Campos y Formas

chevron_left
chevron_right
Todo
Apuntes
Ejercicios
Exámenes
chevron_left
chevron_right

He publicado nuevos apuntes de 3º Campos y Formas: apuntes-temas-1-y-2-cyf.pdf

2 páginas
Anónimo

@Anónimo

He publicado nuevos apuntes de 3º Campos y Formas: Camposyformas.pdf

117 páginas

apuntes

-

APUNTES Y EJERCICIOS

He publicado nuevos apuntes de 3º Campos y Formas: APUNTES Y EJERCICIOS

Metodos-en-diferencias-finitas.pdf
RNE-no-lineales-escalares.pdf
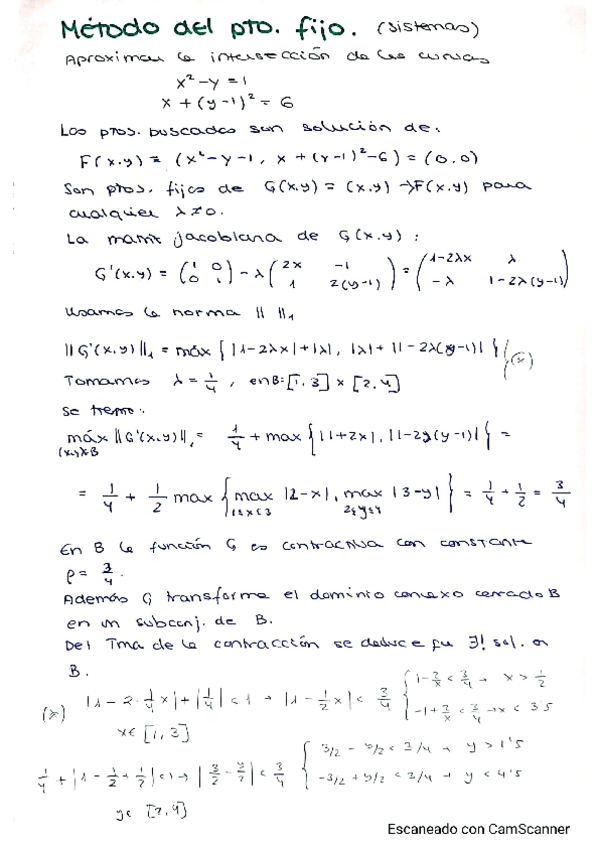
Metodo-del-punto-fijo-sistemas.pdf
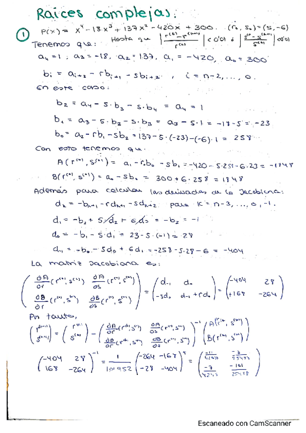
Raices-complejas.pdf
Metodo-del-punto-fijo.pdf
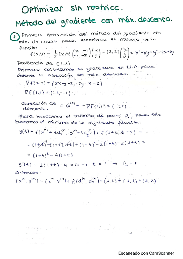
Optimizar-sin-restricciones.pdf

ejercicios

-

EJERCICIOS

He publicado nuevos ejercicios de 3º Campos y Formas: EJERCICIOS

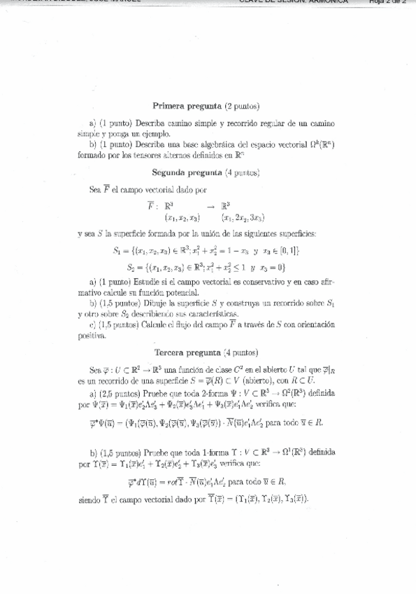
Campos-y-Formas.pdf
Campos-y-Formas.pdf
Campos-y-Formas.pdf

examenes

-

EXÁMENES

He publicado nuevos examenes de 3º Campos y Formas: EXÁMENES

Campos-y-Formas.pdf
Campos-y-Formas.pdf
Campos-y-Formas.pdf
Campos-y-Formas.pdf

He publicado nuevos apuntes de 3º Campos y Formas: Examenes-Resueltos-de-Campos-y-Formas.pdf

73 páginas
¡Estás al día!

¡Estás al día!

Has visto todos los archivos