Continuum mechanics

chevron_left
chevron_right
Todo
Apuntes
Ejercicios
Exámenes
chevron_left
chevron_right

He publicado nuevos apuntes de 2º Continuum mechanics: THEORY-NOTES-MMC.pdf

31 páginas
Anónimo

@Anónimo

He publicado nuevos ejercicios de 2º Continuum mechanics: EXAM-EXERCICES-CHAPTER-5.pdf

2 páginas
Anónimo

@Anónimo

He publicado nuevos ejercicios de 2º Continuum mechanics: EXAM-EXERCICES-CHAPTER-4.pdf

2 páginas

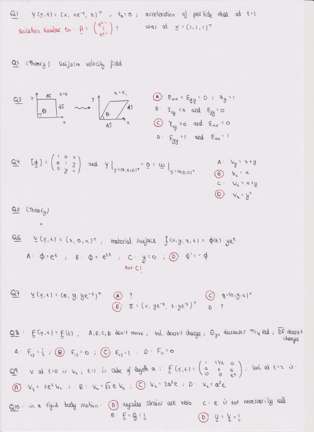
He publicado nuevos examenes de 2º Continuum mechanics: Exam 1 Solutions.png

Imagen

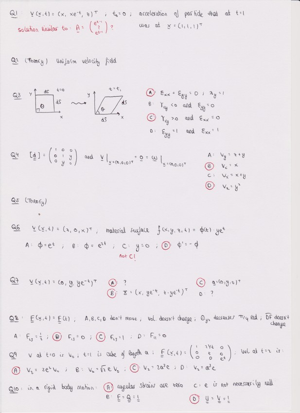
He publicado nuevos apuntes de 2º Continuum mechanics: Exam 1 Solutions.png

Imagen

He publicado nuevos apuntes de 2º Continuum mechanics: Summary all Units of Mechanics (MMC).pdf

16 páginas
¡Estás al día!

¡Estás al día!

Has visto todos los archivos