chevron_left
chevron_right
Todo
Apuntes
Preguntas
Ejercicios
Exámenes
Prácticas
chevron_left
chevron_right

He publicado nuevos practicas de 1º Campos Electromágneticos: Practica-Complejos.pdf

7 páginas

He publicado nuevos examenes de 1º Campos Electromágneticos: PARCIAL-2122-RESUELTO.pdf

7 páginas

apuntes

-

Examenes Campos Electromagnéticos

He publicado nuevos apuntes de 1º Campos Electromágneticos: Examenes Campos Electromagnéticos

CEJunio2019variableCompleja.pdf
CEmarzo2019BLOQUEII.pdf
Extraordinaria-2019-Bloque-1.pdf
Hoja-para-el-examenoperadores-vectoriales.pdf
Parcial-2019-Bloque-1.pdf
Parcial-2020-Bloque-1.pdf

He publicado nuevos apuntes de 1º Campos Electromágneticos: Interpretacion-fisica-de-las-ecuaciones-de-Maxwell.pdf

6 páginas

He publicado nuevos practicas de 1º Campos Electromágneticos: Practica-Matlab.pdf

10 páginas

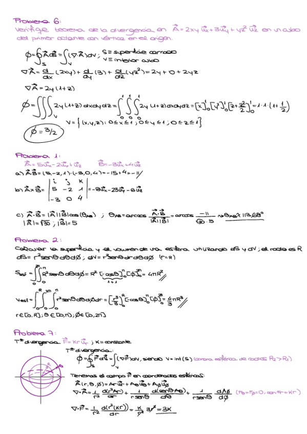
He publicado nuevos ejercicios de 1º Campos Electromágneticos: Ejercicios-resueltos-T.3-Campos.pdf

1 página

He publicado nuevos apuntes de 1º Campos Electromágneticos: Tema-5.pdf

8 páginas

He publicado nuevos apuntes de 1º Campos Electromágneticos: Tema-6.pdf

3 páginas

He publicado nuevos ejercicios de 1º Campos Electromágneticos: Boletin-Ejercicios-Tema-5.pdf

3 páginas

He publicado nuevos ejercicios de 1º Campos Electromágneticos: Boletin-Ejercicios-Tema-4.pdf

5 páginas

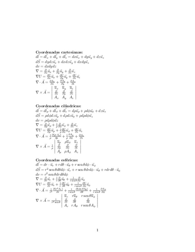
He publicado nuevos apuntes de 1º Campos Electromágneticos: Sistemas-De-Coordenadas-Tema-4.pdf

3 páginas

He publicado nuevos ejercicios de 1º Campos Electromágneticos: CE.-Ejercicios-2aParte-1.pdf

111 páginas

He publicado nuevos ejercicios de 1º Campos Electromágneticos: CE.-Ejercicios-1aParte-1.pdf

44 páginas

He publicado nuevos practicas de 1º Campos Electromágneticos: Practica-matlab.pdf

10 páginas

He publicado nuevos apuntes de 1º Campos Electromágneticos: Apuntes-Campos-Bloque-1.pdf

8 páginas

He publicado nuevos apuntes de 1º Campos Electromágneticos: apuntes-tema-1.pdf

5 páginas

He publicado nuevos apuntes de 1º Campos Electromágneticos: Tema-3.pdf

2 páginas

He publicado nuevos apuntes de 1º Campos Electromágneticos: Tema-2.pdf

3 páginas

He publicado nuevos apuntes de 1º Campos Electromágneticos: Tema-1.pdf

1 página

He publicado nuevos apuntes de 1º Campos Electromágneticos: Tema-5.pdf

2 páginas

He publicado nuevos apuntes de 1º Campos Electromágneticos: Tema-6.pdf

2 páginas

He publicado nuevos examenes de 1º Campos Electromágneticos: solucion-2do-examen-campos-2020.pdf

26 páginas

He publicado nuevos apuntes de 1º Campos Electromágneticos: Tema-4.pdf

5 páginas
Anónimo

@Anónimo

examenes

-

1ºParte

He publicado nuevos examenes de 1º Campos Electromágneticos: 1ºParte

extraordinaria201920.pdf
extraordinaria201819.pdf
primerparcial201819.pdf
primerparcial201920.pdf
Examen resuelto 220420

He publicado nuevos ejercicios de 1º Campos Electromágneticos: T1.pdf

5 páginas

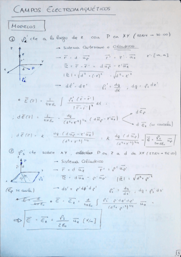
He publicado nuevos apuntes de 1º Campos Electromágneticos: MODELOS-CEM.pdf

10 páginas

He publicado nuevos apuntes de 1º Campos Electromágneticos: T6-CEM.pdf

4 páginas

He publicado nuevos apuntes de 1º Campos Electromágneticos: T5-CEM.pdf

9 páginas

He publicado nuevos apuntes de 1º Campos Electromágneticos: T4-CEM.pdf

6 páginas

He publicado nuevos apuntes de 1º Campos Electromágneticos: T3-CEM.pdf

6 páginas

He publicado nuevos apuntes de 1º Campos Electromágneticos: T2-CEM.pdf

8 páginas

He publicado nuevos apuntes de 1º Campos Electromágneticos: T1-CEM.pdf

8 páginas
Anónimo

@Anónimo

He publicado nuevos apuntes de 1º Campos Electromágneticos: CamposAcademia.pdf

28 páginas

ejercicios

-

Campos Electromagnéticos

He publicado nuevos ejercicios de 1º Campos Electromágneticos: Campos Electromagnéticos

ProblemasCEAE1819.pdf
ProblemasCEAE1819aux.pdf
ejerciciostransparenciasT1.pdf
Tema2CEAeroespacial2018-2019.pdf
sistemascoordenadasplanos.pdf
operadoresapaisado.pdf

He publicado nuevos ejercicios de 1º Campos Electromágneticos: Ejercicios-Tema3.pdf

1 página

He publicado nuevos examenes de 1º Campos Electromágneticos: CEJunio2017.pdf

2 páginas
¡Estás al día!

¡Estás al día!

Has visto todos los archivos