Ciència i Tecnologia dels Materials

chevron_left
chevron_right
Todo
Apuntes
Ejercicios
Exámenes
Prácticas
Test
Trabajos
chevron_left
chevron_right

apuntes

-

Apuntes Premium - Ciencia de Materiales Tema 1.

He publicado nuevos apuntes de 1º Ciència i Tecnologia dels Materials: Apuntes Premium - Ciencia de Materiales Tema 1.

Apuntes-Premium-Ciencia-de-Materiales-1.2.pdf
Apuntes-Premium-Ciencia-de-Materiales-1.5.pdf
Manual-Premium-Nivel-23-Ciencia-de-Materiales-1.6.pdf

apuntes

-

Diagrama de Fases

He publicado nuevos apuntes de 1º Ciència i Tecnologia dels Materials: Diagrama de Fases

Simulacro-Examen-Magnesio-y-Plomo.pdf
Simulacro-Examen-Magnesio-y-Plomo.pdf
Simulacro-Examen-Aluminio-y-Neodimio-Al-Nd.pdf
Simulacro-Examen-Aluminio-y-Neodimio-Al-Nd.pdf
Simulacro-Examen-Hierro-y-Carbono-Fe-C.pdf
Simulacro-Examen-Hierro-y-Carbono-Fe-C.pdf

He publicado nuevos apuntes de 1º Ciència i Tecnologia dels Materials: IMG5420.jpeg

Imagen

He publicado nuevos apuntes de 1º Ciència i Tecnologia dels Materials: IMG5420.jpeg

Imagen

apuntes

-

TEMA 1 - Materiales

APUNTES PARA EL 10 FACIL

TEMA-1.1-Escala-atomica-de-los-materiales.pdf
TEMA-1.1-Escala-atomica-de-los-materiales.pdf
TEMA-1.2-Escala-atomica-de-los-materiales.pdf
TEMA-1.2-Escala-atomica-de-los-materiales.pdf
TEMA-1.3-Escala-AtomicaCeramica.pdf
TEMA-1.3-Escala-AtomicaCeramica.pdf

Practica de ejercicios y examenes para el examen final

35 páginas

apuntes

-

Laboratorio - 10 de nota

??????

Apuntes-Pro-Lab-Metalografia-Wuolah-Master-1.pdf
Apuntes-Pro-Lab-Metalografia-Wuolah-Master-1.pdf
Wuolah-Master-Informe-Identificacion-Plasticos-UPC-1.pdf
Wuolah-Master-Informe-Identificacion-Plasticos-UPC-1.pdf
Apuntes-Pro-Laminado-de-Material-Compuesto-Lab-45-1.pdf
Apuntes-Pro-Laminado-de-Material-Compuesto-Lab-45-1.pdf

practicas

-

Practicas - 10 de nota

He publicado nuevos practicas de 1º Ciència i Tecnologia dels Materials: Practicas - 10 de nota

Apuntes-Pro-Informe-1-Materiales-UPC.pdf
Apuntes-Pro-LEN-2-Impacto-y-Dureza-Materiales-UPC.pdf
Apuntes-Pro-Lab-Choque-Termico-UPC.pdf
Apuntes-Pro-Laminado-de-Material-Compuesto-Lab-45.pdf
Apuntes-Pro-Lab-Metalografia-Wuolah-Master.pdf
Wuolah-Master-Informe-Identificacion-Plasticos-UPC.pdf

He publicado nuevos apuntes de 3º Ciència i Tecnologia dels Materials: RESUMEN-FINAL-MATERIALES.pdf

52 páginas

He publicado nuevos apuntes de 3º Ciència i Tecnologia dels Materials: Formulas-materiales.pdf

3 páginas

Apuntes y resumen de 2 paginas sobre los contenidos del primer bimestre de ciencia y tecnologia de los materiales

2 páginas
Anónimo

@Anónimo

Apunts examen final + simulació preguntes teòriques tipo test

157 páginas

practicas

-

LEN

Len-1 y Len-2

LEN-1.pdf
LEN-2.pdf
Anónimo

@Anónimo

Resumit tot el bloc de cristalografia en menys de 3 fulls.

