Control de Procesos Industriales

Todo
Apuntes
Ejercicios
Exámenes
Test
chevron_left
chevron_right
Anónimo

@Anónimo

He publicado nuevos ejercicios de 3º Control de Procesos Industriales: Transformada-Z.pdf

4 páginas
Anónimo

@Anónimo

He publicado nuevos ejercicios de 3º Control de Procesos Industriales: Transformada-Z-inversa.pdf

2 páginas
Anónimo

@Anónimo

He publicado nuevos ejercicios de 3º Control de Procesos Industriales: Secuencias.pdf

4 páginas
Anónimo

@Anónimo

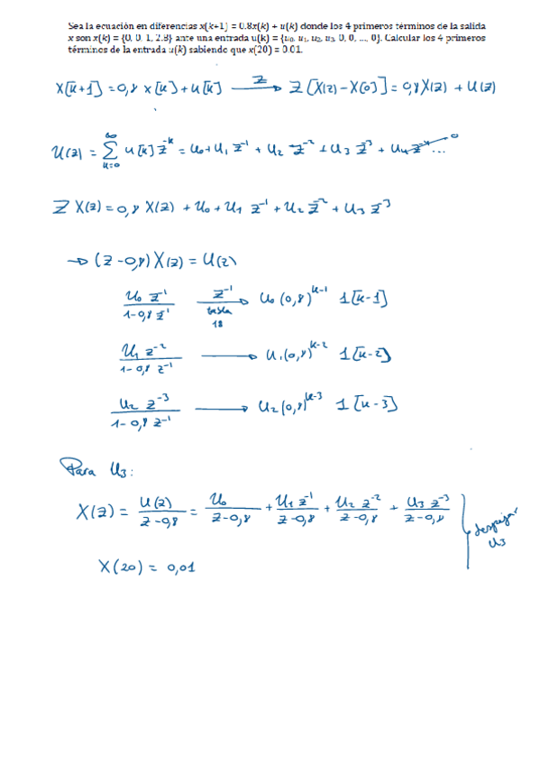
He publicado nuevos ejercicios de 3º Control de Procesos Industriales: Resolucion-de-ecuaciones-en-diferencias.pdf

1 página
Anónimo

@Anónimo

He publicado nuevos ejercicios de 3º Control de Procesos Industriales: ejemplos-tema-4.pdf

6 páginas
Anónimo

@Anónimo

He publicado nuevos apuntes de 3º Control de Procesos Industriales: Tema-4.pdf

5 páginas
Anónimo

@Anónimo

He publicado nuevos apuntes de 3º Control de Procesos Industriales: Tema-3.pdf

8 páginas
Anónimo

@Anónimo

He publicado nuevos apuntes de 3º Control de Procesos Industriales: Tema-2.pdf

9 páginas
Anónimo

@Anónimo

He publicado nuevos apuntes de 3º Control de Procesos Industriales: Tema-1.pdf

3 páginas

TODOS LOS APARTADOS QUE PUEDEN ENTRAR EN LA PARTE DE TEODORO

20 páginas

RESULETO POR EL PROFESOR EN EV

8 páginas

tABLA COMPARATIVA CONTROLES TEMA 5

1 página

He publicado nuevos apuntes de 4º Control de Procesos Industriales: LIMON-TODA-Teoria-CPI-Ordenada.pdf

15 páginas

OJO: Resuelto por la versión de pago de ChatGPT

5 páginas

He publicado nuevos apuntes de 4º Control de Procesos Industriales: LIMON-Esquema-Contenido-Parte-Limon.pdf

1 página

OJO: Resuelto por la versión de pago de ChatGPT

5 páginas

He publicado nuevos examenes de 4º Control de Procesos Industriales: ExamenPrimeraConvocatoriaEnero2025.-pdf.pdf

3 páginas

He publicado nuevos apuntes de 4º Control de Procesos Industriales: LIMON-CPI4ColProbParte1.pdf

1 página

Aquí queda el examen de 2ª Convocatoria 2025 CPI

4 páginas
Anónimo

@Anónimo

He publicado nuevos examenes de 3º Control de Procesos Industriales: examenparcialTema3Sistemasmuestreados-y-estabilidad.pdf

1 página

apuntes

-

proyecto

He publicado nuevos apuntes de 4º Control de Procesos Industriales: proyecto

Miniatura no disponible
arduinolab.slx
Miniatura no disponible
arduinotclab.m
Miniatura no disponible
comprobacionmodeloPRBS.m
Miniatura no disponible
ControlAnti.slx
Miniatura no disponible
ControlAnti.slxc
Miniatura no disponible
ControlSelect.slx

apuntes

-

Lección 7

He publicado nuevos apuntes de 4º Control de Procesos Industriales: Lección 7

Miniatura no disponible
Apartado1.slx
Miniatura no disponible
Apartado2.slx
Miniatura no disponible
Apartado3.slx
Miniatura no disponible
Apartado4.slx
Miniatura no disponible
Apartado5.slx
Miniatura no disponible
Apartado6.slx

apuntes

-

Lección 6

He publicado nuevos apuntes de 4º Control de Procesos Industriales: Lección 6

CasosPracticosLeccion61.pdf
CasosPracticosLeccion6JFTM.pdf
CPI4L6EjemploClase.pdf
CPI4L6-ControlDescentralizado.pdf
CPI4L6-Desacoplo.pdf
Miniatura no disponible
leccion6JFTM.m

apuntes

-

Lección 5

He publicado nuevos apuntes de 4º Control de Procesos Industriales: Lección 5

CasosPracticosLeccion5.pdf
CasosPracticosLeccion5JFTM.pdf
Miniatura no disponible
CPI4L5ModeloCasoEstudio1.slx
Miniatura no disponible
IdentLSE.p
Miniatura no disponible
leccion5.m
Miniatura no disponible
ModeloCSTR20212.slx

apuntes

-

Lección 4

He publicado nuevos apuntes de 4º Control de Procesos Industriales: Lección 4

CasosPracticosLeccion4.pdf
Miniatura no disponible
EjemploPID.slx
Miniatura no disponible
EjemploPID2.slx
LECCION4JFT.pdf
Miniatura no disponible
leccion4.m
Miniatura no disponible
leccion42.m

apuntes

-

Lección 3

He publicado nuevos apuntes de 4º Control de Procesos Industriales: Lección 3

Casos-Practicos-Leccion-3.pdf
CasosPracticosLeccion3.pdf
Miniatura no disponible
Chirp.slx
Miniatura no disponible
dryerdata.m
Miniatura no disponible
Ejemplo1.m
Miniatura no disponible
Ejemplo2.m

apuntes

-

Lección 2

He publicado nuevos apuntes de 4º Control de Procesos Industriales: Lección 2

Miniatura no disponible
Apartado11.m
Miniatura no disponible
Apartado12.m
Miniatura no disponible
Apartado13.m
Miniatura no disponible
Apartado14.m
Miniatura no disponible
Apartado15.m
Casos-Practicos-Leccion-2.pdf