chevron_left
chevron_right
Todo
Apuntes
Ejercicios
Exámenes
Prácticas
Trabajos
chevron_left
chevron_right

Resumen de los temas 2 hasta el 5 incluuido. Contiene todo para el primer parcial. Los apuntes estan en inglés.

20 páginas

apuntes

-

Teoría Materiales

Resumen de la teoría proveniente de diapositivas y apuntes de la asignatura

Tema-2-Estructura-de-materiales.pdf
Tema-3-imperfecciones-cristalinas.pdf
Tema-4-Propiedades-mecanicas-de-los-materiales.pdf
Tema-5-plasticidad-y-mecanismos-de-endurecimiento.pdf
Tema-7-Aleaciones-para-Ingenieria.pdf
Tema-8-Materiales-Polimericos.pdf

apuntes

-

Apuntes materiales

He publicado nuevos apuntes de 1º Ciencia de Materiales: Apuntes materiales

Formulario-materiales.pdf
T-1-materiales.pdf
T-2-materiales.pdf
T-3-materiales.pdf
T-4-materiales.pdf
T-5-materiales.pdf

ejercicios

-

Ejercicios Ciencia de Materiales

Todos los problemas resueltos de los temas de Ciencia de Materiales en inglés

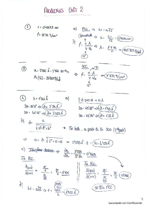
Activities-unit-2-Structure-of-materials.pdf
Activities-unit-3-Structural-defects.pdf
Activities-unit-4-Mechanical-properties.pdf
Activities-unit-5-Plastic-deformation-and-strengthening.pdf
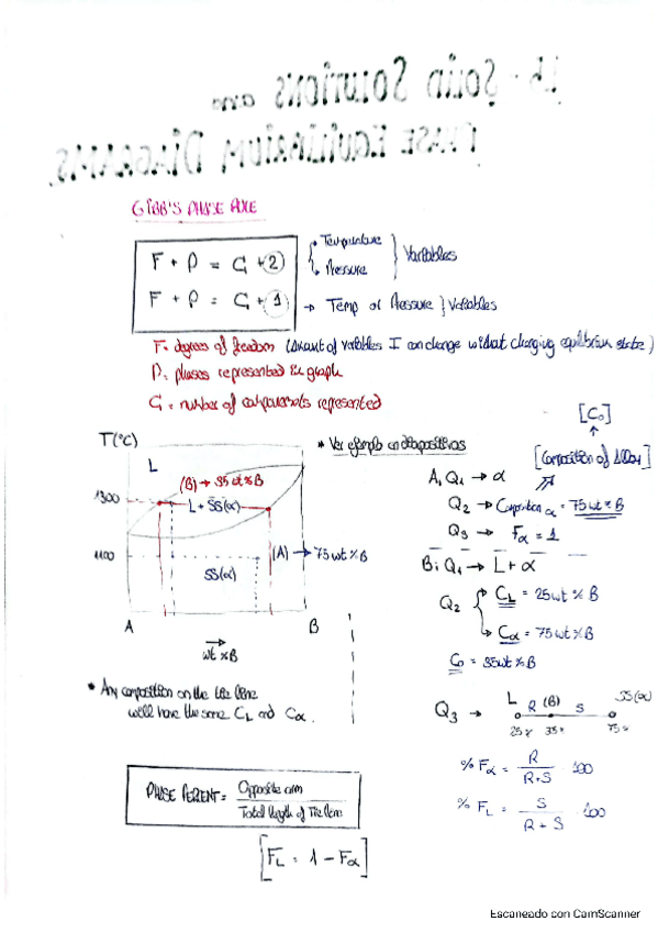
Activities-unit-6-Solid-solutions-and-phase-equilibrium-diagrams.pdf
Activities-unit-9-Composite-materials.pdf

apuntes

-

Apuntes Ciencia de Materiales

Apuntes de todos los temas de Ciencia de Materiales en inglés

Unit-1-Introduction.pdf
Unit-2-Structure-of-materials-part-I.pdf
Unit-2-Structure-of-materials-part-II.pdf
Unit-3-Structural-defects.pdf
Unit-4-Mechanical-properties.pdf
Unit-5-Plastic-deformation-and-strengthening.pdf

He publicado nuevos apuntes de 1º Ciencia de Materiales: Tema-6-Diagramas-de-Fase-Evolucion-de-la-Microestructura-de-Equilibrio.pdf

13 páginas

Apuntes primer examen c.mats, resumido, conciso - 1º Aerospace Engineering

5 páginas

He publicado nuevos apuntes de 1º Ciencia de Materiales: Lesson-4-Mechanical-Properties.pdf

