Circuitos Eléctricos y Electrotecnia

chevron_left
chevron_right
Todo
Apuntes
Exámenes
chevron_left
chevron_right

He publicado nuevos apuntes de 2º Circuitos Eléctricos y Electrotecnia: TEMA-4.pdf

3 páginas

He publicado nuevos apuntes de 2º Circuitos Eléctricos y Electrotecnia: TEMA-3.pdf

13 páginas

He publicado nuevos apuntes de 2º Circuitos Eléctricos y Electrotecnia: TEMA-1-y-2.pdf

3 páginas

examenes

-

EXTRAORDINARIO con Solución

He publicado nuevos examenes de 2º Circuitos Eléctricos y Electrotecnia: EXTRAORDINARIO con Solución

28-06-2024EXTRA.pdf
30-06-2023EXTRA.pdf

examenes

-

PEI 1 con Solución

He publicado nuevos examenes de 2º Circuitos Eléctricos y Electrotecnia: PEI 1 con Solución

PEI12122.pdf

examenes

-

ORDINARIO con Solución

He publicado nuevos examenes de 2º Circuitos Eléctricos y Electrotecnia: ORDINARIO con Solución

220125ORDINARIO.pdf
19012024ORDINARIO.pdf

examenes

-

PEI 2 con Solución

He publicado nuevos examenes de 2º Circuitos Eléctricos y Electrotecnia: PEI 2 con Solución

210122PEI2.pdf

apuntes

-

Apuntes Tema por Tema PEI 1

He publicado nuevos apuntes de 2º Circuitos Eléctricos y Electrotecnia: Apuntes Tema por Tema PEI 1

Tema-1-Introduccion.pdf
Tema-2-Magnitudes-asociadas-a-ondas-periodicas.pdf
Tema-3-Alterna.pdf
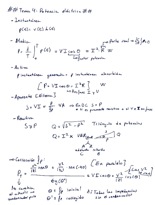
Tema-4-Potencia-electrica.pdf
Tema-5-Teoremas-generales-de-circuitos.pdf
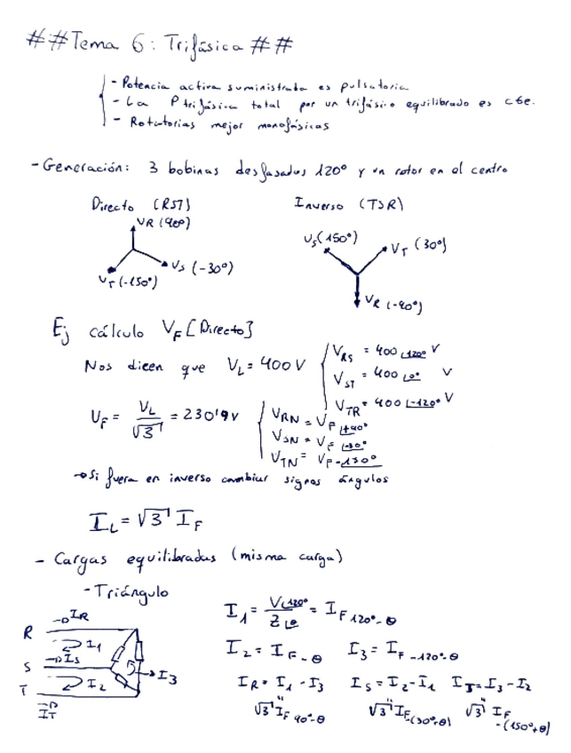
Tema-6-Trifasica.pdf
¡Estás al día!

¡Estás al día!

Has visto todos los archivos