Caminos (Especialidad Construcciones Civiles)

chevron_left
chevron_right
Todo
Apuntes
Ejercicios
Prácticas
chevron_left
chevron_right

apuntes

-

Apuntes de Teoría + Prontuarios

La parte de firmes incluye un apartado de drenajes correspondiente a C. Civiles

Apuntes Tráfico + Deducciones.pdf
Preguntas Tipo Firmes + Prontuario.pdf.pdf
Preguntas Tipo Trazados + Ejercicios Tipo.pdf

ejercicios

-

Entregas de Caminos

He publicado nuevos ejercicios de 3º Caminos (Especialidad Construcciones Civiles): Entregas de Caminos

Entregas Firmes.pdf
Entregas Trazado.pdf
Entregas Tráfico.pdf

Toda la teoría importante de firmes

8 páginas

Los tres ejercicios tipo examen de trazado resueltos

7 páginas

apuntes

-

Ejercicios tipo examen trazado

He publicado nuevos apuntes de 3º Caminos (Especialidad Construcciones Civiles): Ejercicios tipo examen trazado

Trazadoej38clotoides.pdf
Trazadoej47.pdf
Trazadoej51.pdf

apuntes

-

Trazado y tráfico

He publicado nuevos apuntes de 3º Caminos (Especialidad Construcciones Civiles): Trazado y tráfico

Ejercicio-longitudes-de-clotoide.pdf
Comprobacion-norma-de-trazado.pdf
Ejercicio-visibilidad.pdf
Ejercicio-IMD.pdf
Deducciones-no-deslizamiento-no-vuelco.pdf
Integral.pdf

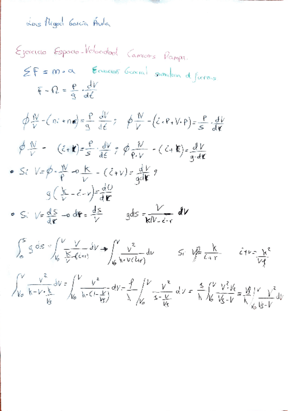
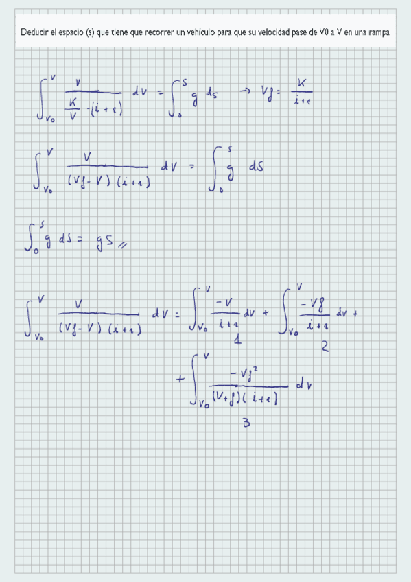
He publicado nuevos practicas de 3º Caminos (Especialidad Construcciones Civiles): Entrega-Caminos-Rampa-Velocidad.pdf

2 páginas

He publicado nuevos ejercicios de 3º Caminos (Especialidad Construcciones Civiles): Problemas-Resueltos-Trazado-caminos.pdf

37 páginas

He publicado nuevos ejercicios de 3º Caminos (Especialidad Construcciones Civiles): Problemas-Resueltos-Trafico-caminos.pdf

128 páginas

apuntes

-

Tecnología del Asfalto

He publicado nuevos apuntes de 3º Caminos (Especialidad Construcciones Civiles): Tecnología del Asfalto

Asfalto-Extraccion-de-Ideas001.pdf
¡Estás al día!

¡Estás al día!

Has visto todos los archivos