chevron_left
chevron_right
Todo
Apuntes
Ejercicios
Exámenes
chevron_left
chevron_right

Los mismas que están en ev pero que no se entiende la letra

17 páginas

Las mismas que están en ev pero que no se entiende la letra

24 páginas

He publicado nuevos apuntes de 1º Comunicaciones Ópticas: ExFeb2019SOLUCION1.pdf

15 páginas

He publicado nuevos ejercicios de 1º Comunicaciones Ópticas: PBMAFabryPerot.pdf

7 páginas

examenes

-

RECOPILACIÓN EXÁMENES (2)

He publicado nuevos examenes de 1º Comunicaciones Ópticas: RECOPILACIÓN EXÁMENES (2)

2016 02.pdf
2016 09.pdf
2017 02.pdf
2017 09.pdf
2017 12.pdf
2018 02.pdf

examenes

-

RECOPILACIÓN EXÁMENES (1)

He publicado nuevos examenes de 1º Comunicaciones Ópticas: RECOPILACIÓN EXÁMENES (1)

2006 02.pdf
2009 07.pdf
2009 09.pdf
2011 09.pdf
2012 02.pdf
2012 09.pdf
Anónimo

@Anónimo

Cuestión 1 + Problema

5 páginas
Anónimo

@Anónimo

He publicado nuevos examenes de 1º Comunicaciones Ópticas: CCOO_Problema Acopladores_Examen 1C_Feb2016.pdf

2 páginas
Anónimo

@Anónimo

He publicado nuevos ejercicios de 1º Comunicaciones Ópticas: CCOO_Problema Propagacion_Fibra Optica.pdf

2 páginas
Anónimo

@Anónimo

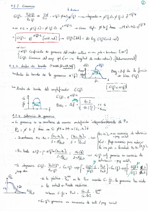
He publicado nuevos apuntes de 1º Comunicaciones Ópticas: CCOO_Tema_Amplificadores ópticos.pdf

6 páginas
Anónimo

@Anónimo

He publicado nuevos apuntes de 1º Comunicaciones Ópticas: CCOO_Resumen Tema_Efectos no lineales.pdf

1 página
Anónimo

@Anónimo

He publicado nuevos ejercicios de 1º Comunicaciones Ópticas: CCOO_Problema EDFA_Sol_Analitica.pdf

4 páginas
Anónimo

@Anónimo

He publicado nuevos apuntes de 1º Comunicaciones Ópticas: CCOO_Tema_Filtro FP.pdf

6 páginas
Anónimo

@Anónimo

He publicado nuevos apuntes de 1º Comunicaciones Ópticas: CCOO_Tema_Receptores Coherentes.pdf

2 páginas
Anónimo

@Anónimo

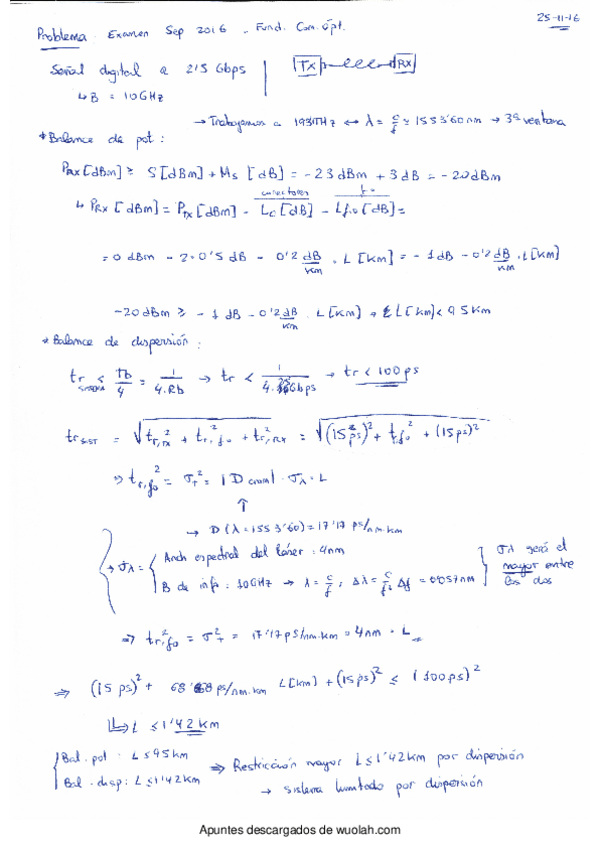
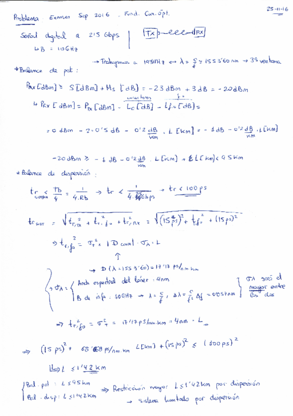
Ejercicio de Balance de Potencia y Dispersión del Examen de Septiembre 2016

1 página
Anónimo

@Anónimo

Resumen con muchas de las cosas que suelen caer en los exámenes y varias fórmulas útiles para los problemas

8 páginas
¡Estás al día!

¡Estás al día!

Has visto todos los archivos