chevron_left
chevron_right
Todo
Apuntes
Ejercicios
Exámenes
Prácticas
chevron_left
chevron_right

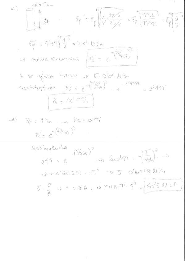
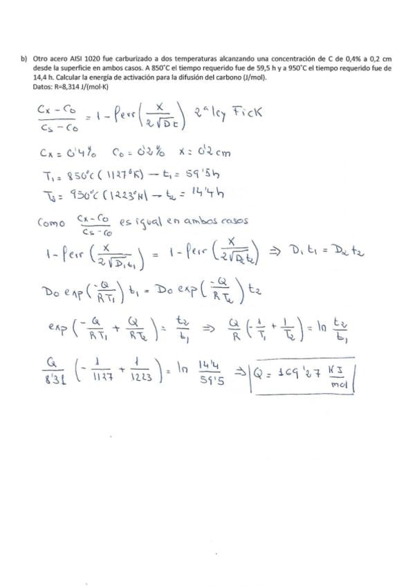
Problema tema 4 ( materiales cerámicos)

2 páginas

Problema tema 4 ( materiales cerámicos)

6 páginas

Problema tema 4 ( materiales cerámicos)

1 página

Problemas tema 2 ( metalls férrics)

8 páginas

Problemas tema 1 ( comportamient en servei)

8 páginas

ejercicios tema 2 ;Metalls fèrrics

11 páginas

test parcial

3 páginas

test parcial

5 páginas

Teoría CEMM Parcial 1

3 páginas

selección de materiales _CEMM

1 página

examenes

-

Examenes solucionados CEMM Q1 2025/2026

He publicado nuevos examenes de 3º Ciencia e Ingeniería de Materiales: Examenes solucionados CEMM Q1 2025/2026

Parcial-1-Problema-1.pdf
Parcial-1-Problema-2-recuperacion-del-parcial-1.pdf
Parcial-2-Problema-1.pdf
Parcial-2-Problema-2.pdf
Parcial-2-Problema-3.pdf

Ejercicios CEMM selección de materiales

2 páginas

Ejercicios CEMM selección de materiales

2 páginas

Ejercicios CEMM selección de materiales

1 página

Ejercicios CEMM selección de materiales

Miniatura no disponible
1 página

Ejercicios CEEM selección de materiales

3 páginas

Ejercicios CEEM selección de materiales

8 páginas

Ejercicios CEEM selección de materiales

2 páginas

Ejercicios CEEM selección de materiales

12 páginas

He publicado nuevos apuntes de 3º Ciencia e Ingeniería de Materiales: Formulario-P1-para-estudiar.pdf

6 páginas

Ejercicios materiales compuestos CEMM

1 página

Ejercicios materiales compuestos CEMM

1 página

Ejercicios materiales compuestos CEMM

7 páginas

Ejercicios materiales compuestos CEMM

2 páginas

Ejercicios materiales compuestos CEMM

7 páginas

Tema materiales compuestos CEMM

Miniatura no disponible
10 páginas

Ejercicio Tamar cerámicos resuelto CEMM

3 páginas

Ejercicio Tamar cerámicos resuelto CEMM

Miniatura no disponible
3 páginas

Ejercicio solucionado tema polímeros CEMM

9 páginas

Ejercicio solucionado tema polímeros CEMM

10 páginas

Ejercicio solucionado tema polímeros CEMM

3 páginas

Ejercicio solucionado tema cerámicos CEMM

2 páginas

Ejercicio solucionado tema cerámicos CEMM

2 páginas

Ejercicio solucionado tema cerámicos CEMM

2 páginas

He publicado nuevos examenes de 3º Ciencia e Ingeniería de Materiales: recopilacion-test-P1-CEMM.pdf

17 páginas

He publicado nuevos apuntes de 3º Ciencia e Ingeniería de Materiales: formulario-parcial-y-final-tuneado-CEMM.pdf

3 páginas

apuntes

-

Apuntes

He publicado nuevos apuntes de 3º Ciencia e Ingeniería de Materiales: Apuntes

Tratamientos-termicos.pdf
Termofluencia.pdf
Mecanica-de-la-fractura.pdf
Fatiga-de-materiales.pdf
Diagrama-Fe-C-y-microestructuras.pdf
Aceros-y-fundiciones.pdf

Problemas con solución

10 páginas

Ejercicios tratamientos térmicos con solución paso a paso

17 páginas

Ejercicios tratamientos térmicos con solución paso a paso

21 páginas

Ejercicios con solución paso a paso tema 1

22 páginas

Formulario examen CEMM

3 páginas

Ejercicios mapas de deformación con solución paso a paso

2 páginas

apuntes

-

apuntes y ejercicios top

He publicado nuevos apuntes de 3º Ciencia e Ingeniería de Materiales: apuntes y ejercicios top

