Cartografía y Geomática

chevron_left
chevron_right
Todo
Apuntes
Ejercicios
Exámenes
Prácticas
chevron_left
chevron_right

apuntes

-

TEMARIO CARTO

(Hay alguna errata, me he dado cuenta ya estudiando)

Tema-4-Proyecciones-acimutales-cilindricas-y-conicas.pdf
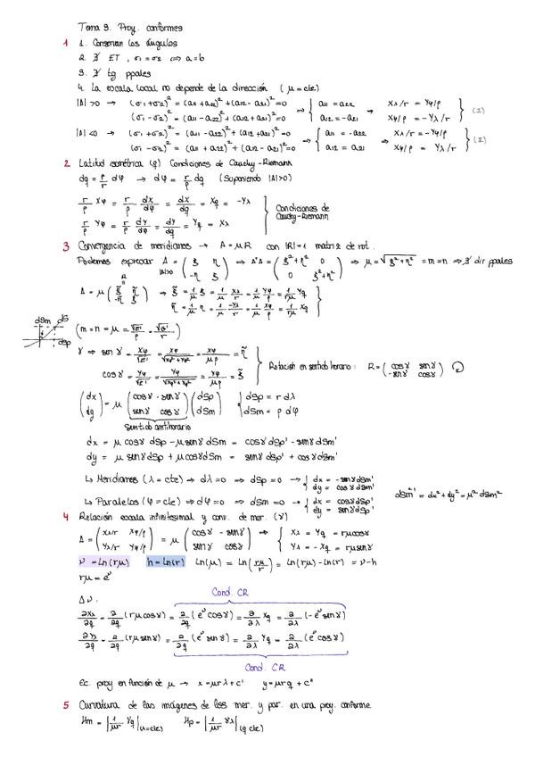
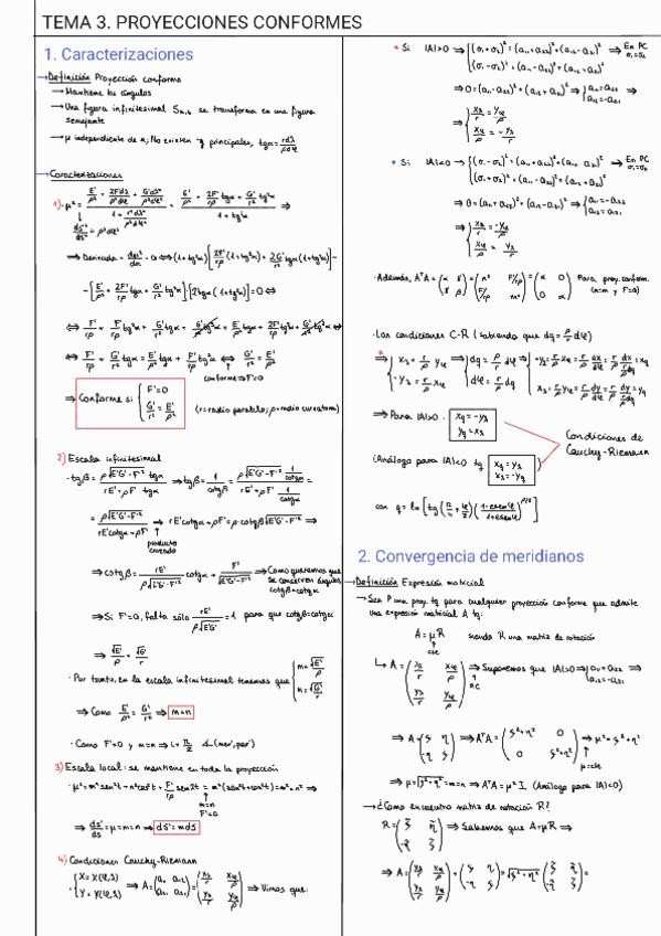
Tema-3-Proyecciones-conformes.pdf
Tema-1-Introduccion.pdf
Tema-2-Teoria-general-de-las-proyecciones-cartograficas.pdf

He publicado nuevos apuntes de 4º Cartografía y Geomática: Cartografia-T3-y-T4.pdf

2 páginas

Ejercicios resueltos en clase

6 páginas

Ejercicios resueltos en clase

9 páginas

Ejercicios resueltos en clase

6 páginas

He publicado nuevos apuntes de 4º Cartografía y Geomática: RESUMEN-CARTO-comprimido.pdf

23 páginas

He publicado nuevos apuntes de 4º Cartografía y Geomática: RESUMEN-TEMA-1-carto.pdf

2 páginas

Apuntes de clase

3 páginas

Apuntes de clase

14 páginas

Apuntes de clase

5 páginas

Apuntes de clase

17 páginas

apuntes

-

Apuntes Cartografía

He publicado nuevos apuntes de 4º Cartografía y Geomática: Apuntes Cartografía

Sistemas-de-informacion-geografica.doc
Coordenadas-UTM.doc
2016SeptiembreexamenCART.pdf
Tecnicas-de-observacion-remota.doc

He publicado nuevos practicas de 4º Cartografía y Geomática: practicas-CARTO.pdf

21 páginas

He publicado nuevos ejercicios de 4º Cartografía y Geomática: hojas-de-ejercicios-CARTO.pdf

23 páginas

He publicado nuevos apuntes de 4º Cartografía y Geomática: Teoria-CARTO.pdf

74 páginas

He publicado nuevos examenes de 4º Cartografía y Geomática: Examenes-CARTO.pdf

24 páginas

He publicado nuevos practicas de 4º Cartografía y Geomática: Practica-1-CART.pdf

4 páginas

He publicado nuevos practicas de 4º Cartografía y Geomática: Practica-2-CART.pdf

4 páginas

He publicado nuevos apuntes de 4º Cartografía y Geomática: Tema-1-CART.pdf

14 páginas

He publicado nuevos apuntes de 4º Cartografía y Geomática: Tema-2-CART.pdf

27 páginas

He publicado nuevos apuntes de 4º Cartografía y Geomática: Tema-3-CART.pdf

4 páginas

He publicado nuevos apuntes de 4º Cartografía y Geomática: Tema-4-CART.pdf

10 páginas

He publicado nuevos apuntes de 4º Cartografía y Geomática: Tema-5-CART.pdf

24 páginas
¡Estás al día!

¡Estás al día!

Has visto todos los archivos