Ciencia e Ingeniería de Materiales

Todo
Apuntes
Ejercicios
Exámenes
Otros
PEC
Prácticas
publication
Test
Trabajos
chevron_left
chevron_right

He publicado nuevos apuntes de 2º Ciencia e Ingeniería de Materiales: Apuntes-completos.pdf

13 páginas
Anónimo

@Anónimo

He publicado nuevos ejercicios de 2º Ciencia e Ingeniería de Materiales: TODOS-LOS-EJERCICIOS.pdf

147 páginas
Anónimo

@Anónimo

He publicado nuevos apuntes de 2º Ciencia e Ingeniería de Materiales: TODA-LA-TEORIA.pdf

61 páginas

Hoja de "Ejercicios propuestos 3". Son ejercicios de diagramas de equilibrio resueltos.

14 páginas

These are the complete notes of materials science and engineering, hope everything is clear :))

25 páginas

Todas las reacciones invariantes con un diagrama de ejemplo

Imagen

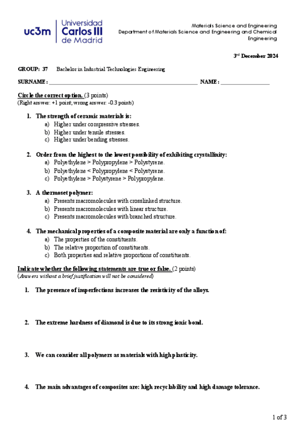
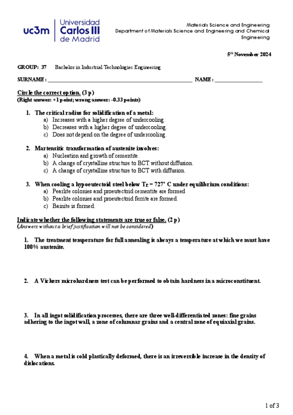
Examen primera ordinaria Enero de 2026 corregido y resuelto paso por paso con explicaciones prácticas y teóricas.

13 páginas

Todos los problemas resueltos por temas

20 páginas

He publicado nuevos apuntes de 2º Ciencia e Ingeniería de Materiales: TEMA-6-problemas.pdf

3 páginas

Podreis encontrar todo lo necesario para llevar a cabo la asignatura. Todos los ejercicios resueltos y explicados, seminarios, examenes de otros años e informacion adicional de teoria.

42 páginas

He publicado nuevos apuntes de 2º Ciencia e Ingeniería de Materiales: Examen-enero-2026.pdf

6 páginas

He publicado nuevos examenes de 2º Ciencia e Ingeniería de Materiales: examen-enero-2026-materiales.pdf.pdf

2 páginas

Formulario Ejercicios de prácticas

2 páginas

He publicado nuevos apuntes de 3º Ciencia e Ingeniería de Materiales: Solucion-Examen-Variante-Practica.pdf

5 páginas
Anónimo

@Anónimo

practicas

-

Prácticas Materiales

He publicado nuevos practicas de 2º Ciencia e Ingeniería de Materiales: Prácticas Materiales

Deformacionenfrio.pdf
EnsayoTraccion.pdf
Identificacionpolimeros.pdf
Tratamientostermicos.pdf

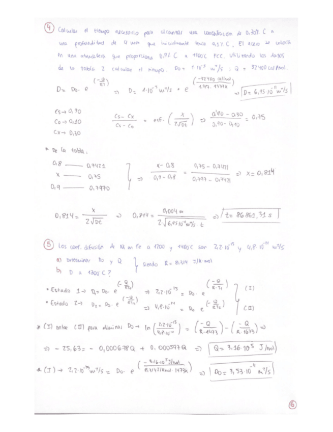
He publicado nuevos ejercicios de 2º Ciencia e Ingeniería de Materiales: EXERCISES-DIFFUSION.pdf

4 páginas

He publicado nuevos ejercicios de 2º Ciencia e Ingeniería de Materiales: HARDNESS-EXERCISES.jpg

Imagen

He publicado nuevos ejercicios de 2º Ciencia e Ingeniería de Materiales: EXERCISES-POLYMERS.pdf

3 páginas

He publicado nuevos ejercicios de 2º Ciencia e Ingeniería de Materiales: DEFECTS-AND-CRYSTALLINE-STRUCTURES.pdf

