Campos y Ondas

chevron_left
chevron_right
Todo
Apuntes
Ejercicios
Exámenes
Otros
PEC
Prácticas
publication
chevron_left
chevron_right

apuntes

-

Tema 2

Resúmenes del tema 2

campost24.pdf
Campost21.pdf
Campost22.pdf
Campost23.pdf

apuntes

-

Tema 1 campos y ondas

Resumen/formulario de los subapartados del tema 1

11repasocalculo.pdf
12repasofisicaII.pdf
13ondaselectromagnetismo.pdf
14fundamentosradiacion.pdf
15parametrosradiacion.pdf

He publicado nuevos examenes de 2º Campos y Ondas: Parcial-2-2425.pdf

1 página

He publicado nuevos examenes de 2º Campos y Ondas: Parcial-1-2425.pdf

1 página

He publicado nuevos ejercicios de 2º Campos y Ondas: Ejercicios-Preparacion-Parcial-2.pdf

20 páginas

He publicado nuevos ejercicios de 2º Campos y Ondas: Ejercicios-Preparacion-Parcial-1.pdf

21 páginas

Apuntes de los Temas 4, 5 y 6

11 páginas

Apuntes de los temas 1, 2 y 3

14 páginas

He publicado nuevos examenes de 2º Campos y Ondas: Examen-Enero-2026.pdf

4 páginas

apuntes

-

Apuntes

He publicado nuevos apuntes de 2º Campos y Ondas: Apuntes

Tema-1.pdf
Tema-2.pdf
Tema-3.pdf
Tema-4.pdf
Tema-5.pdf
Tema-6.pdf

Explicación paso a paso de como se calcula H, B y M en un toroide entero o toroide+rodaja

2 páginas

apuntes verificados por cristiano ronaldo

7 páginas

[EJERCICIO RESUELTO TEMA 2] Teorema de Gauss - Cómo Verificar la Divergencia en un Cubo (1er octante)

[EJERCICIO RESUELTO TEMA 2] Recta en el Espacio: Vector Director, Longitud P₁P₂ y Distancia al origen | Paso a paso

He publicado nuevos apuntes de 2º Campos y Ondas: Boletin2.pdf

6 páginas

He publicado nuevos apuntes de 2º Campos y Ondas: Boletin3.pdf

19 páginas

He publicado nuevos apuntes de 2º Campos y Ondas: Boletin5.pdf

15 páginas

He publicado nuevos apuntes de 2º Campos y Ondas: Boletin4.pdf

16 páginas

He publicado nuevos apuntes de 2º Campos y Ondas: Boletin6.pdf

23 páginas

He publicado nuevos apuntes de 2º Campos y Ondas: Boletin7.pdf

20 páginas
Anónimo

@Anónimo

He publicado nuevos apuntes de 2º Campos y Ondas: Apuntes-campos-y-ondas-3.pdf

6 páginas
Anónimo

@Anónimo

He publicado nuevos apuntes de 2º Campos y Ondas: Apuntes-campos-y-ondas-2.pdf

24 páginas
Anónimo

@Anónimo

He publicado nuevos apuntes de 2º Campos y Ondas: Apuntes-campos-y-ondas-1.pdf

24 páginas

apuntes

-

Apuntes campos y ondas

He publicado nuevos apuntes de 1º Campos y Ondas: Apuntes campos y ondas

Tema-1.pdf
Tema-3.pdf
Tema-4.pdf
Tema-2.pdf

He publicado nuevos apuntes de 2º Campos y Ondas: Practicas-campos-y-ondas.pdf

8 páginas

He publicado nuevos ejercicios de 2º Campos y Ondas: Tests Prácticas.pdf

11 páginas
Anónimo

@Anónimo

He publicado nuevos ejercicios de 2º Campos y Ondas: p0458e52d774d1a9272a64f229c4c8ddc9f.pdf

1 página
Anónimo

@Anónimo

He publicado nuevos ejercicios de 2º Campos y Ondas: p06156b03774ad5d2862e8d84fcc6c79d94.pdf

2 páginas

He publicado nuevos apuntes de 2º Campos y Ondas: T.3 (Ondas Guiadas).pdf

41 páginas

He publicado nuevos apuntes de 2º Campos y Ondas: T.1-T.2.pdf

22 páginas

He publicado nuevos ejercicios de 2º Campos y Ondas: tema7y8resumenes-y-ejercicios.pdf

8 páginas

He publicado nuevos ejercicios de 2º Campos y Ondas: tema4resumenes-y-ejercicios.pdf

5 páginas

He publicado nuevos ejercicios de 2º Campos y Ondas: tema5resumenes-y-ejercicios.pdf

14 páginas

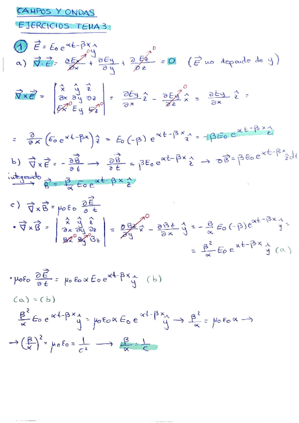
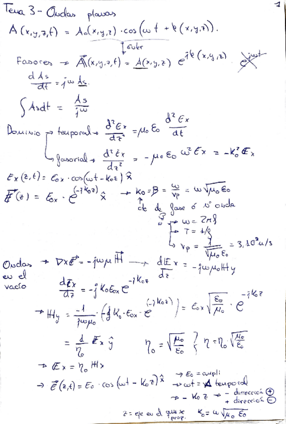
He publicado nuevos ejercicios de 2º Campos y Ondas: tema3resumenes-y-ejercicios.pdf

