Ciencia e Ingeniería de los Materiales

chevron_left
chevron_right
Todo
Apuntes
Ejercicios
Exámenes
Prácticas
publication
Test
Trabajos
chevron_left
chevron_right

apuntes

-

Teoría

He publicado nuevos apuntes de 1º Ciencia e Ingeniería de los Materiales: Teoría

Anisotropia.png
Bainita.png
Bainita2.png
CineticaAvrami.png
ConcentracionTensiones.png
Crecimiento.png

apuntes

-

Todos mis apuntes de materiales

Estos apuntes ya los había subido, pero prefiero resubirlos en una carpeta para que se quede más organizado; he añadido un par de correcciones y mis apuntes de Diagrama de fases y TTT tomados de clase, no tienen la claridad y explicaciones de los otros pe

Introduccion.pdf
Estructuras-Cristalinas.pdf
Defectos.pdf
Difusion.pdf
Propiedades-Mecanicas.pdf
Supertema-Dislocaciones-Deformacion-plastica-Mecanismos-de-endurecimiento-Efectos-del-calor-despues-de-un-trabajo-en-frio.pdf

He publicado nuevos apuntes de 1º Ciencia e Ingeniería de los Materiales: MIS-APUNTES-DE-MATERIALES-2.pdf

55 páginas

He publicado nuevos ejercicios de 1º Ciencia e Ingeniería de los Materiales: PREGUNTAS-MATERIALES-GIEI.pdf

40 páginas

He publicado nuevos apuntes de 1º Ciencia e Ingeniería de los Materiales: Tema-7-Rotura.pdf

5 páginas

ejercicios

-

TEORIA

He publicado nuevos ejercicios de 1º Ciencia e Ingeniería de los Materiales: TEORIA

TEORIA-PREGUNTAS.docx

He publicado nuevos examenes de 1º Ciencia e Ingeniería de los Materiales: EXAMEN-MATERIALES-2024.pdf

3 páginas

EJERCICIOS EXAMEN DIAGRAMAS DE FASES

6 páginas

apuntes

-

APUNTES ASIGNATURA COMPLETA

He publicado nuevos apuntes de 1º Ciencia e Ingeniería de los Materiales: APUNTES ASIGNATURA COMPLETA

TEMA-8-DIFUSION-ATOMICA-EN-SOLIDOS.pdf
TEMA-7-PROCESADO-DE-MATERIALES.pdf
TEMA-10-TRANSFORMACIONES-DE-FASES-PARTE-2.pdf
TEMA-4-ESTRUCTURA-DE-LOS-SOLIDOS.pdf
TEMA-6-DEFORMACION-Y-ENDURECIMIENTO-PARTE-1.pdf
TEMA-11-ALEACIONES-METALICAS-PARTE-2.pdf

He publicado nuevos apuntes de 1º Ciencia e Ingeniería de los Materiales: TEORIA-CIM-COMPLETA.pdf

82 páginas

He publicado nuevos apuntes de 1º Ciencia e Ingeniería de los Materiales: Tema-6.pdf

8 páginas

practicas

-

MATERIALES PRÁCTICAS

He publicado nuevos practicas de 1º Ciencia e Ingeniería de los Materiales: MATERIALES PRÁCTICAS

BLOQUE-I-CORREGIDO-2.pdf
Copia-de-EXEL-2a-PRACTICA.xlsx
MATERIALES-II.pdf

He publicado nuevos apuntes de 1º Ciencia e Ingeniería de los Materiales: Tema-3-defectos-en-solidos.pdf

4 páginas

He publicado nuevos apuntes de 1º Ciencia e Ingeniería de los Materiales: Tema-5-propiedades-mecanicas.pdf

5 páginas

He publicado nuevos apuntes de 1º Ciencia e Ingeniería de los Materiales: Tema-4-difusion.pdf

3 páginas

He publicado nuevos apuntes de 1º Ciencia e Ingeniería de los Materiales: Tema-2-estructura-y-propiedades.pdf

4 páginas

apuntes

-

Preguntas teoría divididas por temas

He publicado nuevos apuntes de 1º Ciencia e Ingeniería de los Materiales: Preguntas teoría divididas por temas

Preguntas-T1-CIM.pdf
Preguntas-T2-CIM.pdf
Preguntas-T3-CIM.pdf
Preguntas-T4-CIM.pdf
Preguntas-T5-CIM.pdf
Preguntas-T6-CIM.pdf

apuntes

-

Cuestionarios y Examenes test

He publicado nuevos apuntes de 1º Ciencia e Ingeniería de los Materiales: Cuestionarios y Examenes test

