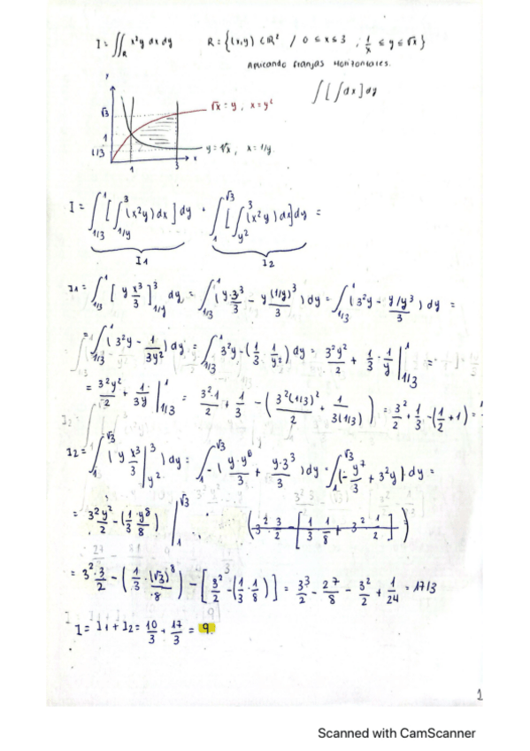
Cálculo
Parcial 1 cálculo

He publicado nuevos ejercicios de 1º Cálculo: Calculo-Entrega-1-2022-2023.pdf
He publicado nuevos ejercicios de 1º Cálculo: Calculo-Entrega-3-2022-2023.pdf
He publicado nuevos ejercicios de 1º Cálculo: Calculo-Entrega-1-2023-2024.pdf
He publicado nuevos ejercicios de 1º Cálculo: Calculo-Entrega-2-2022-2023.pdf
He publicado nuevos ejercicios de 1º Cálculo: Calculo-Entrega-2-2023-2024.pdf
He publicado nuevos ejercicios de 1º Cálculo: Calculo-Entrega-3-2023-2024.pdf
examenes
-
Controles 2023-2024
He publicado nuevos examenes de 1º Cálculo: Controles 2023-2024
He publicado nuevos trabajos de 1º Cálculo: entrega-de-calculo-1.pdf
He publicado nuevos trabajos de 1º Cálculo: caculo-entrga-3-gibi.pdf
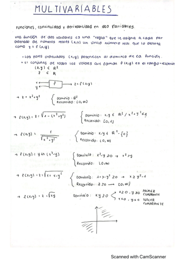
He publicado nuevos apuntes de 1º Cálculo: funciones-limites-y-continuidad-en-una-variable.pdf
¡Estás al día!
Has visto todos los archivos