Campos y ondas electromagnéticos

Todo
Apuntes
Exámenes
Otros
Prácticas
chevron_left
chevron_right

apuntes

-

Apuntes campos 24/25

He publicado nuevos apuntes de 3º Campos y ondas electromagnéticos: Apuntes campos 24/25

Apuntes-Midterm-1-Plane-waves-Normal-incidence-Change-of-media.pdf
Apuntes-Midterm-1-Plane-waves-Normal-incidence-Change-of-media.pdf
Formulas-plane-waves-change-of-media.pdf
Formulas-plane-waves-change-of-media.pdf
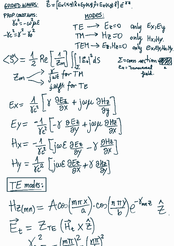
Formulas-Waveguides-Transmission-lines-Antennas.pdf
Formulas-Waveguides-Transmission-lines-Antennas.pdf

practicas

-

Labs/Assignments campos 24/25

He publicado nuevos practicas de 3º Campos y ondas electromagnéticos: Labs/Assignments campos 24/25

Assignment-1-Campos-y-ondas.pdf
Assignment-1-Campos-y-ondas.pdf
Assignment-2-campos-y-ondas.pdf
Assignment-2-campos-y-ondas.pdf
Analysis-of-dipole-radiation-with-HFSS.pdf
Analysis-of-dipole-radiation-with-HFSS.pdf

He publicado nuevos otros de 3º Campos y ondas electromagnéticos: GUIA-DOCENTE-Campos-y-ondas-electromagneticos.pdf

2 páginas

apuntes

-

Apuntes del curso

He publicado nuevos apuntes de 3º Campos y ondas electromagnéticos: Apuntes del curso

Antennas230114202150.pdf
Antennas230114202150.pdf
Boundary-conditions220915120055.pdf
Boundary-conditions220915120055.pdf
Guided-waves-in-lossy-media.pdf
Guided-waves-in-lossy-media.pdf
Anónimo

@Anónimo

He publicado nuevos examenes de 3º Campos y ondas electromagnéticos: solutionexacyoguidedwaves2022.pdf

5 páginas
Anónimo

@Anónimo

He publicado nuevos examenes de 3º Campos y ondas electromagnéticos: solutionexamplanewaves2022.pdf

6 páginas