Examen-de-materiales-ceramicos-22-23.pdf
Examen-De-Materiales-Ceramicos-23-24.pdf
Examen-de-materiales-compuestos-22-23.pdf
Examen-De-Materiales-Compuestos-23-24.pdf
Examen-de-polimeros-22-23.pdf
Examen-De-Polimeros-23-24.pdf

He publicado nuevos apuntes de 1º Ciencia e Ingeniería de los Materiales: BATERIA-DE-PREGUNTAS.pdf

13 páginas
Anónimo

@Anónimo

ejercicios

-

Todos los ejercicios

He publicado nuevos ejercicios de 1º Ciencia e Ingeniería de los Materiales: Todos los ejercicios

AD5PropiedMecanenunciados.pdf
AD6Endurecimientoenunciados.pdf
AD7-Fractura-enunciados.pdf
AD8-Diagrama-de-fases-enunciados.pdf
Problemas-diagramas-de-fases-y-transformaciones.pdf
PT2.-Estructura-Cristalina-2020.pdf
Anónimo

@Anónimo

He publicado nuevos examenes de 1º Ciencia e Ingeniería de los Materiales: IMG-20250111-WA0008.jpg

Imagen

He publicado nuevos apuntes de 1º Ciencia e Ingeniería de los Materiales: IMG-20250111-WA0009.jpg

Imagen

practicas

-

TODOS LOS INFORMES CIM

He publicado nuevos practicas de 1º Ciencia e Ingeniería de los Materiales: TODOS LOS INFORMES CIM

CIM-1.pdf
CIM-2.pdf
CIM-3.pdf

test

-

Examenes lecturas dirigidas CIM

He publicado nuevos test de 1º Ciencia e Ingeniería de los Materiales: Examenes lecturas dirigidas CIM

Examen-compuestos.pdf
Examen-polimeros.pdf

test

-

Todos los test CIM

He publicado nuevos test de 1º Ciencia e Ingeniería de los Materiales: Todos los test CIM

Test-CIM-Tema-8.pdf
Test-CIM-Tema-7-1.pdf
Test-CIM-Tema-7.pdf
Test-tema-5-1-Cim.pdf
Test-tema-5-Cim.pdf
Test-tema-4-1-Cim.pdf

He publicado nuevos apuntes de 1º Ciencia e Ingeniería de los Materiales: APUNTES-CIM-2024-Hasta-Rotura.pdf

76 páginas

Práctica nº1 de CIM para sacar sobresaliente fácil

9 páginas

Práctica nº3 para sacar sobresaliente fácil

5 páginas

practicas

-

Informes de prácticas

He publicado nuevos practicas de 1º Ciencia e Ingeniería de los Materiales: Informes de prácticas

Informe-bloque-1240926015329.pdf
Informe-bloque-2240926015338.pdf
Informe-bloque-3-240926015343.pdf

ejercicios

-

Ejercicios de todos los temas

He publicado nuevos ejercicios de 1º Ciencia e Ingeniería de los Materiales: Ejercicios de todos los temas

Ejercicios-tema-2240601175029.pdf
Ejercicios-tema-3240601231706.pdf
Ejercicios-tema-4240602202938.pdf
Ejercicios-tema-5240603182330.pdf
Ejercicios-tema-6240604211458.pdf
Ejercicios-tema-7240605200445.pdf

He publicado nuevos examenes de 1º Ciencia e Ingeniería de los Materiales: EXAMEN-CIM-SEPTIEMBRE-2024AA.pdf

8 páginas

He publicado nuevos apuntes de 1º Ciencia e Ingeniería de los Materiales: TODOS-LOS-SEMINARIOS-CIM.pdf

36 páginas

He publicado nuevos examenes de 1º Ciencia e Ingeniería de los Materiales: EJERCICIOS-EXAMEN-CIM.pdf

41 páginas

He publicado nuevos apuntes de 1º Ciencia e Ingeniería de los Materiales: Probelmas-8-Diagrama-de-fases.pdf

4 páginas

He publicado nuevos apuntes de 1º Ciencia e Ingeniería de los Materiales: Problemas-9-Transformacion-de-fases.pdf

