Todo
Apuntes
Ejercicios
Exámenes
Otros
Prácticas
Test
chevron_left
chevron_right

Recopilación y explicación de las funciones principales para trabajar en la terminal de linux para la asignatura de cuarto curso de Control y Comunicación de Procesos.

4 páginas

apuntes

-

Formularios

He publicado nuevos apuntes de 1º Control de Procesos: Formularios

Control-de-Procesos-Resumen-ejercicios-Tipo-Parcial-1.pdf
Resumen-Control-de-Procesos-2-Parcial.pdf

Resumen del primer tema de la asignatura de cuarto curso Control de Procesos para el grado en ingeniería electrónica industrial y automática

6 páginas

He publicado nuevos apuntes de 1º Control de Procesos: APUNTES-COMPLETOS.pdf

43 páginas

He publicado nuevos apuntes de 1º Control de Procesos: RESUMEN-2-PARCIAL.pdf

2 páginas

He publicado nuevos apuntes de 1º Control de Procesos: RESUMEN-PARA-FINAL.pdf

10 páginas

Suficientes ejercicios como para obtener un 10 en este parcial.

16 páginas

He publicado nuevos apuntes de 1º Control de Procesos: Ordinario-Mayo-2025-1a-Parte.pdf

2 páginas

Notas 2º Cuatrimestre

excel

He publicado nuevos examenes de 1º Control de Procesos: G4-Parcial-1-2025.pdf

1 página

examenes

-

Parciales 1 - Resueltos por pasos

He publicado nuevos examenes de 1º Control de Procesos: Parciales 1 - Resueltos por pasos

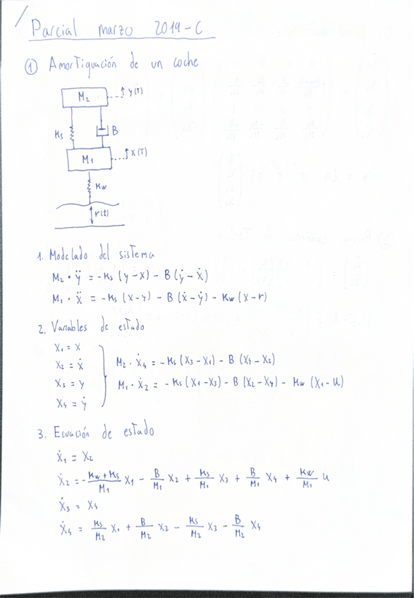
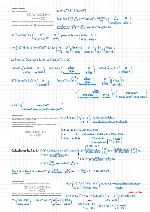
Parcial-marzo-2019-C.pdf
Parcial-marzo-2018.pdf
Parcial-marzo-2019-B.pdf
Parcial-Marzo-2025-G3.pdf
Parcial-marzo-2025-G1.pdf

He publicado nuevos ejercicios de 1º Control de Procesos: Ejercicios-Repaso-1er-Parcial.pdf

3 páginas

He publicado nuevos apuntes de 1º Control de Procesos: PARCIAL-2-2024.pdf

1 página

He publicado nuevos apuntes de 1º Control de Procesos: PARCIAL-1-2024.pdf

1 página

He publicado nuevos examenes de 1º Control de Procesos: CdPejercicios-tipoparcial1.pdf

8 páginas

He publicado nuevos apuntes de 9º Control de Procesos: Derivation-of-the-Routh-array.pdf

11 páginas
Anónimo

@Anónimo

He publicado nuevos ejercicios de 1º Control de Procesos: Problemas-de-modelado-RESUELTOS.pdf

8 páginas

He publicado nuevos ejercicios de 4º Control de Procesos: ProblemaAcH.pdf

2 páginas

He publicado nuevos ejercicios de 4º Control de Procesos: PROCESO-METANOL.pdf

2 páginas

He publicado nuevos ejercicios de 4º Control de Procesos: alquilacionautorrefrigerado.pdf

2 páginas

He publicado nuevos ejercicios de 4º Control de Procesos: ProblemaNH3.pdf

2 páginas

He publicado nuevos ejercicios de 4º Control de Procesos: ProblemaEstireno.pdf

2 páginas

He publicado nuevos apuntes de 4º Control de Procesos: ProblemaEteretilico.pdf

2 páginas

He publicado nuevos ejercicios de 4º Control de Procesos: problemacumeno.pdf

1 página

He publicado nuevos ejercicios de 4º Control de Procesos: metilacetato.pdf

Miniatura no disponible
2 páginas

He publicado nuevos ejercicios de 4º Control de Procesos: FabricacionMTBE.pdf

2 páginas

He publicado nuevos ejercicios de 4º Control de Procesos: biodiesel.pdf

Miniatura no disponible
3 páginas

He publicado nuevos ejercicios de 4º Control de Procesos: 1ProblemaMEK.pdf

2 páginas

He publicado nuevos ejercicios de 4º Control de Procesos: acetonajunio2012.pdf

2 páginas

He publicado nuevos test de 4º Control de Procesos: TEST-CLASE-.pdf

12 páginas

He publicado nuevos ejercicios de 1º Control de Procesos: Ejercicios-bloque-2-Espacio-de-estado.pdf

