Anónimo
Portada
Asignatura
Grado en Ingeniería de Sistemas de Telecomunicación (UPC)
Circuits I Sistemes Lineals
Fecha de subida
30 dic 2020
Categoría
apuntes
Etiquetas
Ejercicios - CSL-Colleccio-T4.pdf
pdf
22 páginas
41
0
Prácticas - InformeP1.pdf
3 páginas
44
Ejercicios - CSL-Colleccio-T2.pdf
25 páginas
38
1
Ejercicios - CSL-Colleccio-T1.pdf
9 páginas
40
Prácticas - Estudi-Previ-Practica-1.pdf
8 páginas
29
2
Ejercicios - CSL-Colleccio-T3.pdf
27 páginas
17
Prácticas - Estudi-Previ-Practica-3.pdf
12 páginas
26
Apuntes - Resumen.pdf
24
Prácticas - Practica-1.pdf
6 páginas
14
Prácticas - Practica-2.pdf
13
Apuntes - Tema 2. Circuitos resistivos con generadores ideales.pdf
12
Apuntes - Resumen-Por-Temas-T1-T2-y-T3.pdf
5 páginas
18
Prácticas - Practica-4.pdf
Apuntes - Tema 1. Magnitudes y Leyes.pdf
15
Ejercicios - T1. Col·leccio.pdf
Prácticas - Practica-3.pdf
Prácticas - InformeP4.pdf
Apuntes - CSLT4.Circuitsenrps2425Q2.pdf
10
Prácticas - Practica-4-laboratoripdf.pdf
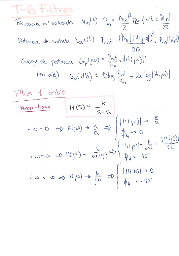
Apuntes - CSL-Tema-6-Resum.pdf