1 página

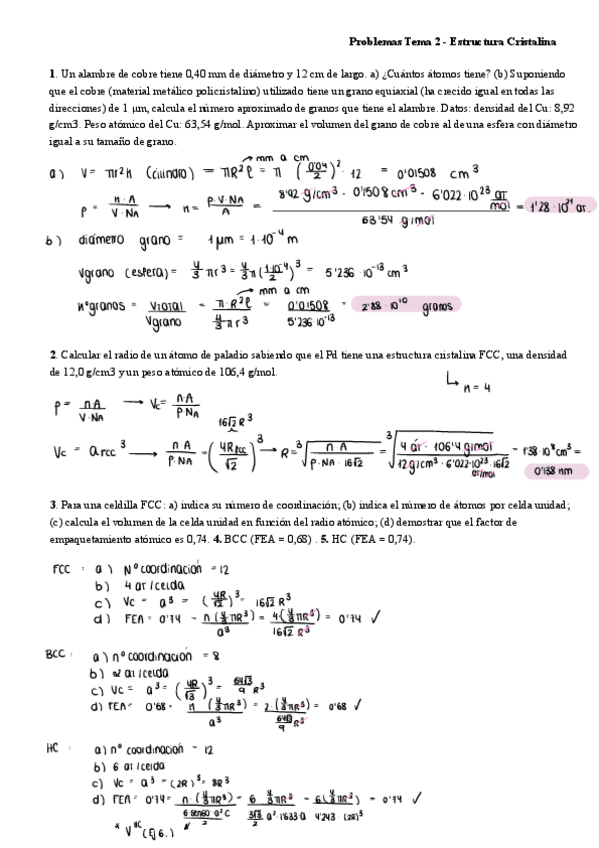
He publicado nuevos ejercicios de 1º Ciencia e Ingeniería de los Materiales: Problemas-2-estructura-cristalina.pdf

3 páginas

He publicado nuevos ejercicios de 1º Ciencia e Ingeniería de los Materiales: Problemas-4-difusion.pdf

4 páginas

He publicado nuevos ejercicios de 1º Ciencia e Ingeniería de los Materiales: Problemas-7-fractura.pdf

4 páginas

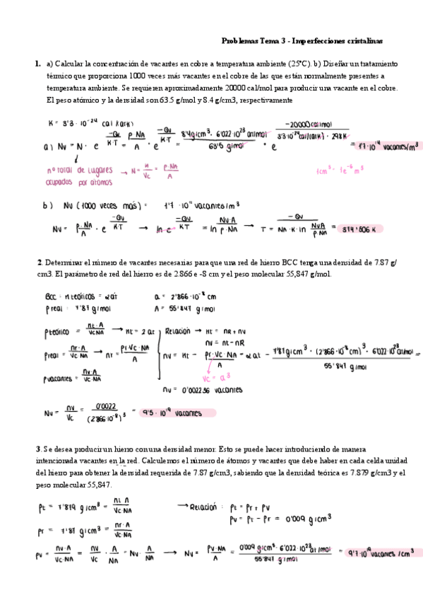
He publicado nuevos ejercicios de 1º Ciencia e Ingeniería de los Materiales: Problema-3-imperfecciones-cristalinas.pdf

2 páginas

He publicado nuevos ejercicios de 1º Ciencia e Ingeniería de los Materiales: Problemas-5-propiedades-mecanicas.pdf

5 páginas

He publicado nuevos ejercicios de 1º Ciencia e Ingeniería de los Materiales: Problemas-6-endurecimiento.pdf

3 páginas

test

-

Lectura Dirigida

He publicado nuevos test de 1º Ciencia e Ingeniería de los Materiales: Lectura Dirigida

Preguntas-Polimeros.pdf
Preguntas-Ceramica.pdf
Cuestionario-Materiales-Compuestos.pdf

Duda

Con los apuntes de pauin ingeniera. Se puede aprobar cim ??

test

-

Cuestionarios 2023

He publicado nuevos test de 1º Ciencia e Ingeniería de los Materiales: Cuestionarios 2023

Cuestionarios-Tema-4.pdf
Cuestionarios-Tema-6.pdf
Cuestionarios-Tema-7.pdf
cuestionarios-Tema-5.pdf
Cuestionario-tema-1.pdf
Cuestionario-tema-2.pdf

He publicado nuevos apuntes de 1º Ciencia e Ingeniería de los Materiales: Sistemas-isomorficos-binarios.docx

word