6 páginas

Formulari FQ CTM

2 páginas

Apunts T6

14 páginas

Apunts T5

8 páginas

Apunts T4

4 páginas

Apunts T1

3 páginas

Totes les ADs amb passos

15 páginas

MQs amb passos

43 páginas

Resum per C2 i FQ

3 páginas

Molts FQs CTM amb passos

27 páginas

apuntes

-

Laboratorio

He publicado nuevos apuntes de 1º Ciència i Tecnologia dels Materials: Laboratorio

PRACTICA-LEN-1-CTM.pdf
PRACTICA-LEN-1-CTM.pdf

apuntes

-

RESUMEN TEMA 1 MATERIALES

He publicado nuevos apuntes de 1º Ciència i Tecnologia dels Materials: RESUMEN TEMA 1 MATERIALES

Resumen-1.1.pdf
Resumen-1.1.pdf
Resumen-1.2.pdf
Resumen-1.2.pdf
Resumen-1.3.pdf
Resumen-1.3.pdf

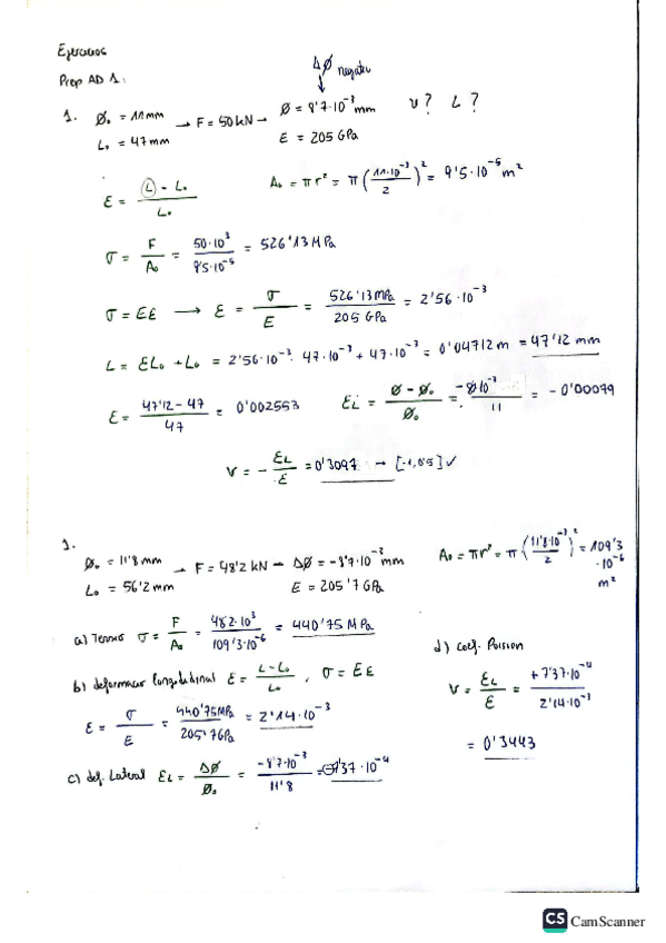
He publicado nuevos test de 2º Ciència i Tecnologia dels Materials: AD5-CTM.pdf

3 páginas

ejercicios

-

examenes y ads CTM resueltas con pasos

He publicado nuevos ejercicios de 2º Ciència i Tecnologia dels Materials: examenes y ads CTM resueltas con pasos

MQs-CTM-resueltos-con-pasos.pdf

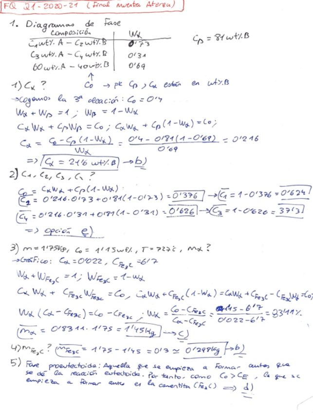
He publicado nuevos apuntes de 2º Ciència i Tecnologia dels Materials: FQ-CTM-resuelto-con-pasos-muestra-atenea.pdf

