chevron_left
chevron_right
Todo
Apuntes
Ejercicios
Exámenes
chevron_left
chevron_right

He publicado nuevos apuntes de 3º Comportamiento electrónico y térmico de materiales: Diciembre-2011-y-enero-2013.png

Imagen

Ejeecicios de examen

3 páginas

Toda la teoría del tema 1-8

25 páginas

Ejercicios del tema 8, segundo parcial

2 páginas

Ejercicios del tema 6 y 7, segundo parcial

8 páginas

Ejercicios del tema 5, segundo parcial

5 páginas

He publicado nuevos apuntes de 3º Comportamiento electrónico y térmico de materiales: Apuntes-CET.pdf

43 páginas

Ejercicio de entrega 2ª parte

2 páginas

ejercicios

-

Ejercicios Temas 1-8

He publicado nuevos ejercicios de 3º Comportamiento electrónico y térmico de materiales: Ejercicios Temas 1-8

Ejercicios-CET-Tema-3.pdf
Ejercicios-CET-Tema-2.pdf
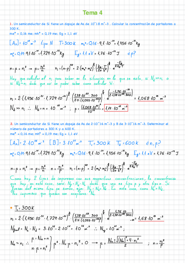
Ejercicios-CET-Tema-4-Ejerc.-examenes.pdf
Ejercicios-CET-Tema-8.pdf
Ejercicios-CET-Tema-6.pdf
Ejercicios-CET-Tema-1.pdf

He publicado nuevos apuntes de 3º Comportamiento electrónico y térmico de materiales: RESUMEN COMPLETO DE TERMO.pdf

60 páginas
¡Estás al día!

¡Estás al día!

Has visto todos los archivos