Comptabilitat II
examenes
-
todos los temas
He publicado nuevos examenes de 2º Comptabilitat II: todos los temas
🎓Classes Particulars de Comptabilitat II
📚 En Conta Master Academy aprendràs amb professors experts en docència financera, utilitzant una pissarra realista que fa les classes clares i dinàmiques. 🎥 A més, tindràs accés a les gravacions per repassar quan vulguis i un assistent virtual que et dona exercicis i suport les 24 h del dia. 💬 Escriu-nos al WhatsApp 👉 639 879 228 i t’expliquem com unir-te al teu grup 🔥
He publicado nuevos apuntes de 2º Comptabilitat II: T10-Subvenciones-Donaciones-y-Legados.pdf
He publicado nuevos apuntes de 2º Comptabilitat II: T16-Transacciones-en-moneda-extranjera.pdf
He publicado nuevos apuntes de 2º Comptabilitat II: T9-Fondos-Propios.pdf
He publicado nuevos apuntes de 2º Comptabilitat II: T17-Resultado-del-ejercicio.pdf
He publicado nuevos apuntes de 2º Comptabilitat II: T6-Inversiones-Financieras.pdf
He publicado nuevos apuntes de 2º Comptabilitat II: T12-Creditos-y-debitos-no-comerciales.pdf
He publicado nuevos apuntes de 2º Comptabilitat II: T14-Impuesto-de-sociedades.pdf
He publicado nuevos apuntes de 2º Comptabilitat II: T15-Impuesto-sobre-el-valor-anadido-IVA.pdf
apuntes
-
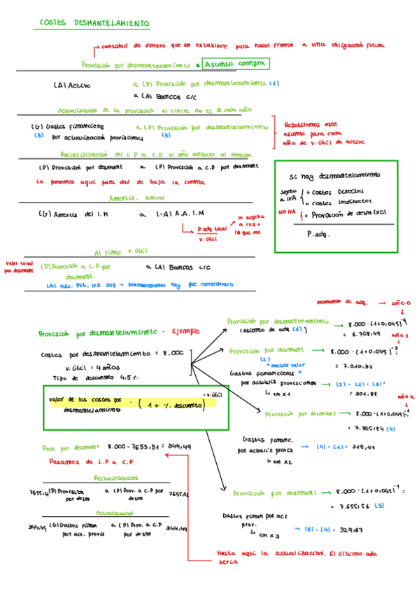
Asientos modelo de contabilidad II
Asientos modelo de contabilidad II. (Temas: 6,7,9,10,11,12,13,14,15,16). Para examen final y recuperación.
He publicado nuevos ejercicios de 2º Comptabilitat II: EJERCICIOS-BLOQUE-2.pdf
He publicado nuevos apuntes de 2º Comptabilitat II: CONTABILIDAD-BLOQUE-2-TEORIA.pdf
He publicado nuevos ejercicios de 2º Comptabilitat II: BLOQUE-1-EJERCICIOS.pdf
He publicado nuevos apuntes de 2º Comptabilitat II: Apuntes-Tema-16-Contabilidad-2-1.pdf
He publicado nuevos apuntes de 2º Comptabilitat II: Apuntes-Tema-13-Contabilidad-2-1.pdf
He publicado nuevos apuntes de 2º Comptabilitat II: Apuntes-Tema-12-Contabilidad-2-1.pdf
He publicado nuevos apuntes de 2º Comptabilitat II: Apuntes-Tema-11-Contabilidad-2-1.pdf
He publicado nuevos apuntes de 2º Comptabilitat II: Apuntes-Tema-10-Contabilidad-2-1.pdf
He publicado nuevos apuntes de 2º Comptabilitat II: Apuntes-Tema-9-Contabilidad-2-1.pdf
He publicado nuevos apuntes de 2º Comptabilitat II: Apuntes-Tema-7-Contabilidad-2-1.pdf
He publicado nuevos apuntes de 2º Comptabilitat II: Apuntes-Tema-6-Contabilidad-2-1.pdf
He publicado nuevos apuntes de 2º Comptabilitat II: Apuntes-Tema-14-Contabilidad-2.pdf
He publicado nuevos ejercicios de 2º Comptabilitat II: supuestos-1r-parcial.pdf
He publicado nuevos apuntes de 2º Comptabilitat II: SUPUESTOS-EXAMEN.pdf
He publicado nuevos apuntes de 2º Comptabilitat II: SUPUESTOS-BLOQUE-2.pdf
He publicado nuevos examenes de 2º Comptabilitat II: Examen-final-2026.pdf
He publicado nuevos apuntes de 2º Comptabilitat II: Teoria-Conta-resumen.pdf
apuntes
-
Contabilidad II REPASO EXAMEN FINAL
Hola! Subo estos apuntes para repasar para el final! si os gustan hacermelo saber y subiré más de los demás temas! De momento solo tengo del tema 1, 2 y 3. Si teneis alguna pregunta me podeis enviar un mensaje! Ánimo para los finales!
He publicado nuevos apuntes de 2º Comptabilitat II: Examen-final-2025-cont.pdf
He publicado nuevos apuntes de 2º Comptabilitat II: arrendamientos-financieros.pdf
He publicado nuevos apuntes de 2º Comptabilitat II: moneda-extranjera.pdf