9 páginas

test

-

Test y exámenes polímeros compuestos y cerámicos

He publicado nuevos test de 1º Ciencia e Ingeniería de Materiales: Test y exámenes polímeros compuestos y cerámicos

Examen-polimeros-260122181409.pdf
Test-compuestos-260122182143.pdf
Test-ceramicos-260122181625.pdf
Test-polimeros-260122181108.pdf
Examen-compuestos-260122182418.pdf
Examen-ceramicos-260122181925.pdf

test

-

Test Temas de CIM

He publicado nuevos test de 1º Ciencia e Ingeniería de Materiales: Test Temas de CIM

Tema-7260122180638.pdf
Tema-3260122172852.pdf
Tema-4260122173237.pdf
Tema-1260122172223.pdf
Tema-9260122180847.pdf
Tema-2260122172601.pdf

examenes

-

EXÁMENES RESUELTOS

He publicado nuevos examenes de 2º Ciencia e Ingeniería de Materiales: EXÁMENES RESUELTOS

Febrero-2018.pdf
Febrero-2019.pdf
Extraordinaria-2020.pdf
Enero-2023.pdf
Febrero-2023.pdf

apuntes

-

Materiales tema 1

He publicado nuevos apuntes de 2º Ciencia e Ingeniería de Materiales: Materiales tema 1

Materiales-tema-1.pdf
Materiales-tema-2.pdf
Materiales-tema-3.pdf
Materiales-tema-4.pdf
Materiales-tema-5.pdf
Materiales-tema-6.pdf
Anónimo

@Anónimo

He publicado nuevos examenes de 2º Ciencia e Ingeniería de Materiales: Examen-ordinaria-2026-Ciencia-e-Ingenieria-de-Materiales.pdf

2 páginas

He publicado nuevos apuntes de 2º Ciencia e Ingeniería de Materiales: ESTRUCTURA-CRISTALINA.pdf

9 páginas

Resumenes de metales, cerámicos, polímeros.

4 páginas

Examen de enero de 2026

2 páginas

examenes

-

Examenes Enero 2025 Resueltos

He publicado nuevos examenes de 2º Ciencia e Ingeniería de Materiales: Examenes Enero 2025 Resueltos

Examen-Enero-2025-Resuelto-Menos-ejercicio-5.pdf

apuntes

-

Resúmenes bloque I

Temas bloque II, esta es la versión un poco mas extendida de los resúmenes que tenéis en mi perfil.

TEMA-2.pdf
TEMA-3.pdf
TEMA-4.pdf

Todo el bloque II resumido, con esto es aprobado garantizado.

5 páginas

Último empujón para el examen. He resumido toda la teoría del Bloque IV en esquemas rápidos para repasarlo en 30 minutos.Contenido Directo al Examen:? Cerámicos: Estructura, porosidad y por qué rompen así (Frágiles).? Polímeros (La Clave): Diferencia defi

7 páginas

Resumen técnico del Bloque III (Aceros y Tratamientos) enfocado al Examen Final. Olvídate de leerte el tocho entero sobre aleaciones. Aquí tienes lo esencial: ✅ Tratamientos Térmicos: Diferencias claras entre Temple, Revenido, Recocido y Normalizado. ✅

8 páginas

Resumen directo al grano para el Examen Final . Incluye definiciones clave, fórmulas de defectos y comparativas que siempre caen. Formato limpio tipo 'Cheat Sheet'. Nota: Combínalo con el Bloque II que también está en mi perfil.

5 páginas

He publicado nuevos apuntes de 2º Ciencia e Ingeniería de Materiales: Formulario-Bloque-2-Difusion-y-Comportamiento-Mecanico.pdf

3 páginas

He publicado nuevos apuntes de 2º Ciencia e Ingeniería de Materiales: Formulario-Bloque-1-Redes-Cristalinas.pdf

2 páginas

Teoría importante explicada del tema 8

5 páginas

Teoría importante resumida del tema 7

5 páginas

examenes

-

Examenes solucionados CEMM Q1 2025/2026

He publicado nuevos examenes de 3º Ciencia e Ingeniería de Materiales: Examenes solucionados CEMM Q1 2025/2026

Parcial-1-Problema-1.pdf
Parcial-1-Problema-2-recuperacion-del-parcial-1.pdf
Parcial-2-Problema-1.pdf
Parcial-2-Problema-2.pdf
Parcial-2-Problema-3.pdf

