chevron_left
chevron_right
Todo
Apuntes
Ejercicios
Exámenes
Prácticas
chevron_left
chevron_right

He publicado nuevos apuntes de 2º Control Automático y de Procesos: APUNTESfucaa2.pdf

38 páginas

He publicado nuevos apuntes de 2º Control Automático y de Procesos: ApuntesFUCA1.pdf

20 páginas

apuntes

-

TEMAS RESUMIDOS CONTROL

He publicado nuevos apuntes de 2º Control Automático y de Procesos: TEMAS RESUMIDOS CONTROL

SIMULINK--MATLAB.pdf
T1-INTRODUCCION.pdf
T2-REPRESENTACION-Y-MODELADO-SISTEMAS-DINAMICOS.pdf
T3-REPRESENTACION-SISTEMAS-LINEALES.pdf
T4-ANALISIS-DE-RESPUESTA-TEMPORAL-DE-S-LINEALES.pdf
T5-SISTEMAS-DE-CONTROL-POR-RETROALIMENTACION.pdf

examenes

-

EXAMENES RESUELTOS

He publicado nuevos examenes de 2º Control Automático y de Procesos: EXAMENES RESUELTOS

1o-CONVO-2022.pdf
1o-CONVO-2023.pdf
1o-CONVO-2024.pdf
2o-CONVO-2023.pdf
3o-CONVO-2022.pdf

ejercicios

-

EJERCICIOS PROFESOR RESUELTOS

He publicado nuevos ejercicios de 2º Control Automático y de Procesos: EJERCICIOS PROFESOR RESUELTOS

TEMA-1-2-EJERCICIOS.pdf
TEMA-3-EJERCICIOS.pdf
TEMA-4-EJERCICIOS.pdf
TEMA-5-EJERCICIOS.pdf
TEMA-7-EJERCICIOS.pdf

He publicado nuevos apuntes de 2º Control Automático y de Procesos: RespuestaFrecuencialcopia1.pdf

5 páginas

He publicado nuevos apuntes de 2º Control Automático y de Procesos: ExamenEnero2025copia1.pdf

5 páginas

He publicado nuevos apuntes de 2º Control Automático y de Procesos: ApuntesPractica6copia1.pdf

4 páginas

He publicado nuevos apuntes de 2º Control Automático y de Procesos: FormularioLinealizacioncopia1.pdf

5 páginas

apuntes

-

Control completo clases

He publicado nuevos apuntes de 2º Control Automático y de Procesos: Control completo clases

Tema-6.pdf
Tema-4.pdf
Tema-5.pdf
Tema-2.pdf
Tema-3.pdf
Anónimo

@Anónimo

examenes

-

EXAMENES_RESUELTOS

He publicado nuevos examenes de 2º Control Automático y de Procesos: EXAMENES_RESUELTOS

1a-conv-GIOI-CAP-SOLUCION1.pdf
1a-conv-GIOI-CAP-SOLUCION.pdf
2a-conv-GIOI-CAP-SOLUCION.pdf
3a-conv-GIOI-CAP-SOLUCION.pdf
3a-conv-GIOI-CAP-SOLUCION.pdf
SOL-1a-conv-GIOI-CAP.pdf

apuntes

-

PRÁCTICAS

He publicado nuevos apuntes de 2º Control Automático y de Procesos: PRÁCTICAS

Practica-4.pdf
Ej1P2.pdf
Practica-3.pdf
Practica-5.pdf

apuntes

-

APUNTES DE CLASE 23-24

He publicado nuevos apuntes de 2º Control Automático y de Procesos: APUNTES DE CLASE 23-24

CLASE-1.pdf

He publicado nuevos apuntes de 2º Control Automático y de Procesos: Tema-2-apuntes-de-clase.pdf

12 páginas

En el folio 6. 2o orden PID. Los parámetros de diseño de Td y Ti están cambiados. Td es Ti y al revés.

