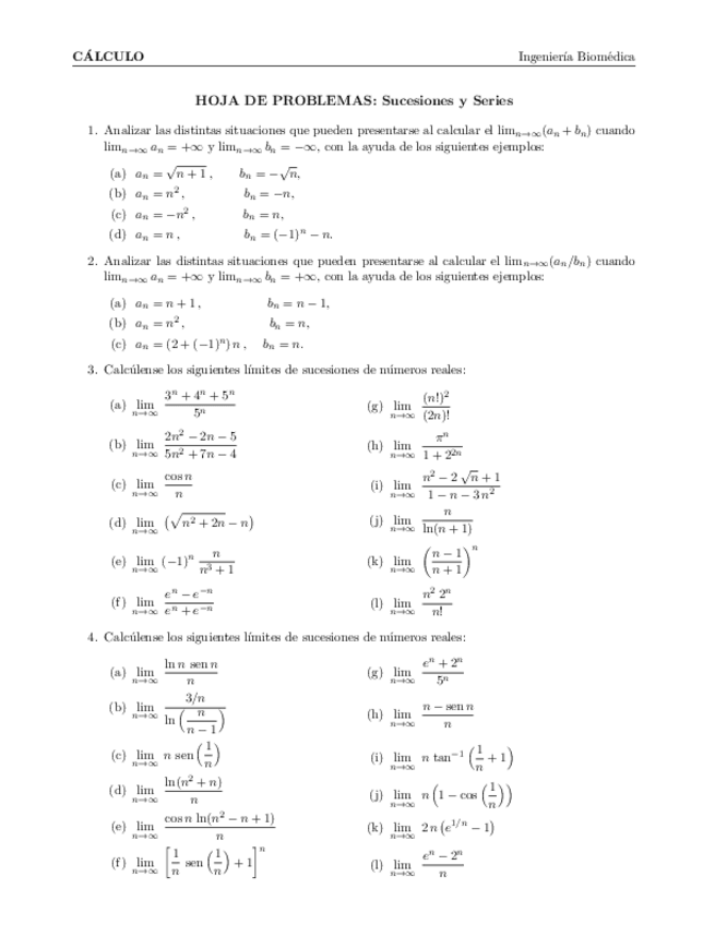
EJ-T5-SUCESIONES-YSERIES.pdf
EJ-T4-CALCULO-INTEGRAL.pdf
EJ-T3-CALCULO-DIFERENCIAL.pdf
EJ-T2-LIMITES-Y-CONTINUIDAD.pdf
EJ-T1-TOPOLOGIA-Rn.pdf
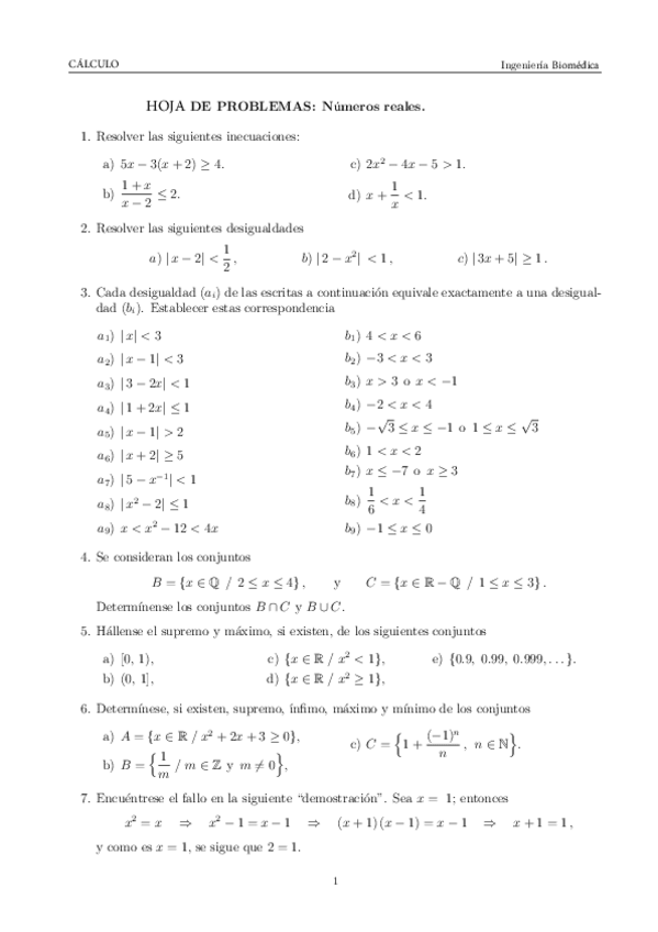
EJ-T0-NUMEROS-REALES.pdf
Anónimo