3 páginas
Anónimo

@Anónimo

He publicado nuevos examenes de 2º Ciència i Tecnologia dels Materials: FQ-22-23-QT.pdf

7 páginas
Anónimo

@Anónimo

He publicado nuevos examenes de 2º Ciència i Tecnologia dels Materials: FQ-2013.pdf

1 página
Anónimo

@Anónimo

He publicado nuevos examenes de 2º Ciència i Tecnologia dels Materials: FQ-21-22-QT.pdf

6 páginas
Anónimo

@Anónimo

He publicado nuevos examenes de 2º Ciència i Tecnologia dels Materials: FQ-20-21-QT.pdf

8 páginas
Anónimo

@Anónimo

He publicado nuevos examenes de 2º Ciència i Tecnologia dels Materials: FQ-20-21-QP.pdf

8 páginas

He publicado nuevos apuntes de 1º Ciència i Tecnologia dels Materials: Tema4.2-fluenciafatigafractura.pdf

5 páginas

He publicado nuevos apuntes de 1º Ciència i Tecnologia dels Materials: Tema4.1-propiedadesmecanicas.pdf

7 páginas

He publicado nuevos apuntes de 1º Ciència i Tecnologia dels Materials: Tema3.5-conformadocompuestos.pdf

4 páginas

Nota: 9.6

8 páginas

NOTA 9.2

13 páginas

He publicado nuevos apuntes de 1º Ciència i Tecnologia dels Materials: BLOQUE 2 CTM.pdf

19 páginas

He publicado nuevos apuntes de 1º Ciència i Tecnologia dels Materials: BLOQUE 1 CTM.pdf

22 páginas

He publicado nuevos practicas de 1º Ciència i Tecnologia dels Materials: Pràctiques.pdf

12 páginas

He publicado nuevos ejercicios de 1º Ciència i Tecnologia dels Materials: Bloque-2-Exercicis.pdf

55 páginas

He publicado nuevos apuntes de 1º Ciència i Tecnologia dels Materials: Bloque-2-La-estructura-microscopica-de-los-materiales.pdf

35 páginas

He publicado nuevos apuntes de 1º Ciència i Tecnologia dels Materials: Tema-1-Cristalografia.pdf

14 páginas

He publicado nuevos apuntes de 2º Ciència i Tecnologia dels Materials: ADs-1-5-CTM.pdf

9 páginas

He publicado nuevos apuntes de 2º Ciència i Tecnologia dels Materials: Temas-4-y-5-diagramas-y-transformaciones-de-fase-CTM.pdf

17 páginas

He publicado nuevos apuntes de 2º Ciència i Tecnologia dels Materials: Tema2-CTM-dislocaciones-y-mec-de-endurecimiento.pdf

7 páginas

He publicado nuevos apuntes de 2º Ciència i Tecnologia dels Materials: Tema-3-Failure-CTM.pdf

6 páginas

He publicado nuevos apuntes de 2º Ciència i Tecnologia dels Materials: Tema1-CTM-propiedades-mecanicas.pdf

5 páginas

ejercicios

-

Ejercicios Bloque 4 - Propiedades de los materiales

He publicado nuevos ejercicios de 1º Ciència i Tecnologia dels Materials: Ejercicios Bloque 4 - Propiedades de los materiales

Ejercicios-resueltos-tema-4.1.pdf
Problemas-bloque-4.pdf
Soluciones-ejercicios-bloque-4.pdf
Tema-4.1-Ejercicios-resueltos-materiales-compuestos.pdf

apuntes

-

Teoría Bloque 4 - Propiedades de los materiales

He publicado nuevos apuntes de 1º Ciència i Tecnologia dels Materials: Teoría Bloque 4 - Propiedades de los materiales