27 páginas
Anónimo

@Anónimo

apuntes

-

TODOS LOS EXAMENES RESUELTOS

He publicado nuevos apuntes de 2º Control Automático y de Procesos: TODOS LOS EXAMENES RESUELTOS

Tema-2.pdf
Tema-5.pdf
Tema-4.pdf
Tema-1.pdf
Tema-3.pdf

He publicado nuevos apuntes de 2º Control Automático y de Procesos: Control-Automatico-Y-De-Procesos-Tema-6.pdf

10 páginas

He publicado nuevos apuntes de 2º Control Automático y de Procesos: Control-Automatico-Y-De-Procesos-Tema-5.pdf

24 páginas

He publicado nuevos apuntes de 2º Control Automático y de Procesos: Control-Automatico-Y-De-Procesos-Tema-5.pdf

30 páginas

He publicado nuevos apuntes de 2º Control Automático y de Procesos: Control-Automatico-Y-De-Procesos-Tema-4.pdf

11 páginas

He publicado nuevos apuntes de 2º Control Automático y de Procesos: Control-Automatico-Y-De-Procesos-Tema-3.pdf

24 páginas

He publicado nuevos apuntes de 2º Control Automático y de Procesos: Control-Automatico-Y-De-Procesos-Tema-2.pdf

20 páginas

He publicado nuevos apuntes de 2º Control Automático y de Procesos: Control-Automatico-Y-De-Procesos-Tema-1.pdf

4 páginas

apuntes

-

Apuntes y problemas

He publicado nuevos apuntes de 2º Control Automático y de Procesos: Apuntes y problemas

Teoria-resumida-control.pdf
Apuntes-y-problemas-Control.pdf
Examenes-resueltos-control.pdf

He publicado nuevos apuntes de 2º Control Automático y de Procesos: tema-6-7.pdf

18 páginas

He publicado nuevos apuntes de 2º Control Automático y de Procesos: Tema-5.pdf

30 páginas

He publicado nuevos apuntes de 2º Control Automático y de Procesos: Tema-5.pdf

30 páginas

He publicado nuevos apuntes de 2º Control Automático y de Procesos: Tema-5.pdf

33 páginas

He publicado nuevos apuntes de 2º Control Automático y de Procesos: Tema-4-Control.pdf

12 páginas

He publicado nuevos apuntes de 2º Control Automático y de Procesos: Tema-3-Control.pdf

23 páginas

examenes

-

Exámenes-Problemas-Control Automático

He publicado nuevos examenes de 2º Control Automático y de Procesos: Exámenes-Problemas-Control Automático

ExDicsol2014.pdf
Problemas-Tema-3.pdf
Exdic2015.pdf
ExSep2014sol1.pdf
ColProbTemas4y5.pdf
ExJul2014sol1.pdf

He publicado nuevos apuntes de 2º Control Automático y de Procesos: Tema-2-Control.pdf

20 páginas

He publicado nuevos apuntes de 2º Control Automático y de Procesos: Tema-1-Control-Introduccion.pdf

2 páginas

He publicado nuevos examenes de 2º Control Automático y de Procesos: COLECCION-DE-EXAMENES.pdf

73 páginas

He publicado nuevos apuntes de 2º Control Automático y de Procesos: CONTROL.pdf

145 páginas

He publicado nuevos apuntes de 2º Control Automático y de Procesos: Temas 1-5

127 páginas

He publicado nuevos apuntes de 2º Control Automático y de Procesos: AUTOMATIZACIAN-ej-Cajafrutas.pdf

1 página

He publicado nuevos apuntes de 2º Control Automático y de Procesos: EJEMPLOS-TIPO-EXAMEN-LUGAR-DE-RAICES.pdf

3 páginas

apuntes

-

EXÁMENES RESU

He publicado nuevos apuntes de 2º Control Automático y de Procesos: EXÁMENES RESU

SOLUCION-EXAMEN-JUNIO2019.pdf
SOLUCION-EXAMEN-2CONV-SEP2019.pdf
SOLUCION-EXAMEN-3-CONV-SEP2019.pdf
SOLUCION-EXAMEN-JUNIO2018.pdf
SOLUCION-EXAMEN-SEP2018.pdf
Anónimo

@Anónimo

He publicado nuevos apuntes de 2º Control Automático y de Procesos: Examenes-resueltos-Control.pdf

23 páginas

He publicado nuevos examenes de 2º Control Automático y de Procesos: Ejercicios-resueltos-examenes.pdf

27 páginas

He publicado nuevos apuntes de 2º Control Automático y de Procesos: bloque-4Lugar-de-las-raices.pdf

14 páginas

He publicado nuevos apuntes de 2º Control Automático y de Procesos: bloque-3diseno-analitico-controladores.pdf

10 páginas

He publicado nuevos apuntes de 2º Control Automático y de Procesos: bloque-2-analisis-de-la-respuesta-transitoria.pdf