Teoría importante explicada del tema 6

2 páginas

Teoría importante explicada del tema 5

6 páginas

He publicado nuevos apuntes de 2º Ciencia e Ingeniería de Materiales: Diagrama-Hierro-Carbono-Enfriamiento-Lento.pdf

5 páginas

examenes

-

EXAMENES 2024-2025 Con Solución

He publicado nuevos examenes de 2º Ciencia e Ingeniería de Materiales: EXAMENES 2024-2025 Con Solución

Control-3-25.pdf
Control-2-25.pdf
UC3MEXAMS.pdf

examenes

-

Exámenes 2023-2024 Con Solución

He publicado nuevos examenes de 2º Ciencia e Ingeniería de Materiales: Exámenes 2023-2024 Con Solución

Extraordinario-2024.pdf
Ordinario-2024.pdf
UC3MEXAMS.pdf

examenes

-

Recopilación de Examenes Con Solución

He publicado nuevos examenes de 2º Ciencia e Ingeniería de Materiales: Recopilación de Examenes Con Solución

Topic-4-Test-Solutions.pdf
Topic-5-Test-Solutions.pdf
Topic-6-Test-Solutions.pdf
Topic-1-Test-Solutions.pdf
Topic-2-Test-Solutions.pdf
Topic-3-Test-Solutions.pdf

apuntes

-

Libreta CM

Libreta completa de ciencia e ingeniería de manteriales

CM-1.pdf
CM-2.pdf
CM-3.pdf

Archivo con todas las preguntas de los exámenes desde 2021 hasta ahora. De 10 exámenes distintos.

16 páginas

He publicado nuevos practicas de 2º Ciencia e Ingeniería de Materiales: Practica-1-Ensayo-Traccion.pdf

2 páginas

He publicado nuevos practicas de 2º Ciencia e Ingeniería de Materiales: Practica-4-Ensayo-Metalografia.pdf

2 páginas

He publicado nuevos practicas de 2º Ciencia e Ingeniería de Materiales: Practica-2-Ensayo-Charpy.pdf

1 página

He publicado nuevos practicas de 2º Ciencia e Ingeniería de Materiales: Practica-3-Ensayo-Dureza.pdf

3 páginas

apuntes

-

APUNTES RESUMIDOS MATERIALES PARTE 1

He publicado nuevos apuntes de 2º Ciencia e Ingeniería de Materiales: APUNTES RESUMIDOS MATERIALES PARTE 1

Tema-2.-Estructura-cristalina-y-amorfa.-Materiales-GITI-Maria-Clara-Mayorga-Fuentes.pdf
Tema-3.-Imperfecciones-Cristalinas.-Materiales-GITI-Maria-Clara-Mayorga-Fuentes.pdf
Tema-4.-Difusion.-Materiales-GITI-Maria-Clara-Mayorga-Fuentes-1.pdf
Tema-5.-Cinetica-del-cambio-de-fase.-Clara-Mayorga-Fuentes-1.pdf
Tema-6.-Solidificacion.-Clara-Mayorga-Fuentes.pdf
Tema-7.-Soluciones-solidas-y-fases-intermedias.-Clara-Mayorga-Fuentes.pdf

Teoría importante explicada del tema 4

3 páginas

Teoría importante explicada del tema 3

6 páginas

Teoría importante explicada del tema 2

5 páginas

resumen bien explicado T11 ICIM

4 páginas

He publicado nuevos apuntes de 2º Ciencia e Ingeniería de Materiales: Formulario-propiedades-mecanicas.pdf

1 página

He publicado nuevos apuntes de 2º Ciencia e Ingeniería de Materiales: teoria-parcial-2.pdf

7 páginas

practicas

-

Practicas Ciencia e Ingenieria de Materiales

He publicado nuevos practicas de 2º Ciencia e Ingeniería de Materiales: Practicas Ciencia e Ingenieria de Materiales

Practica-1-Ensayo-de-Traccion.pdf
Practica-2-Ensayo-de-Dureza.pdf
Practica-3-Ensayo-de-choque.pdf
Practica-4-Metalografia.pdf

He publicado nuevos apuntes de 2º Ciencia e Ingeniería de Materiales: Relacion-9-parte-2.pdf

6 páginas

He publicado nuevos apuntes de 2º Ciencia e Ingeniería de Materiales: Relacion-9-parte-3.pdf

7 páginas