5 páginas

He publicado nuevos ejercicios de 1º Control de Procesos: Ejercicios-bloque-1-Funciones-de-transferencia.pdf

15 páginas

He publicado nuevos apuntes de 4º Control de Procesos: GIQ-4-Control-de-Procesos-AMMcompressed.pdf

284 páginas

He publicado nuevos apuntes de 9º Control de Procesos: Notas-parcial-1.pdf

24 páginas

He publicado nuevos otros de 9º Control de Procesos: Lectura-1.pdf

Miniatura no disponible
8 páginas

He publicado nuevos otros de 9º Control de Procesos: ChemicalProcessControlAnIntroduction.pdf

376 páginas

He publicado nuevos apuntes de 1º Control de Procesos: Resumen-Esquematizado-CP.pdf

10 páginas

He publicado nuevos examenes de 1º Control de Procesos: Examen-Ordinario-Mayo-2024.pdf

2 páginas

He publicado nuevos practicas de 1º Control de Procesos: Practica-control.pdf

20 páginas

He publicado nuevos examenes de 1º Control de Procesos: Parcial-marzo-2024-Grupo2.pdf

pdf
Anónimo

@Anónimo

He publicado nuevos examenes de 1º Control de Procesos: parcial-marzo-2024-prof-Dolores.pdf

pdf

He publicado nuevos apuntes de 4º Control de Procesos: PEC-2023.pdf

2 páginas

He publicado nuevos apuntes de 4º Control de Procesos: Examen-Enero-2024-Problema.pdf

1 página

He publicado nuevos apuntes de 4º Control de Procesos: Examen-Enero-2024-Teoria.pdf

2 páginas
Anónimo

@Anónimo

He publicado nuevos apuntes de 4º Control de Procesos: EXAMEN-LOOP-PRO.pdf

8 páginas
Anónimo

@Anónimo

He publicado nuevos apuntes de 4º Control de Procesos: Preguntas-Test-Control-de-procesos.pdf

5 páginas
Anónimo

@Anónimo

He publicado nuevos apuntes de 4º Control de Procesos: Examen-tipo-test-control-de-procesos.pdf

3 páginas

He publicado nuevos practicas de 1º Control de Procesos: Practica-1.pdf

10 páginas

He publicado nuevos test de 4º Control de Procesos: test-3-cp-clase.pdf

24 páginas

He publicado nuevos practicas de 1º Control de Procesos: Practica.pdf

13 páginas

apuntes

-

Problemas explicados

He publicado nuevos apuntes de 4º Control de Procesos: Problemas explicados

Problemabiodieselexplicado.pdf
ProblemaAcetatodeViniloexplicado.pdf
Problemaacetonajunio2012explicado.pdf
ProblemaHidrogenacionC2sexplicado.pdf
ProblemaEASTMANexplicado.pdf
ProblemaNMMAexplicado.pdf

He publicado nuevos test de 4º Control de Procesos: test-2-clase-cp.pdf

25 páginas
Anónimo

@Anónimo

apuntes

-

TEST CONTROL POR TEMAS

He publicado nuevos apuntes de 4º Control de Procesos: TEST CONTROL POR TEMAS

REACTORES.pdf
SISTEMAS-DE-CONTROL-Y-METODOLOGIA.pdf

He publicado nuevos ejercicios de 4º Control de Procesos: Ejercicios-de-Clase-Resueltos.pdf

27 páginas

He publicado nuevos apuntes de 4º Control de Procesos: Tema-4.-Sistemas-de-control.pdf

2 páginas

He publicado nuevos apuntes de 4º Control de Procesos: Tema-1.-Introduccion-al-control-de-procesos.pdf

9 páginas
Anónimo

@Anónimo

He publicado nuevos practicas de 4º Control de Procesos

https://github.com/rubenangber/CONTROL-DE-PROCESOS

He publicado nuevos apuntes de 1º Control de Procesos: Apuntes-y-Examener-2o-Parcial.pdf

24 páginas

He publicado nuevos apuntes de 1º Control de Procesos: Apuntes-y-Examenes-1er-Parcial.pdf

20 páginas
Anónimo

@Anónimo

He publicado nuevos apuntes de 1º Control de Procesos: resumen-Parcial-1.pdf

4 páginas