Circuitos Eléctricos: Teoría e Instrumentación
He publicado nuevos examenes de 2º Circuitos Eléctricos: Teoría e Instrumentación: Parcial-circuitos-2526.pdf
P5-Analisis en el dominio del tiempo (DT) del circuito RC
test
-
Cuestionarios Resueltos Circuitos Eléctricos
He publicado nuevos test de 2º Circuitos Eléctricos: Teoría e Instrumentación: Cuestionarios Resueltos Circuitos Eléctricos
practicas
-
Informes Prácticas de Circuitos
Son los PDF exportados desde Google Colab, se incluye los códigos usados
ejercicios
-
Ejercicios resueltos 2025-2026
Ejercicios resueltos del Dorf (documento que iré actualizando si encuentro fallos o resuelvo los que me faltan)
He publicado nuevos apuntes de 2º Circuitos Eléctricos: Teoría e Instrumentación: Resumen-Bloque-2-corriente-alterna.pdf
apuntes
-
Apuntes 2025-2026
He publicado nuevos apuntes de 2º Circuitos Eléctricos: Teoría e Instrumentación: Apuntes 2025-2026
He publicado nuevos apuntes de 2º Circuitos Eléctricos: Teoría e Instrumentación: Resumen-Bloque-1-corriente-continua.pdf
He publicado nuevos apuntes de 2º Circuitos Eléctricos: Teoría e Instrumentación: Tema3-Opamp.pdf
He publicado nuevos apuntes de 2º Circuitos Eléctricos: Teoría e Instrumentación: Tema2-MetodosdeAnalisis.pdf
He publicado nuevos apuntes de 2º Circuitos Eléctricos: Teoría e Instrumentación: Tema4-RespuestaTransitoria.pdf
He publicado nuevos apuntes de 2º Circuitos Eléctricos: Teoría e Instrumentación: Resumen-tema-3-Circuitos.pdf
apuntes
-
Resumen de toda la asignatura
Resumen de todo la asignatura, fórmulas, métodos, gráficos.
Todos los métodos para resolver circuitos resistivos explicados y con ejemplos.
Este enlace lleva a el repositorio de Git-Hub en el que están todos las sesiones y los archivos con los datos tomados en prácticas.
Este archivo es para facilitar el copy-paste de los comandos que uno ya sabe.
ejercicios
-
Relaciones Salinas
He publicado nuevos ejercicios de 2º Circuitos Eléctricos: Teoría e Instrumentación: Relaciones Salinas
He publicado nuevos examenes de 2º Circuitos Eléctricos: Teoría e Instrumentación: Cuestionarios-2324.pdf
ejercicios
-
Ejercicios Resueltos y Explicados
Relaciones de ejercicios resueltas y explicadas
practicas
-
Practicas hechas
He publicado nuevos practicas de 2º Circuitos Eléctricos: Teoría e Instrumentación: Practicas hechas
ejercicios
-
Ejercicios todo el temario
He publicado nuevos ejercicios de 2º Circuitos Eléctricos: Teoría e Instrumentación: Ejercicios todo el temario
apuntes
-
Apuntes todo el temario
He publicado nuevos apuntes de 2º Circuitos Eléctricos: Teoría e Instrumentación: Apuntes todo el temario
Escrito en jupyter notebook (python + markdown) Se puede ver la sintaxis de una mejor forma en: https://github.com/WetZap/Practicas-Circuitos Así como los datos tomados.
INICIO DE CURSO CIRCUITOS ELÉCTRICOS ACADEMIA UNIVERSITARIA FORMACIÓN MANUEL POZO Clases modalidad online y presencial. Todas tus CLASES GRABADAS PARA QUE PUEDAS VISUALIZARLAS HASTA EL DÍA DEL EXAMEN Resolución de todos tus ejercicios y exámenes de convocatorias anteriores. Profesores especialidados y temario propio. Acceso a PLATAFORMA VIRTUAL CON CONTENIDO EXCLUSIVO ¡Solicita tu clase de prueba en grupo sin compromiso!

