Portada
Asignatura
Grado en Ingeniería Aeroespacial (UCA)
Comportamiento y Control de Materiales Aeroespaciales
Fecha de subida
13 dic 2024
Categoría
ejercicios
Información
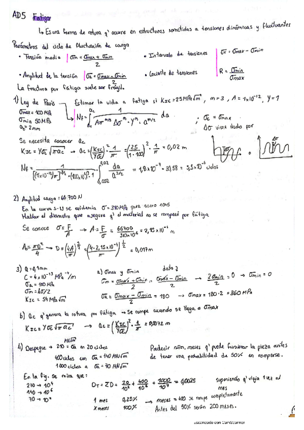
En el SEGUNDO PARCIAL entra la relación de Godman
Etiquetas
Exámenes - Correccion-examenes-teoria-2021.pdf
pdf
6 páginas
186
4
Apuntes - Teoria-CCMA.pdf
9 páginas
127
1
Ejercicios - Problemas-CCMA-1er-parcial.pdf
50 páginas
152
0
Exámenes - 2-parcial.pdf
5 páginas
179
Apuntes - Apuntes.pdf
43 páginas
134
Apuntes - examenes CCMA.pdf
7 páginas
143
Ejercicios - Problemas-CCMA-2-parcial.pdf
18 páginas
116
Ejercicios - Ejercicios-CCMA-2-Parcial.pdf
24 páginas
149
Apuntes - FATIGA_EJERCICIOS RESUELTOS.pdf
8 páginas
108
Ejercicios - Problemas-CCMA-Primer-parcial.pdf
28 páginas
138
Ejercicios - Todos-los-problemas-de-clase-PARCIAL-1-CCMA.pdf
22 páginas
83
Exámenes - 1-parcial.pdf
3 páginas
136
Ejercicios - Problemas-1-Parcial-CCMA.pdf
122
Exámenes - Parcial 1 CCMA.pdf
1 página
101
Ejercicios - Problemas-CCMA-Segundo-parcial.pdf
12 páginas
Apuntes - CCMA.pdf
17 páginas
78
Apuntes - CCMA AD2-AD4.pdf
29 páginas
80
Ejercicios - Relacion-RESUELTA-de-SEMICONDUCTORES.pdf
65
Apuntes - CCM-Examen-AD1-noviembre-2020-correcciones.pdf
2 páginas
111
Ejercicios - AD2b-Materiales-Compuestos.pdf
79
Información
En el SEGUNDO PARCIAL entra la relación de Godman