T1-Comportamiento-en-servicio-APUNTES-Y-EJERCICIOS.pdf

He publicado nuevos apuntes de 3º Ciencia e Ingeniería de Materiales: Difusion.pdf

15 páginas

He publicado nuevos apuntes de 3º Ciencia e Ingeniería de Materiales: Polimeros.pdf

16 páginas

He publicado nuevos apuntes de 3º Ciencia e Ingeniería de Materiales: Seleccion-de-Materiales.pdf

9 páginas

He publicado nuevos apuntes de 3º Ciencia e Ingeniería de Materiales: Ceramicos.pdf

15 páginas

He publicado nuevos apuntes de 3º Ciencia e Ingeniería de Materiales: Apuntes-y-examenes-Compuestos.pdf

10 páginas

apuntes

-

Apuntes Parcial y Final

He publicado nuevos apuntes de 3º Ciencia e Ingeniería de Materiales: Apuntes Parcial y Final

Teoria-final-CEMM.pdf
Teoria-1r-Parcial.pdf

He publicado nuevos examenes de 3º Ciencia e Ingeniería de Materiales: CEMM-24-25-Q2-P2-resolt.pdf

4 páginas

apuntes

-

ZIP -CEMM TODO LO QUE TENGO

He publicado nuevos apuntes de 3º Ciencia e Ingeniería de Materiales: ZIP -CEMM TODO LO QUE TENGO

Miniatura no disponible
CEMM.z01
Miniatura no disponible
CEMM.z02
Miniatura no disponible
CEMM.z03
Miniatura no disponible
CEMM.z04
Miniatura no disponible
CEMM.z05
Miniatura no disponible
CEMM.z06

Resum dels power points a atenea

6 páginas

Resum dels power points a atenea

6 páginas

apuntes

-

ESTUDI P2 PRIMAVERA 2025

He publicado nuevos apuntes de 3º Ciencia e Ingeniería de Materiales: ESTUDI P2 PRIMAVERA 2025

ESTUDI-P2250522142905-piginas-1.pdf
ESTUDI-P2250522142905-Piginas-2.pdf
ESTUDI-P2250522142905-piginas-3.pdf
ESTUDI-P2250525010936-paginas-4.pdf

apuntes

-

PARCIAL 1 PRIMAVERA 2025

He publicado nuevos apuntes de 3º Ciencia e Ingeniería de Materiales: PARCIAL 1 PRIMAVERA 2025

PROBLEMA-1-1.pdf
PROBLEMA-2-1.pdf
NOTAS.pdf

apuntes

-

cemm:// apuntes y ejercicios

He publicado nuevos apuntes de 3º Ciencia e Ingeniería de Materiales: CEMM: apuntes y ejercicios

Apuntes-T0-CEMM-introduccion-a-la-asignatura.pdf
Apuntes-y-ejercicios-T4-CEMM-polimeros.pdf
Apuntes-y-problemas-T1-CEMM-comportamiento-en-servicio.pdf
Apuntes-y-problemas-T2-CEMM-diagramas-FeC-TTE-y-TTT.pdf
Formulario-1r-parcial-CEMM.pdf
Formulario-2o-parcialfinal-CEMM.pdf

He publicado nuevos ejercicios de 3º Ciencia e Ingeniería de Materiales: ESTUDI-P1-EXERCICIS-PRIMAVERA-2025.pdf

30 páginas

examenes

-

EXAMENES RESUELTOS 5

He publicado nuevos examenes de 3º Ciencia e Ingeniería de Materiales: EXAMENES RESUELTOS 5

Miniatura no disponible
CEMM2010-2011Q1M1P2Resolt.pdf
Miniatura no disponible
CEMM2010-2011Q1P2M1.pdf
Miniatura no disponible
CEMM2010-2011Q1P2M1Resolt.pdf
CEMM2011-2012Q1AA.pdf
CEMM2011-2012Q1AAResolt.pdf
CEMM2012-2013Q2Final.pdf

apuntes

-

EXAMENES RESUELTOS 4

He publicado nuevos apuntes de 3º Ciencia e Ingeniería de Materiales: EXAMENES RESUELTOS 4

CEMM2012-2013Q2AAM1.pdf
CEMM2014-2015Q1Final.pdf
CEMM2012-2013Q2M1AA.pdf
CEMM2012-2013Q2M1AAResolt.pdf
Miniatura no disponible
CEMM2012-2013Q2P1M1.pdf
Miniatura no disponible
CEMM2012-2013Q2P1M1Resolt.pdf