Resumen de los puntos más importantes del Bloque 1 (C.Continua) y los de gran parte del Bloque 2(C.Alterna))
He publicado nuevos apuntes de 2º Circuitos Eléctricos: Teoría e Instrumentación: Resumen-todo-el-temario-para-la-ordinaria-Circuitos.pdf
He publicado nuevos apuntes de 2º Circuitos Eléctricos: Teoría e Instrumentación: Tarjetas-temas-5-8.pdf
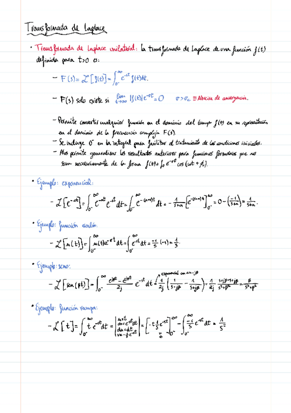
He publicado nuevos ejercicios de 2º Circuitos Eléctricos: Teoría e Instrumentación: RELACION-8TRANSFORMADA-DE-LAPLACE.pdf
He publicado nuevos apuntes de 2º Circuitos Eléctricos: Teoría e Instrumentación: Respuesta-transitoria.pdf
He publicado nuevos apuntes de 2º Circuitos Eléctricos: Teoría e Instrumentación: Amplificador-operacional.pdf
He publicado nuevos apuntes de 2º Circuitos Eléctricos: Teoría e Instrumentación: Temas-1-y-2.pdf
He publicado nuevos ejercicios de 2º Circuitos Eléctricos: Teoría e Instrumentación: Ejercicios-Transformador-Ideal-Dorf.pdf
He publicado nuevos examenes de 2º Circuitos Eléctricos: Teoría e Instrumentación: Parcial-Resuelto-Bloque-2-23-24.pdf
He publicado nuevos examenes de 2º Circuitos Eléctricos: Teoría e Instrumentación: Parcial-Resuelto-Bloque-1-23-24.pdf
He publicado nuevos apuntes de 2º Circuitos Eléctricos: Teoría e Instrumentación: tarjetas-temas-1-4.pdf
He publicado nuevos ejercicios de 2º Circuitos Eléctricos: Teoría e Instrumentación: Dorf-Resueltos-Bloq-1-CAP-3.pdf
He publicado nuevos examenes de 2º Circuitos Eléctricos: Teoría e Instrumentación: Test 1 Resuelto.pdf
He publicado nuevos apuntes de 2º Circuitos Eléctricos: Teoría e Instrumentación: Resumen-Teoria-Tema-1-2-3.pdf
examenes
-
Exámenes Parciales 23-24
He publicado nuevos examenes de 2º Circuitos Eléctricos: Teoría e Instrumentación: Exámenes Parciales 23-24
ejercicios
-
Ejercicios resueltos
He publicado nuevos ejercicios de 2º Circuitos Eléctricos: Teoría e Instrumentación: Ejercicios resueltos
practicas
-
Informes Practicas 2023
He publicado nuevos practicas de 2º Circuitos Eléctricos: Teoría e Instrumentación: Informes Practicas 2023
He publicado nuevos apuntes de 2º Circuitos Eléctricos: Teoría e Instrumentación: Diagramas-De-Bode.pdf
ejercicios
-
Relaciones Ejercicios Resueltos Circuitos Eléctricos
He publicado nuevos ejercicios de 2º Circuitos Eléctricos: Teoría e Instrumentación: Relaciones Ejercicios Resueltos Circuitos Eléctricos
apuntes
-
RESÚMENES CIRCUITOS
He publicado nuevos apuntes de 2º Circuitos Eléctricos: Teoría e Instrumentación: RESÚMENES CIRCUITOS
He publicado nuevos practicas de 2º Circuitos Eléctricos: Teoría e Instrumentación: Practicas-resueltas.pdf
apuntes
-
Apuntes Circuitos
He publicado nuevos apuntes de 2º Circuitos Eléctricos: Teoría e Instrumentación: Apuntes Circuitos
He publicado nuevos apuntes de 2º Circuitos Eléctricos: Teoría e Instrumentación: Algo de teoría - Circuitos magnéticos (tema 7).pdf
ejercicios
-
Relaciones resueltas 2023
He publicado nuevos ejercicios de 2º Circuitos Eléctricos: Teoría e Instrumentación: Relaciones resueltas 2023
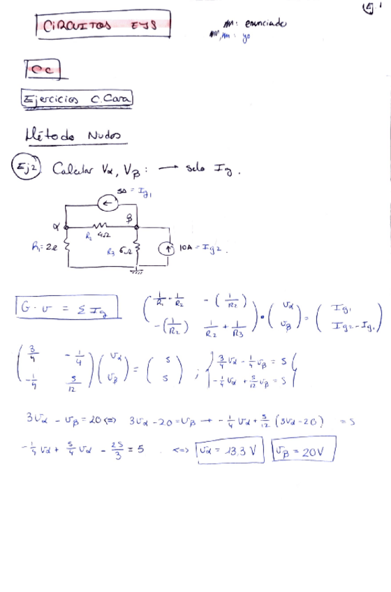
He publicado nuevos apuntes de 2º Circuitos Eléctricos: Teoría e Instrumentación: Ejemplos - Nodos, mallas, Thevenin, Norton, superposición.pdf
He publicado nuevos ejercicios de 2º Circuitos Eléctricos: Teoría e Instrumentación: Relación 8 - Laplace (explicados).pdf
He publicado nuevos ejercicios de 2º Circuitos Eléctricos: Teoría e Instrumentación: Relación 9 - Fourier (explicados).pdf
He publicado nuevos ejercicios de 2º Circuitos Eléctricos: Teoría e Instrumentación: Relación 5 - Circuitos AC y potencia (explicados).pdf
He publicado nuevos apuntes de 2º Circuitos Eléctricos: Teoría e Instrumentación: resumen-carlson-tema-5.pdf
He publicado nuevos apuntes de 2º Circuitos Eléctricos: Teoría e Instrumentación: resumen-carlson-tema-6.pdf
He publicado nuevos apuntes de 2º Circuitos Eléctricos: Teoría e Instrumentación: Teoría - Circuitos de AC y potencia (tema 5).pdf