13 páginas

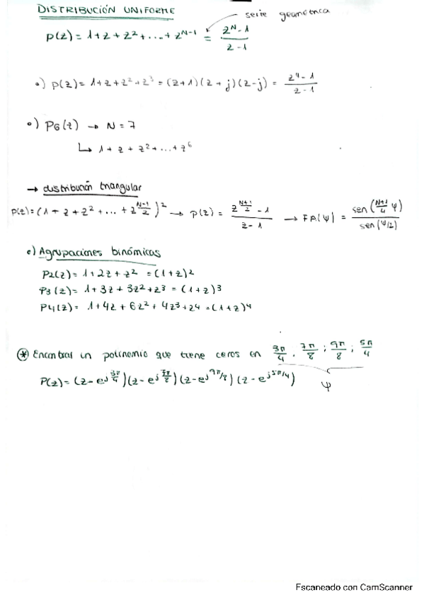
He publicado nuevos ejercicios de 2º Campos y Ondas: tema2resumenes-y-ejercicios.pdf

11 páginas

He publicado nuevos ejercicios de 2º Campos y Ondas: tema6resumenes-y-ejercicios.pdf

10 páginas

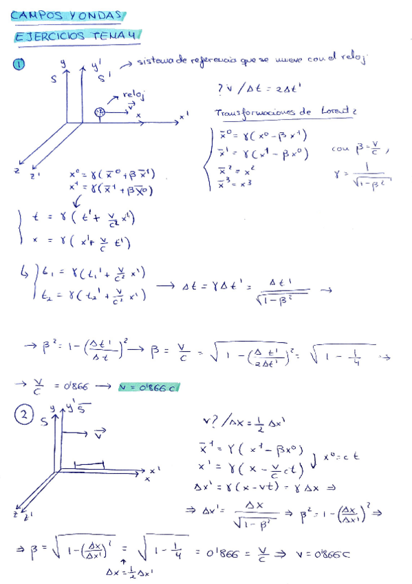
He publicado nuevos ejercicios de 2º Campos y Ondas: tema1resumenes-y-ejercicios.pdf

12 páginas

He publicado nuevos ejercicios de 2º Campos y Ondas: PAE-Enunciado-24-CAMPOS-Y-ONDA.pdf

2 páginas

He publicado nuevos ejercicios de 2º Campos y Ondas: PAE-Ejercicio-24-CAMPOS-Y-ONDAS.pdf

19 páginas

He publicado nuevos ejercicios de 2º Campos y Ondas: Tema-2-Sesion-de-Proboemas.pdf

2 páginas

Apuntes de la primera parte de campos y ondas

15 páginas

tipo test

3 páginas
Anónimo

@Anónimo

He publicado nuevos examenes de 2º Campos y Ondas: Examen2023.pdf

2 páginas

He publicado nuevos apuntes de 2º Campos y Ondas: resumen-bueno-segunda-parte.pdf

12 páginas

He publicado nuevos apuntes de 2º Campos y Ondas: Apuntes-de-campos-y-ondas-TODO.pdf

24 páginas

He publicado nuevos apuntes de 2º Campos y Ondas: ejercicios-parametros-de-antenas-tema-4-campos.pdf

8 páginas

He publicado nuevos apuntes de 2º Campos y Ondas: resumen-tema-4-campos.pdf

4 páginas

He publicado nuevos apuntes de 2º Campos y Ondas: Esquema-resumen-tema-3-campos.pdf

9 páginas

He publicado nuevos apuntes de 2º Campos y Ondas: teoria-tema-3-campos.pdf

22 páginas

He publicado nuevos apuntes de 2º Campos y Ondas: ejercicios-tema-4-campos.pdf

17 páginas

He publicado nuevos apuntes de 2º Campos y Ondas: ejercicios-tema-3-campos.pdf

37 páginas

He publicado nuevos apuntes de 2º Campos y Ondas: Resumen-practicas-campos.pdf

11 páginas

He publicado nuevos apuntes de 2º Campos y Ondas: parte-1-y-2-tema-2-campos-y-ondas.pdf

27 páginas

He publicado nuevos apuntes de 2º Campos y Ondas: ejercicios-examen-tema-1-campos-y-ondas.pdf

20 páginas

He publicado nuevos apuntes de 2º Campos y Ondas: ejercicios-tema-2-examen.pdf

15 páginas

He publicado nuevos apuntes de 2º Campos y Ondas: Tema-1-campos-y-ondas.pdf

37 páginas

He publicado nuevos apuntes de 2º Campos y Ondas: parte-3-y-4-tema-2-campos-y-ondas.pdf

25 páginas

apuntes

-

Teoría

He publicado nuevos apuntes de 1º Campos y Ondas: Teoría

Tema-1.pdf
Tema-2.pdf
Tema-3.pdf
Tema-4.pdf
Resumen-PEI-1.pdf

ejercicios

-

Problemas

He publicado nuevos ejercicios de 1º Campos y Ondas: Problemas

Ejercicios-Tema-3.pdf
Ejercicios-Tema-4.pdf
Problemas-Tema-1.pdf
Problemas-tema-2.pdf

He publicado nuevos apuntes de 1º Campos y Ondas: Formulario-T.4.pdf

1 página