7 páginas

He publicado nuevos apuntes de 1º Ciencia de Materiales: Resumen-Tema-5-Plasticidad-y-mecanismos-de-endurecimiento.pdf

4 páginas
Anónimo

@Anónimo

He publicado nuevos apuntes de 1º Ciencia de Materiales: Excel-Nota-Materiales.xlsx

excel

He publicado nuevos examenes de 1º Ciencia de Materiales: Examen-CM-Primer-Parcial.pdf

4 páginas

He publicado nuevos ejercicios de 1º Ciencia de Materiales: SOL-STRUCTURE-MATERIALS-PROBLEMS-MATER.pdf

7 páginas

He publicado nuevos ejercicios de 1º Ciencia de Materiales: SOL-CRYSTALLINE-DEFECTS-PROBLEMS-MATER.pdf

4 páginas
Anónimo

@Anónimo

apuntes

-

apuntes y ejercicios

He publicado nuevos apuntes de 1º Ciencia de Materiales: apuntes y ejercicios

1.-Introduccion-Materiales.pdf
2.-Estructura-De-Los-Materiales.pdf
3.-Imperfecciones-Cristalinas.pdf
4.-Propiedades-Mecanicas.pdf
5.-Plasticidad-Y-Endurecimiento.pdf
6.-Diagramas-Fase.pdf

He publicado nuevos apuntes de 1º Ciencia de Materiales: Temas-6-11-Ciencia-de-Materiales.pdf

9 páginas

He publicado nuevos apuntes de 1º Ciencia de Materiales: Resumen-TEMA-7.pdf

2 páginas
Anónimo

@Anónimo

He publicado nuevos apuntes de 1º Ciencia de Materiales: Tema-8.-Materiales-Polimericos.pdf

2 páginas

apuntes

-

5 - Plastic deformation - Resumen y ejercicios resueltos

He publicado nuevos apuntes de 1º Ciencia de Materiales: 5 - Plastic deformation - Resumen y ejercicios resueltos

5-Plastic-Deformation-PROBLEMS.pdf
5-Plastic-deformation-and-strengthening.pdf

apuntes

-

4 - Mechanical properties - Resumen y ejercicios resueltos

He publicado nuevos apuntes de 1º Ciencia de Materiales: 4 - Mechanical properties - Resumen y ejercicios resueltos

4-Mechanical-properties.pdf
4-Mechanical-properties-PROBLEMS.pdf

apuntes

-

3 - Crystalline Defects - Resumen y ejercicios resueltos

He publicado nuevos apuntes de 1º Ciencia de Materiales: 3 - Crystalline Defects - Resumen y ejercicios resueltos

03-Crystalline-defects-PROBLEMS.pdf
3-Crystalline-Defects.pdf

apuntes

-

2 - Sructure of Materials - Resumen y ejercicios resueltos

He publicado nuevos apuntes de 1º Ciencia de Materiales: 2 - Sructure of Materials - Resumen y ejercicios resueltos

2-Structure-of-Materials.pdf
2-Structure-of-Materials-PROBLEMS.pdf

apuntes

-

Materials Science: Step-by-Step Templates

He publicado nuevos apuntes de 1º Ciencia de Materiales: Materials Science: Step-by-Step Templates

Crystallographic-planes-Miller-Indices.pdf

He publicado nuevos ejercicios de 1º Ciencia de Materiales: EJERCICIO-2.4-RESUELTO.pdf

1 página

He publicado nuevos apuntes de 1º Ciencia de Materiales: T8-Materiales.pdf

3 páginas

He publicado nuevos apuntes de 1º Ciencia de Materiales: Problemas-T1-al-T5.pdf

11 páginas

He publicado nuevos apuntes de 1º Ciencia de Materiales: T3-Materiales.pdf

6 páginas

He publicado nuevos apuntes de 1º Ciencia de Materiales: T4-Materiales.pdf

9 páginas

He publicado nuevos apuntes de 1º Ciencia de Materiales: T1-2-Materiales.pdf

7 páginas

He publicado nuevos apuntes de 1º Ciencia de Materiales: T5-Materiales.pdf

6 páginas

He publicado nuevos apuntes de 1º Ciencia de Materiales: T7-Teoria--Problemas-Materiales.pdf

5 páginas

He publicado nuevos apuntes de 1º Ciencia de Materiales: T6-Teoria--Problemas-Materiales.pdf

6 páginas

He publicado nuevos apuntes de 1º Ciencia de Materiales: T9-Teoria--Problemas-Materiales.pdf

6 páginas

He publicado nuevos apuntes de 1º Ciencia de Materiales: T10-Materiales.pdf

2 páginas

He publicado nuevos examenes de 1º Ciencia de Materiales: TEST-MODELO-2o-PARCIAL.pdf