Resumen-Temas-4.1-y-4.2.pdf
Tema-4.1-Propiedades-mecanicas-de-los-materiales.pdf
Tema-4.2-Fluencia-fatiga-fractura-actualizado-270522.pdf

apuntes

-

Teoría Bloque 3 - Tecnología de los materiales

He publicado nuevos apuntes de 1º Ciència i Tecnologia dels Materials: Teoría Bloque 3 - Tecnología de los materiales

Resumen-Temas-3.1-y-3.2.pdf
Resumen-Temas-3.3-y-3.4.pdf
Tema-3.1-Aleaciones-metalicas-no-ferreas-reducida.pdf
Tema-3.1-Aleaciones-metalicas-no-ferreas.pdf
Tema-3.2-Conformado-de-materiales-metalicos-reducida.pdf
Tema-3.2-Conformado-de-materiales-metalicos.pdf

ejercicios

-

Ejercicios Bloque 2 - La estructura microscópica de los materiales

He publicado nuevos ejercicios de 1º Ciència i Tecnologia dels Materials: Ejercicios Bloque 2 - La estructura microscópica de los materiales

Problema-2-completo.pdf
Problema-4-completo.pdf
Problema-5-completo.pdf
Problemas-bloque-2.pdf
Problemas-extra-aceros.pdf
Procedimiento-y-resolucion-Problema-1a.docx

apuntes

-

Teoría Bloque 2 - La estructura microscópica de los materiales

He publicado nuevos apuntes de 1º Ciència i Tecnologia dels Materials: Teoría Bloque 2 - La estructura microscópica de los materiales

Tema-2.1-Nucleacion-y-crecimiento-cristalino-en-la-solidificacion-de-metales.pdf
Tema-2.2-Diagramas-de-fases-en-equilibrio.pdf
Tema-2.3-El-sistema-hierro-carbono-info-extra.pdf
Tema-2.3-El-sistema-hierro-carbono.pdf

ejercicios

-

Ejercicios Bloque 1 - La estructura atómica de los materiales

He publicado nuevos ejercicios de 1º Ciència i Tecnologia dels Materials: Ejercicios Bloque 1 - La estructura atómica de los materiales

Ejercicio-ceramicas.pdf
Peso-molecular-de-los-polimeros-expresiones.pdf
Problemas-bloque-1.pdf
Soluciones-Ejs-Extra-Tema-1.6.pdf
Soluciones-Ejs-Tema-1.6.pdf
Soluciones-Ejs-Temas-1.2-y-1.4.pdf

apuntes

-

Teoría Bloque 1 - La estructura atómica de los materiales

He publicado nuevos apuntes de 1º Ciència i Tecnologia dels Materials: Teoría Bloque 1 - La estructura atómica de los materiales

Resumen-Tema-1.1.pdf
Tema-1.1.pdf
Tema-1.2.pdf
Tema-1.3.pdf
Tema-1.4.pdf
Tema-1.5.pdf

He publicado nuevos apuntes de 1º Ciència i Tecnologia dels Materials: Materiales-ceramicos-enlace-ionico.pdf

11 páginas
Anónimo

@Anónimo

Práctica LEN 1 (PROPIEDADES MECÁNICAS: dureza e impacto) de materiales, en ESEIAAT.

8 páginas
Anónimo

@Anónimo

Práctica LEN 2(propiedades mecánicas: ensayo tracción) de materiales en ESEIAAT.

13 páginas
Anónimo

@Anónimo

ejercicios

-

Ejercicios resueltos vigas

Ejercicios resueltos para la AD de composites

Ejercicios-Resueltos-Composites-Viga-6.pdf
Ejercicios-Resueltos-Composites-Viga-2.pdf
Ejercicios-Resueltos-Composites-Viga-1.pdf
Ejercicios-Resueltos-Composites-Viga-4.pdf
Ejercicios-Resueltos-Composites-Viga-5.pdf
Ejercicios-Resueltos-Composites-Viga-3.pdf