chevron_left
chevron_right
Todo
Apuntes
Ejercicios
Exámenes
Prácticas
chevron_left
chevron_right
Anónimo

@Anónimo

apuntes

-

Casos 1er parcial

He publicado nuevos apuntes de 1º Contabilidad Financiera II: Casos 1er parcial

Caso-2.pdf
Caso-3.pdf
Caso-4.pdf

Caso 1 resuelto

4 páginas

He publicado nuevos apuntes de 1º Contabilidad Financiera II: T1-CONTA-II.docx

word

He publicado nuevos apuntes de 1º Contabilidad Financiera II: T5-CONTA-II.docx

word

He publicado nuevos apuntes de 1º Contabilidad Financiera II: T4-CONTA-II.docx

word

He publicado nuevos apuntes de 1º Contabilidad Financiera II: T3-CONTA-II.docx

word

He publicado nuevos apuntes de 1º Contabilidad Financiera II: T2-CONTA-II.docx

word

He publicado nuevos examenes de 1º Contabilidad Financiera II: TEORIA.pdf

4 páginas

He publicado nuevos examenes de 1º Contabilidad Financiera II: exxaamen.pdf

6 páginas

ejercicios

-

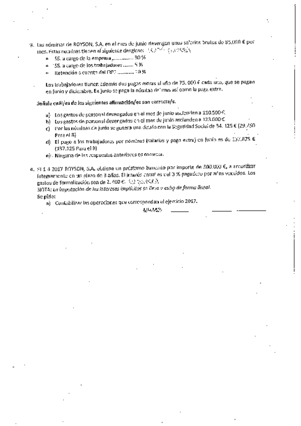
Ejer 6.6 AF a Coste Amortizado RESUELTO

He publicado nuevos ejercicios de 1º Contabilidad Financiera II: Ejer 6.6 AF a Coste Amortizado RESUELTO

Miniatura no disponible
IMG1444.HEIC
Miniatura no disponible
IMG1445.HEIC

ejercicios

-

Ejemplo 5.5 RESUELTO

He publicado nuevos ejercicios de 1º Contabilidad Financiera II: Ejemplo 5.5 RESUELTO

Miniatura no disponible
IMG1442.HEIC
Miniatura no disponible
IMG1443.HEIC

He publicado nuevos ejercicios de 1º Contabilidad Financiera II: Ejercicios-resueltos-apuntes-CONTA.pdf

17 páginas

ejercicios

-

SOLUCIÓN SUPUESTOS

He publicado nuevos ejercicios de 1º Contabilidad Financiera II: SOLUCIÓN SUPUESTOS

Solucion-supuesto-2.pdf
Solucion-Supuesto-11-20-21.pdf
Supuesto-4-20-21-1.pdf

He publicado nuevos examenes de 1º Contabilidad Financiera II: Examen-parcial-Temas-1-a-4.pdf

4 páginas

He publicado nuevos examenes de 1º Contabilidad Financiera II: examen-parcial-tema-1-4.pdf

4 páginas

He publicado nuevos examenes de 1º Contabilidad Financiera II: Examen-Continua-220321-solucionado.pdf

12 páginas

ejercicios

-

VARIOS EJEMPLOS

He publicado nuevos ejercicios de 1º Contabilidad Financiera II: VARIOS EJEMPLOS

EJEMPLOS-T8.pdf
EJEMPLOS-T5.pdf
EJEMPLOS-T7.pdf
EJEMPLOS-T9.pdf
EJEMPLOS-CLASE.pdf

practicas

-

PRACTICAS CLASE RESUELTAS

He publicado nuevos practicas de 1º Contabilidad Financiera II: PRACTICAS CLASE RESUELTAS

EJEMPLOS-T7.pdf
EJEMPLOS-T8.pdf
EJEMPLOS-T5.pdf
EJEMPLOS-T9.pdf
EJEMPLOS-CLASE.pdf

practicas

-

PRACTICAS RESUELTAS

He publicado nuevos practicas de 1º Contabilidad Financiera II: PRACTICAS RESUELTAS

EJEMPLOS-T5.pdf
EJEMPLOS-T8.pdf
EJEMPLOS-T9.pdf
EJEMPLOS-CLASE.pdf
EJEMPLOS-T7.pdf

practicas

-

EJERCICIOS TODOS LOS TEMAS

He publicado nuevos practicas de 1º Contabilidad Financiera II: EJERCICIOS TODOS LOS TEMAS

EJEMPLOS-T7.pdf
EJEMPLOS-T5.pdf
EJEMPLOS-T8.pdf
EJEMPLOS-T9.pdf
EJEMPLOS-CLASE.pdf

ejercicios

-

SOLUCION VARIOS EJEMPLOS

He publicado nuevos ejercicios de 1º Contabilidad Financiera II: SOLUCION VARIOS EJEMPLOS

EJEMPLOS-T9.pdf
EJEMPLOS-T8.pdf
EJEMPLOS-CLASE.pdf
EJEMPLOS-T7.pdf
EJEMPLOS-T5.pdf

practicas

-

EJEMPLOS TODOS LOS TEMAS

He publicado nuevos practicas de 1º Contabilidad Financiera II: EJEMPLOS TODOS LOS TEMAS

EJEMPLOS-T5.pdf
EJEMPLOS-T9.pdf
EJEMPLOS-T8.pdf
EJEMPLOS-T7.pdf
EJEMPLOS-CLASE.pdf

apuntes

-

EJEMPLOS CLASE Y TEMAS

He publicado nuevos apuntes de 1º Contabilidad Financiera II: EJEMPLOS CLASE Y TEMAS

EJEMPLOS-T9.pdf
EJEMPLOS-T7.pdf
EJEMPLOS-T5.pdf
EJEMPLOS-T8.pdf
EJEMPLOS-CLASE.pdf

apuntes

-

Preguntas test examenes

He publicado nuevos apuntes de 1º Contabilidad Financiera II: Preguntas test examenes

Tema-3-test.pdf
Tema-2-test.pdf
Tema-1-test.pdf
Tema-4-test.pdf
Tema-5-test.pdf

apuntes

-

Resumenes temas

He publicado nuevos apuntes de 1º Contabilidad Financiera II: Resumenes temas

Resumen-tema-1.pdf
Resumen-tema-2.pdf

apuntes

-

Resúmenes de la Asignatura

He publicado nuevos apuntes de 1º Contabilidad Financiera II: Resúmenes de la Asignatura

Tema-1-Actividad-economica-e-informacion-contable.pdf
Tema-7-Otros-activos-financieros.pdf
Tema-2-Metodo-contable-cuentas-y-partida-doble.pdf
Tema-3-Ciclo-contable.pdf
Tema-8-Patrimonio-neto-y-resultados.pdf
Tema-6-El-inmovilizado-tecnico.pdf
¡Estás al día!

¡Estás al día!

Has visto todos los archivos