Todo
Apuntes
Preguntas
Ejercicios
Exámenes
Prácticas
Test
chevron_left
chevron_right
Anónimo

@Anónimo

He publicado nuevos apuntes de 1º Contabilidad Financiera II: esencial-tema-6.pdf

2 páginas
Anónimo

@Anónimo

He publicado nuevos examenes de 1º Contabilidad Financiera II: Examen-Global-resuelto-2025.pdf

4 páginas
Anónimo

@Anónimo

He publicado nuevos examenes de 1º Contabilidad Financiera II: Examen-Parcial-resuelto-2025.pdf

5 páginas
Anónimo

@Anónimo

ejercicios

-

ejercicios temas

He publicado nuevos ejercicios de 1º Contabilidad Financiera II: ejercicios temas

ejemplos-tema-3.pdf
ejemplos-tema-2.pdf
ejemplos-tema-4.pdf
ejemplos-tema-7.pdf
ejemplos-tema-8.pdf
ejemplos-tema-9.pdf

He publicado nuevos practicas de 1º Contabilidad Financiera II: Supuesto-4-Conta-II.pdf

2 páginas

He publicado nuevos practicas de 1º Contabilidad Financiera II: Supuesto-2-Conta-II.pdf

1 página

He publicado nuevos ejercicios de 1º Contabilidad Financiera II: Supuesto-1-Conta-II.pdf

1 página

apuntes

-

ASIENTOS TEMA 1-9 CONTABILIDAD II

He publicado nuevos apuntes de 1º Contabilidad Financiera II: ASIENTOS TEMA 1-9 CONTABILIDAD II

Miniatura no disponible
ASIENTOS-TEMA-3.pdf
ASIENTOS-TEMA-2.pdf
Miniatura no disponible
ASIENTOS-TEMA-4.pdf
ASIENTOS-TEMA-8.pdf
ASIENTOS-TEMA-7.pdf
Miniatura no disponible
ASIENTOS-TEMA-9.pdf

apuntes

-

RESUMEN TEORIA TEMA 1-9 CONTABILIDAD

He publicado nuevos apuntes de 1º Contabilidad Financiera II: RESUMEN TEORIA TEMA 1-9 CONTABILIDAD

TEMA-1-CONTABILIDAD.pdf
TEMA-2-CONTABILIDAD.pdf
TEMA-3-CONTABILIDAD.pdf
TEMA-4-CONTABILIDAD.pdf
TEMA-5-CONTABILIDAD.pdf
TEMA-6-CONTABILIDAD.pdf

apuntes

-

TeorÍa temas 1 al 9 - conta II

He publicado nuevos apuntes de 1º Contabilidad Financiera II: TeorÍa temas 1 al 9 - conta II

TEMA-6-CONTA-II.pdf
TEMA-5-CONTA-II.pdf
TEMA-4-CONTA-II.pdf
TEMA-3-CONTA-II.pdf
TEMA-2-CONTA-II.pdf
TEMA-1-CONTA-II.pdf

apuntes

-

Solución Ejemplos (TM 2-9)

He publicado nuevos apuntes de 1º Contabilidad Financiera II: Solución Ejemplos (TM 2-9)

Ejemplos-TM-9.pdf
Ejemplos-TM-4.pdf
Ejemplos-TM-7.pdf
Ejemplos-TM-8.pdf
Ejemplos-TM-5-y-6.pdf
Ejemplos-TM-2.pdf

apuntes

-

SUPUESTOS CONTABILIDAD II

He publicado nuevos apuntes de 1º Contabilidad Financiera II: SUPUESTOS CONTABILIDAD II

SUPUESTO-2.pdf
SUPUESTO-1.pdf
SUPUESTO-3.pdf
SUPUESTO-5.pdf
SUPUESTO-6.pdf
SUPUESTO-8.pdf

ejercicios

-

Ejemplos T-6 al 8

Corregidos

Ejemplos-tema-6.pdf
Ejemplos-tema-7.pdf
Ejemplos-tema-8.pdf

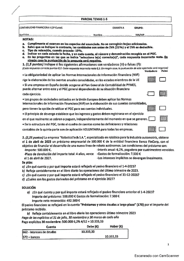
He publicado nuevos ejercicios de 1º Contabilidad Financiera II: Supuesto-12.pdf