14 páginas

He publicado nuevos apuntes de 2º Control Automático y de Procesos: Bloque-1--teoria-de-sistemas-.pdf

21 páginas

He publicado nuevos apuntes de 2º Control Automático y de Procesos: new-doc-2020-03-11-17.pdf

12 páginas
Anónimo

@Anónimo

He publicado nuevos apuntes de 2º Control Automático y de Procesos: t6control.pdf

1 página
Anónimo

@Anónimo

apuntes

-

Temario Completo

He publicado nuevos apuntes de 2º Control Automático y de Procesos: Temario Completo

CAPTema04.pdf
CAPTema06.pdf
CAPTema051.pdf
CAPTema02.pdf
CAPTema011.pdf
CAPTema032.pdf
Anónimo

@Anónimo

ejercicios

-

Ejercicios

He publicado nuevos ejercicios de 2º Control Automático y de Procesos: Ejercicios

CuestionLugarRaicesResuelta.pdf
Problemastemas45.pdf
ProblemasTema03clase-1.pdf
ProblemasTema03clase.pdf
Problemas-Tema-3.pdf
ColProbTemas7y8Def.pdf
Anónimo

@Anónimo

apuntes

-

Transformada de Laplace

He publicado nuevos apuntes de 2º Control Automático y de Procesos: Transformada de Laplace

tablaslaplace.pdf
Transformada-de-Laplace.pdf
transformada-de-laplace.docx
propiedades-de-la-transformada-de-laplace.docx
formulario-laplace.pdf

apuntes

-

TEORIA PARA EXAMEN Y FORMULAS

He publicado nuevos apuntes de 2º Control Automático y de Procesos: TEORIA PARA EXAMEN Y FORMULAS

Tema-1-Control.pdf
Tema-4-Control.pdf
Tema-5-Control.pdf
Tema-3-Control.pdf
Tema-2-Control.pdf

apuntes

-

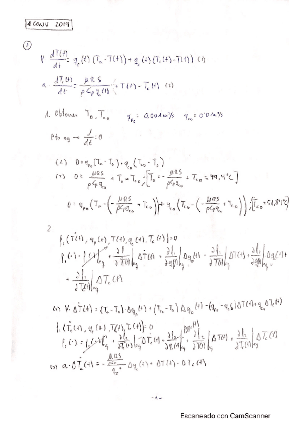
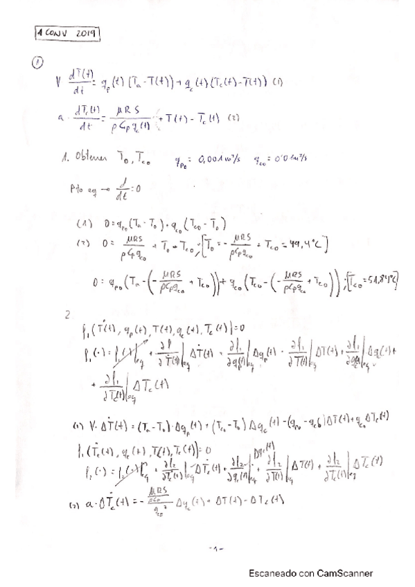
final junio 2019 enunciado y solución

He publicado nuevos apuntes de 2º Control Automático y de Procesos: final junio 2019 enunciado y solución

IMG20190706102812.jpg
IMG20190706102755.jpg
Ex1C2019SOLUCION.pdf
IMG20190706102712.jpg
IMG20190706102727.jpg

He publicado nuevos examenes de 2º Control Automático y de Procesos: abril2017.pdf

6 páginas

He publicado nuevos examenes de 2º Control Automático y de Procesos: ilovepdfmerged.pdf

5 páginas

He publicado nuevos ejercicios de 2º Control Automático y de Procesos: Problemas tema 3.pdf

3 páginas

He publicado nuevos ejercicios de 2º Control Automático y de Procesos: Ejercicios tema 2.pdf

4 páginas

He publicado nuevos examenes de 2º Control Automático y de Procesos: Examen junio 2019 .pdf

6 páginas

He publicado nuevos ejercicios de 2º Control Automático y de Procesos: Ejercicios resueltos.pdf

8 páginas

He publicado nuevos apuntes de 2º Control Automático y de Procesos: Tema 6.pdf

2 páginas

He publicado nuevos apuntes de 2º Control Automático y de Procesos: Tema 5 (II).pdf

3 páginas