Portada
Asignatura
Grado en Ingeniería de Tecnologías Industriales (US)
Cinemática y Dinámica de Máquinas
Fecha de subida
20 ago 2021
Categoría
examenes
Información
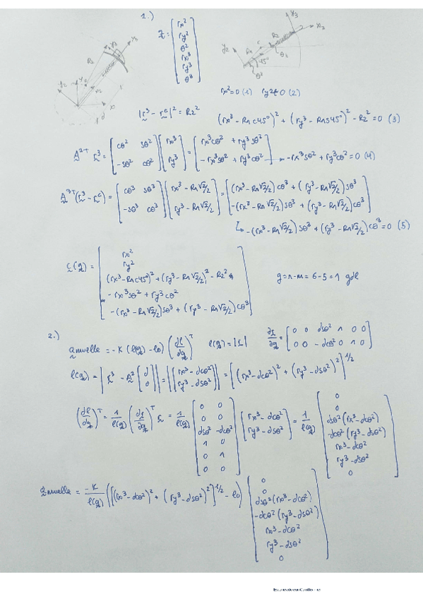
Solución problemas examen junio 2021. Alumno con matrícula.
Etiquetas
Prácticas - Practicas.rar
rar
97
0
Exámenes - Recopilación de exámenes resueltos.pdf
pdf
49 páginas
216
1
Exámenes - RECOPILACIÓN EXÁMENES DE CINEMATICA Y DINÁMICA MÁQUINAS.pdf
59 páginas
182
Apuntes - Resumen Cinematica y Dinamica de Maquinas.pdf
22 páginas
144
Apuntes - Teoria_de_Maquinas_Alejo_Avello.pdf
368 páginas
100
Apuntes - Res cinematica y din de maq.pdf
9 páginas
115
Prácticas - SolucionEx_8jun16(1).pdf
7 páginas
91
Ejercicios - Coleccion-ejercicios-2D-y-3D.pdf
201
Apuntes - Formulario.pdf
4 páginas
127
Apuntes - Apuntes Clase Cinematica y Dinamica de Maquinas.pdf
133 páginas
81
Prácticas - ExamenCDMSept16_EnunciadosySolucion.pdf
6 páginas
89
Exámenes - Jun-2016-rover20200212170718.pdf
3 páginas
74
Apuntes - CinematicaYDinamicaDeMaquinas.pdf
8 páginas
104
Exámenes - Ejercicios-Resueltos.pdf
71 páginas
47
Exámenes - MecPlanoJun13conSolucion.pdf
80
Ejercicios - Problemas-2-D.pdf
26 páginas
96
Exámenes - N GRADOS .zip
zip
12
Exámenes - CINDINTODO.pdf
53 páginas
68
3
Apuntes - CINEMÁTICA DE LA BICICLETA(2).pdf
45
Prácticas - matlab_graficos.pdf
111 páginas
49
Información
Solución problemas examen junio 2021. Alumno con matrícula.