chevron_left
chevron_right
Todo
Apuntes
Exámenes
Prácticas
chevron_left
chevron_right

Resumen de teoría para examen

2 páginas

Resumen de la teoría para examen

4 páginas

He publicado nuevos examenes de 2º COMPONENTES Y DISPOSITIVOS ELECTRÓNICOS: 2o-Parcial-CyDE-202526.pdf

2 páginas

Extraordinaria parcial2 resultados numéricos coinciden con los del PDF del profesor

4 páginas

Ordinaria parcial2 2025 resultados numéricos coinciden con los del PDF del profesor

4 páginas

Parcial 2 2025, resultados coinciden con los del PDF del profesor

4 páginas

He publicado nuevos apuntes de 2º COMPONENTES Y DISPOSITIVOS ELECTRÓNICOS: Resumen-T4-pequena-senal-componentes.pdf

4 páginas

He publicado nuevos apuntes de 2º COMPONENTES Y DISPOSITIVOS ELECTRÓNICOS: Resumen-T3-mosfet-componentes.pdf

4 páginas

examenes

-

Examenes

He publicado nuevos examenes de 2º COMPONENTES Y DISPOSITIVOS ELECTRÓNICOS: Examenes

Solucion-problema-semiconductores-febrero-2013.pdf
Solucion-problema-semiconductores-junio-2013.pdf
SolucionFeb2019ParteSemiconductores.pdf
SolucionProblemaMOSFETjunio2020.pdf
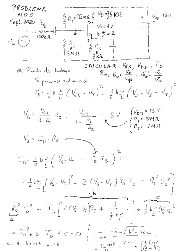
SolucionProblemaMOSFETseptiembre2020.pdf
Parcial12021.pdf

apuntes

-

Teoria de Gines Domenech

He publicado nuevos apuntes de 2º COMPONENTES Y DISPOSITIVOS ELECTRÓNICOS: Teoria de Gines Domenech

CyDETema1diodos2023.pdf
CyDETema2BJT2023.pdf
CyDETema3MOS2023.pdf
CyDETema4Semiconductores2023.pdf

apuntes

-

Teoria

He publicado nuevos apuntes de 2º COMPONENTES Y DISPOSITIVOS ELECTRÓNICOS: Teoria

Tema1diodos.pdf
Tema2transistorbipolar.pdf
Tema3transistordeefectocampo.pdf
Tema4.1semiconductores.pdf
Tema4.2transportedeportadores.pdf

He publicado nuevos examenes de 2º COMPONENTES Y DISPOSITIVOS ELECTRÓNICOS: Final-componentes-julio-2021.pdf

4 páginas

He publicado nuevos examenes de 2º COMPONENTES Y DISPOSITIVOS ELECTRÓNICOS: Febrero-2018-CyDE.pdf

5 páginas

He publicado nuevos examenes de 2º COMPONENTES Y DISPOSITIVOS ELECTRÓNICOS: FEB-2018-CyDE.pdf

2 páginas
Anónimo

@Anónimo

practicas

-

PRÁCTICAS

He publicado nuevos practicas de 2º COMPONENTES Y DISPOSITIVOS ELECTRÓNICOS: PRÁCTICAS

P4-.pdf
P3.pdf
P5.pdf
P6.pdf
P1.pdf
P2.pdf

examenes

-

Examenes

He publicado nuevos examenes de 2º COMPONENTES Y DISPOSITIVOS ELECTRÓNICOS: Examenes

Feb2015bipolar.pdf
feb-2016.pdf
CyDEJunio15MOS.pdf
CyDEFeb15MOS.pdf
Junio-2014.pdf
ProblemaResueltoFeb2016.pdf
¡Estás al día!

¡Estás al día!

Has visto todos los archivos