@Anónimo

He publicado nuevos examenes de 1º Cálculo: ORDINARIO-2024.pdf

1 página

examenes

-

examenes

He publicado nuevos examenes de 1º Cálculo: examenes

2-ordinario-2019.jpeg.jpg
ordinario-2019.jpeg.jpg
PRUEBA-2019.jpeg.jpg
REPASO-1-.jpeg.jpg
REPASO-2.jpeg.jpg

He publicado nuevos examenes de 1º Cálculo: REPASO-2.jpeg.jpg

Imagen

He publicado nuevos examenes de 1º Cálculo: REPASO-1-.jpeg.jpg

Imagen

He publicado nuevos examenes de 1º Cálculo: PRUEBA-2019.jpeg.jpg

Imagen

He publicado nuevos examenes de 1º Cálculo: ordinario-hoja-1.pdf

1 página

He publicado nuevos examenes de 1º Cálculo: ordinario-2019.jpeg.jpg

Imagen

He publicado nuevos examenes de 1º Cálculo: 2-ordinario-2019.jpeg.jpg

Imagen

ejercicios

-

EJERCICIOS CÁLCULO

He publicado nuevos ejercicios de 1º Cálculo: EJERCICIOS CÁLCULO

BLOQUE-1-Variable-real.pdf
BLOQUE-2-Variable-compleja.pdf
REPASO.pdf

ejercicios

-

Variable Compleja

He publicado nuevos ejercicios de 1º Cálculo: Variable Compleja

4.-Integrales-de-contorno.-Teorema-de-Cauchy-y-de-los-residuos.pdf
3.-Series-de-Taylor-y-Laurent.-Polos-y-residuos.pdf
2.-Derivacion-de-funciones-de-variable-compleja.pdf
1.-Funciones-elementales-de-variable-compleja.pdf

ejercicios

-

Variable Real

He publicado nuevos ejercicios de 1º Cálculo: Variable Real

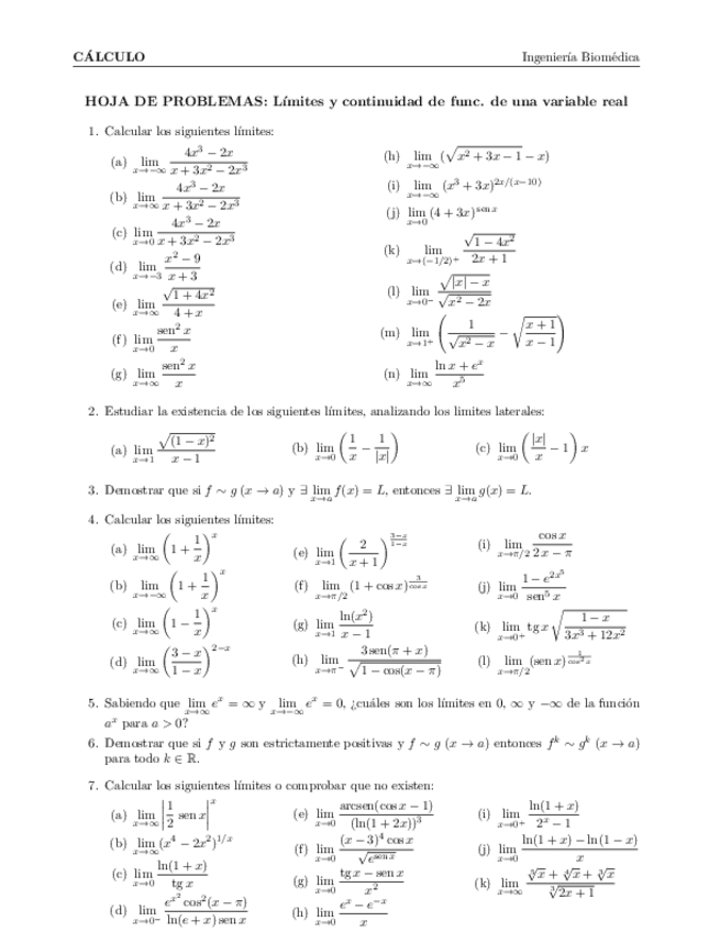
3-Limites-y-Continuidad-R.pdf
2-Ejercicios-Sucesiones-y-Series.pdf
1-Ejercicios-Topologia.pdf
0-Ejercicios-Numeros-Reales.pdf
8-Integrales-Multiples.pdf
6-Calculo-Diferencial-Rn.pdf

ejercicios

-

Variable Compleja

He publicado nuevos ejercicios de 1º Cálculo: Variable Compleja

Integrales-de-contorno.pdf
Derivacion-de-funciones-de-variable-compleja.pdf
¡Estás al día!

¡Estás al día!

Has visto todos los archivos