3 páginas

He publicado nuevos apuntes de 1º Contabilidad Financiera II: ENCUNCIADOS-SUPUESTOS.pdf

14 páginas

He publicado nuevos apuntes de 1º Contabilidad Financiera II: Tema-1-test.pdf

2 páginas

He publicado nuevos ejercicios de 1º Contabilidad Financiera II: Supuesto-11.pdf

2 páginas

He publicado nuevos ejercicios de 1º Contabilidad Financiera II: Supuesto-10.pdf

2 páginas

He publicado nuevos apuntes de 1º Contabilidad Financiera II: Resumen-asientos-tema-8.pdf

2 páginas

He publicado nuevos ejercicios de 1º Contabilidad Financiera II: Supuesto-9.pdf

2 páginas

He publicado nuevos apuntes de 1º Contabilidad Financiera II: Resumen-asientos-tema-7.pdf

4 páginas

He publicado nuevos ejercicios de 1º Contabilidad Financiera II: Supuesto-8.pdf

2 páginas

He publicado nuevos apuntes de 1º Contabilidad Financiera II: Resumen-asientos-tema-6.pdf

4 páginas

He publicado nuevos ejercicios de 1º Contabilidad Financiera II: Supuesto-7.pdf

2 páginas

apuntes

-

Repaso primer parcial, temas 3,4 y 5

He publicado nuevos apuntes de 1º Contabilidad Financiera II: Repaso primer parcial, temas 3,4 y 5

49E0367E-8FA6-40BF-80E4-28F768D3845E.jpeg
CE19707A-7618-40EC-8746-ACB0DDFBAEAB.jpeg
59E0AC11-1A67-4846-8E53-37AF5F9C9E9E.jpeg
F4D7CED2-FA83-4900-AC22-D3CDD88DCE06.jpeg
BADE2AEA-C602-4ECA-A108-531CD450AA3F.jpeg
BA0FE90B-7AB1-4B7D-BB65-44505BC6C318.jpeg

ejercicios

-

EJEMPLOS T2-5

Corregidos

Ejemplos-tema-2.pdf
Ejemplos-tema-3.pdf
Ejemplos-tema-4.pdf
Ejemplos-tema-5.pdf

He publicado nuevos ejercicios de 1º Contabilidad Financiera II: Supuesto-4.pdf

3 páginas

He publicado nuevos ejercicios de 1º Contabilidad Financiera II: Supuesto-6.pdf

2 páginas

He publicado nuevos ejercicios de 1º Contabilidad Financiera II: Supuesto-5.pdf

1 página

He publicado nuevos ejercicios de 1º Contabilidad Financiera II: Supuesto-3.pdf

3 páginas

apuntes

-

Supuestos 2024

He publicado nuevos apuntes de 1º Contabilidad Financiera II: Supuestos 2024

SUPUESTOS-1-CONTABILIDAD-II.pdf
SUPUESTOS-2-CONTABILIDAD-II.pdf
SUPUESTOS-3-CONTABILIDAD-II.pdf
SUPUESTOS-4-CONTABILIDAD-II.pdf
SUPUESTOS-5-CONTABILIDAD-II.pdf
SUPUESTOS-6-CONTABILIDAD-II.pdf

He publicado nuevos ejercicios de 1º Contabilidad Financiera II: Supuesto-2.pdf

2 páginas

He publicado nuevos ejercicios de 1º Contabilidad Financiera II: Supuesto-1.pdf

2 páginas
Anónimo

@Anónimo

He publicado nuevos apuntes de 1º Contabilidad Financiera II: temario-contabilidad-ii-PARTE-2.pdf

98 páginas

He publicado nuevos apuntes de 1º Contabilidad Financiera II: EJEMPLOS-CONTABILIDAD-II-TEMA-4.pdf

3 páginas

He publicado nuevos apuntes de 1º Contabilidad Financiera II: TEMAS-5-AL-10-CONTA-2.pdf

25 páginas

He publicado nuevos apuntes de 1º Contabilidad Financiera II: EJEMPLOS-CONTABILIDAD-II-TEMA-3.pdf

