chevron_left
chevron_right
Todo
Ejercicios
Exámenes
chevron_left
chevron_right

He publicado nuevos ejercicios de 4º Comunicaciones Móviles

https://www.youtube.com/watch?v=0EWshjLHvgY&t=650s&ab_channel=Estuteleco

He publicado nuevos examenes de 4º Comunicaciones Móviles: Moviles.pdf

14 páginas
Anónimo

@Anónimo

He publicado nuevos examenes de 4º Comunicaciones Móviles: CMGISTF21.pdf

4 páginas

ejercicios

-

ejercicios-resueltos-TODOS

He publicado nuevos ejercicios de 4º Comunicaciones Móviles: ejercicios-resueltos-TODOS

memoria-practica2-CCMM.pdf
ejercicios-resueltos-tema2-MOVILES.pdf
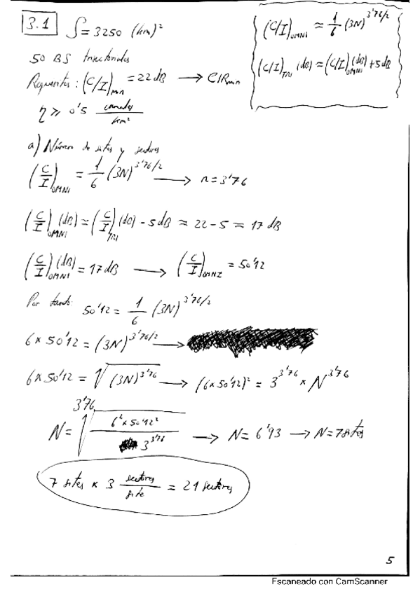
ejercicios-resueltos-tema3-MOVILES.pdf
problema-tema3-MOVILES.pdf
examenCMGISTF21.pdf
¡Estás al día!

¡Estás al día!

Has visto todos los archivos