Ciencias de Materiales II

chevron_left
chevron_right
Todo
Apuntes
Ejercicios
chevron_left
chevron_right

He publicado nuevos apuntes de 2º Ciencias de Materiales II: T.4-MATERIALES-CERAMICOS.pdf

30 páginas

He publicado nuevos apuntes de 2º Ciencias de Materiales II: T.3-TRATAMIENTO-TERMICO-POR-PRECIPITACION.pdf

20 páginas

He publicado nuevos apuntes de 2º Ciencias de Materiales II: T.3-PROBLEMAS.pdf

3 páginas

He publicado nuevos apuntes de 2º Ciencias de Materiales II: T.2-TRATAMIENTO-TERMICO-EN-ACEROS.pdf

30 páginas

He publicado nuevos apuntes de 2º Ciencias de Materiales II: T.2-ACERO-PROBLEMAS.pdf

4 páginas

He publicado nuevos apuntes de 2º Ciencias de Materiales II: T.1-METALES-Y-ALEACIONES.pdf

35 páginas

He publicado nuevos apuntes de 2º Ciencias de Materiales II: Diagrama-de-fases-Trabajo-aluminio-Joan.pdf

2 páginas

ejercicios

-

EJERCICIOS RESUELTOS

He publicado nuevos ejercicios de 2º Ciencias de Materiales II: EJERCICIOS RESUELTOS

Cuestion-5.pdf
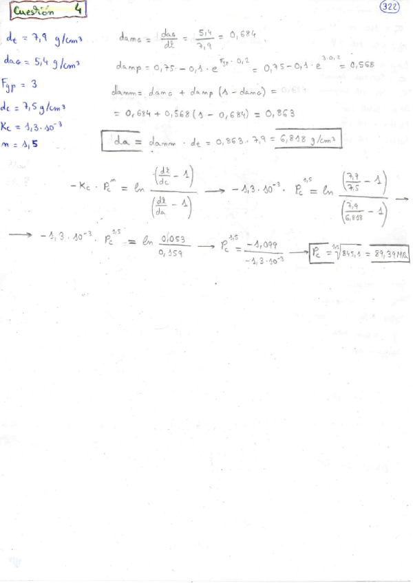
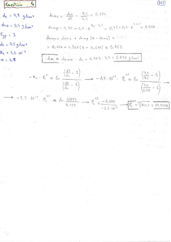
Cuestion-4-CDM.pdf
¡Estás al día!

¡Estás al día!

Has visto todos los archivos