13 páginas

He publicado nuevos apuntes de 1º Ciencia de Materiales: Resumen-Completo-2Parcial-C.Materiales.pdf

6 páginas

He publicado nuevos apuntes de 1º Ciencia de Materiales: APUNTES-T9--EJERCICIOS.pdf

11 páginas

He publicado nuevos ejercicios de 1º Ciencia de Materiales: EJERCICIOS-ACERO-T5.pdf

8 páginas

He publicado nuevos apuntes de 1º Ciencia de Materiales: APUNTES-T6--PROBLEMAS.pdf

10 páginas

He publicado nuevos apuntes de 1º Ciencia de Materiales: APUNTES-T10--EJERCICIOS.pdf

5 páginas

He publicado nuevos apuntes de 1º Ciencia de Materiales: APUNTES-T7T8.pdf

8 páginas

Trabajo cuarta preguntas del minuto. Nota:10

15 páginas

apuntes

-

MATERIAL SCIENCE

He publicado nuevos apuntes de 1º Ciencia de Materiales: MATERIAL SCIENCE

FIBER-REINFORCEMENT-C.pdf
CORROSION.pdf

He publicado nuevos apuntes de 1º Ciencia de Materiales: temas-6-y-7-apuntes sin-teoria.pdf

3 páginas

apuntes

-

Apuntes Teoria T1-10

He publicado nuevos apuntes de 1º Ciencia de Materiales: Apuntes Teoria T1-10

TEMA-1Introduccion.pdf
TEMA-2Estructura-de-los-materiales.pdf
TEMA-3Imperfecciones-cristalinas-defectos.pdf
TEMA-4Diagramas-de-fase.pdf
TEMA-5Propiedades-mecanicas-de-los-materiales.pdf
TEMA-6Aleaciones.pdf

apuntes

-

Resúmenes por temas

Tema 6-10

RESUMEN-TEMA-6-MATERIALES.docx
RESUMEN-TEMA-10-MATERIALES.docx
RESUMEN-TEMA-9-MATERIALES.docx
RESUMEN-TEMA-7-MATERIALES.docx
medionresumen-tema-8-materiales.docx

He publicado nuevos apuntes de 1º Ciencia de Materiales: Formulario-Ciencia-de-los-materiales.pdf

4 páginas

apuntes

-

MATERIALES

He publicado nuevos apuntes de 1º Ciencia de Materiales: MATERIALES

TEMA-1.pdf
TEMA-2-2.pdf
TEMA-5.pdf
TEMA-3.pdf
TEMA-4.pdf
TEMA-6.pdf

trabajos

-

Cmaps

He publicado nuevos trabajos de 1º Ciencia de Materiales: Cmaps

Cmap-1-Materials-structure.pdf
Cmap-2-Mechanical-properties-of-materials.pdf
Cmap-3-Thermal-properties-of-materials.pdf
Cmap-4-Plasticity-and-plastic-deformation.pdf
Cmap-5-Phase-diagrams.pdf
Cmap-6-Aeronautical-alloys.pdf
Anónimo

@Anónimo

practicas

-

Ejercicios cuaderno prácticas

He publicado nuevos practicas de 1º Ciencia de Materiales: Ejercicios cuaderno prácticas

P1-Estructura-de-materiales-opcion-B.pdf
P1-Estructura-de-materiales-opcion-A.pdf
P2-Propiedades-mecanicas-de-materiales.pdf
P3-Endurecimiento-de-materiales.pdf
P4-Materiales-metalicos-opcion-A.pdf
P4-Materiales-metalicos-opcion-B.pdf
Anónimo

@Anónimo

He publicado nuevos apuntes de 1º Ciencia de Materiales: Resumen-HOME.pdf

2 páginas

trabajos

-

Tareas / Tasks

He publicado nuevos trabajos de 1º Ciencia de Materiales: Tareas / Tasks

Task-12-Corrosion.pdf
Task-3-Thermal-properties.pdf
Task-8-Steel-properties.pdf
Task-2.pdf

He publicado nuevos apuntes de 1º Ciencia de Materiales: APUNTES-Y-EJERCICIOS1o-GRADO-ING.pdf

56 páginas

trabajos

-

Assignments

Grupo ARA

Corrosion.pdf
Final project_Fuselage improvement.pdf
Assignment_1.pdf
MechanicalpropertiesAssignment.pdf

He publicado nuevos examenes de 1º Ciencia de Materiales: Problemas difusion.pdf

1 página

He publicado nuevos ejercicios de 1º Ciencia de Materiales: Problema resuelto - 2.4.pdf

1 página
¡Estás al día!

¡Estás al día!

Has visto todos los archivos