Conocimiento de las Matemáticas

chevron_left
chevron_right
Todo
Apuntes
Trabajos
chevron_left
chevron_right

Angulos, pitagoras y tales

1 página
Anónimo

@Anónimo

matemáticas operaciones con fracciones

Imagen
Anónimo

@Anónimo

Apuntes de operaciones con fracciones

Imagen

He publicado nuevos apuntes de 3º Conocimiento de las Matemáticas: numeros-reales.pdf

2 páginas

He publicado nuevos apuntes de 3º Conocimiento de las Matemáticas: ejerciciosformulasprogresionessucesionesfunciones.pdf

12 páginas

aquí dejo apuntes de geometría de sectores circulares explicando por que son esas fórmulas para que le deis una sorpresa a vuestro profe ?

2 páginas

He publicado nuevos apuntes de 3º Conocimiento de las Matemáticas: matematicas-pitagoras.pdf

10 páginas

He publicado nuevos apuntes de 3º Conocimiento de las Matemáticas: Emmy-Noether-1.m4a

Miniatura no disponible

He publicado nuevos trabajos de 3º Conocimiento de las Matemáticas: La-Geometria-En-Las-Matematicas.pdf

4 páginas

He publicado nuevos apuntes de 3º Conocimiento de las Matemáticas: El-Teorema-De-Pitagoras.pdf

Miniatura no disponible
pdf

He publicado nuevos apuntes de 3º Conocimiento de las Matemáticas: Apuntes-Sobre-La-Estructura-Atomica-De-La-Unam.pdf

1 página

He publicado nuevos apuntes de 3º Conocimiento de las Matemáticas: El-Enlace-Quimico-.pdf

1 página

He publicado nuevos apuntes de 3º Conocimiento de las Matemáticas: mates.pdf

1 página

He publicado nuevos apuntes de 3º Conocimiento de las Matemáticas: GEOMETRIA-2D-Y-3D.pdf

3 páginas

He publicado nuevos apuntes de 3º Conocimiento de las Matemáticas: APUNTES-Sistemas.pdf

2 páginas

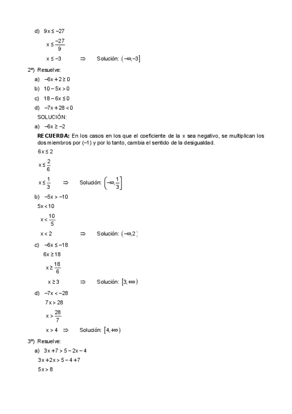
He publicado nuevos apuntes de 3º Conocimiento de las Matemáticas: APUNTES-Y-EJERCICIOS-RESUELTOS-INECUACIONES.pdf

29 páginas

He publicado nuevos apuntes de 3º Conocimiento de las Matemáticas: APUNTES-Razones-trigonometricas.pdf

3 páginas

He publicado nuevos apuntes de 3º Conocimiento de las Matemáticas: APUNTES-FUNCIONES.pdf

5 páginas

He publicado nuevos apuntes de 3º Conocimiento de las Matemáticas: APUNTES-ESTADISTICA.pdf

8 páginas

He publicado nuevos apuntes de 3º Conocimiento de las Matemáticas: APUNTES-TABLAS-DE-FRECUENCIAS.pdf

2 páginas

He publicado nuevos apuntes de 3º Conocimiento de las Matemáticas: APUNTES-REGLAS-DE-3.pdf

3 páginas

He publicado nuevos apuntes de 3º Conocimiento de las Matemáticas: APUNTES-POLINOMIOS.pdf

5 páginas

He publicado nuevos apuntes de 3º Conocimiento de las Matemáticas: APUNTES-OPERACIONES-CON-POLINOMIOS.pdf

6 páginas

He publicado nuevos apuntes de 3º Conocimiento de las Matemáticas: APUNTES-ECUACIONES.pdf

3 páginas

He publicado nuevos apuntes de 3º Conocimiento de las Matemáticas: T12.-Funciones.pptx

Miniatura no disponible
powerpoint
¡Estás al día!

¡Estás al día!

Has visto todos los archivos