Constitución, Distribución de Beneficios, Aumento y Reducción de Capital, Financiación, Transformación, Fusión, Absorción, Escisión y Disolución de Empresas Individuales y Sociedades
Todo
Apuntes
chevron_left
chevron_right
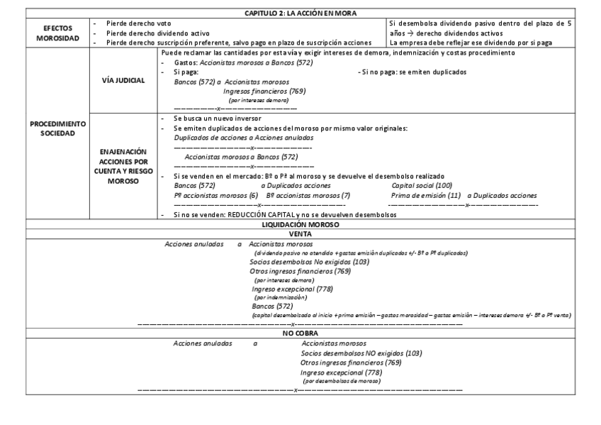
He publicado nuevos apuntes de Constitución, Distribución de Beneficios, Aumento y Reducción de Capital, Financiación, Transformación, Fusión, Absorción, Escisión y Disolución de Empresas Individuales y Sociedades: CUADROS-CONTA-SOCIEDADES.pdf
¡Estás al día!
Has visto todos los archivos