5 páginas
Anónimo

@Anónimo

He publicado nuevos apuntes de 1º Contabilidad Financiera II: PLAN-GENERAL-CONTABLE.pdf

270 páginas

apuntes

-

Temas 4-6 CONTA II

He publicado nuevos apuntes de 1º Contabilidad Financiera II: Temas 4-6 CONTA II

T.4-Conta-II.pdf
T.5-Conta-II.pdf
T.6-Conta-II.pdf

He publicado nuevos apuntes de 1º Contabilidad Financiera II: EJEMPLOS-CONTABILIDAD-II-TEMA-2.pdf

6 páginas
Anónimo

@Anónimo

He publicado nuevos apuntes de 1º Contabilidad Financiera II: temario-contabilidad-ii.pdf

105 páginas

apuntes

-

Temas 1-3 CONTA II

He publicado nuevos apuntes de 1º Contabilidad Financiera II: Temas 1-3 CONTA II

T.1-Conta-II-Apuntes.pdf
T.2-conta-II-apuntes.pdf
T.3-Conta-II-apuntes.pdf

He publicado nuevos apuntes de 1º Contabilidad Financiera II: Tema-7.-Conta-II.pdf

8 páginas

He publicado nuevos apuntes de 1º Contabilidad Financiera II: Tema-8.-Conta-II.pdf

3 páginas

He publicado nuevos apuntes de 1º Contabilidad Financiera II: Tema-6.-Conta-II.pdf

8 páginas

He publicado nuevos apuntes de 1º Contabilidad Financiera II: Tema-4.-Conta.pdf

8 páginas

He publicado nuevos apuntes de 1º Contabilidad Financiera II: Tema-5.-Conta.pdf

6 páginas

He publicado nuevos apuntes de 1º Contabilidad Financiera II: Tema-3.-Conta..pdf

9 páginas

He publicado nuevos apuntes de 1º Contabilidad Financiera II: Tema-1-El-marco-normativo-de-la-contabilidad-en-Espana.pdf

10 páginas

apuntes

-

SUPUESTO 9

He publicado nuevos apuntes de 1º Contabilidad Financiera II: SUPUESTO 9

SUPUESTO-91.pdf
SUPUESTO-9.pdf

apuntes

-

EJERCICIOS T9

He publicado nuevos apuntes de 1º Contabilidad Financiera II: EJERCICIOS T9

9.1.pdf
9.3.pdf

apuntes

-

EJERCICIOS T7

EJERCICIOS

7.1.pdf
7.2.pdf
7.4.pdf

apuntes

-

EJERCICIOS T5

He publicado nuevos apuntes de 1º Contabilidad Financiera II: EJERCICIOS T5

5.1.pdf
5.3.pdf
5.5.pdf
5.6.pdf

apuntes

-

EJERCICIOS T4

He publicado nuevos apuntes de 1º Contabilidad Financiera II: EJERCICIOS T4

4.1-2.pdf
4.1.pdf
4.2.pdf
4.3.pdf

apuntes

-

EJERCICIOS T3

He publicado nuevos apuntes de 1º Contabilidad Financiera II: EJERCICIOS T3

3.1.pdf
3.2..pdf
3.6.pdf
Anónimo

@Anónimo

apuntes

-

EJERCICIOS T2

He publicado nuevos apuntes de 1º Contabilidad Financiera II: EJERCICIOS T2

2.6.pdf
2.22.3.pdf
2.42.5.pdf

He publicado nuevos apuntes de 1º Contabilidad Financiera II: Resumen asientos Contabilidad II (temas 2 a 9).pdf

21 páginas

He publicado nuevos apuntes de 1º Contabilidad Financiera II: ENTIENDE-EL-TEMA-6-CON-ESTO.pdf

4 páginas

ejercicios

-

SUPUESTOS completos CONTA II (T.6-9)

He publicado nuevos ejercicios de 1º Contabilidad Financiera II: SUPUESTOS completos CONTA II (T.6-9)

Supuestos-del-T.6.pdf
Supuestos-del-T.7.pdf
Supuesto-del-T.8.pdf
Supuestos-del-T.9.pdf

He publicado nuevos ejercicios de 1º Contabilidad Financiera II: Contabilidad-II.-Actividades.pdf

53 páginas