chevron_left
chevron_right
Todo
Apuntes
Exámenes
chevron_left
chevron_right

examenes

-

Exámenes LABORATORIO robots

He publicado nuevos examenes de 3º Control y Programación de Robots: Exámenes LABORATORIO robots

PruebaLabCPR130221.pdf
PruebaLabCPR300620.pdf

examenes

-

Exámenes FINALES

He publicado nuevos examenes de 3º Control y Programación de Robots: Exámenes FINALES

ExamenCPREnero20.pdf
ExamenCPREnero21.pdf

examenes

-

Exámenes PARCIALES 2021-2022

He publicado nuevos examenes de 3º Control y Programación de Robots: Exámenes PARCIALES 2021-2022

Prueba1.pdf
Prueba2.pdf

He publicado nuevos apuntes de 3º Control y Programación de Robots: Estudio-de-la-pinza.pdf

2 páginas

He publicado nuevos apuntes de 3º Control y Programación de Robots: PCDMunecaEuler.pdf

3 páginas

He publicado nuevos apuntes de 3º Control y Programación de Robots: EstaticaBrazoStanford.pdf

7 páginas

He publicado nuevos apuntes de 3º Control y Programación de Robots: PCIBrazoStandorf-Sin-muneca.pdf

1 página

He publicado nuevos apuntes de 3º Control y Programación de Robots: PCDBrazoStanford.pdf

3 páginas

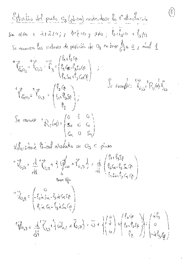
He publicado nuevos apuntes de 3º Control y Programación de Robots: RobotStanford-Cinematica.pdf

6 páginas

He publicado nuevos apuntes de 3º Control y Programación de Robots: PuntosSingularesStanford.pdf

2 páginas

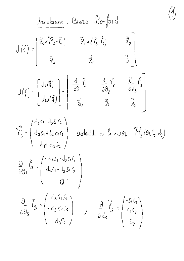
He publicado nuevos apuntes de 3º Control y Programación de Robots: JacobianoStanford.pdf

2 páginas

He publicado nuevos apuntes de 3º Control y Programación de Robots: PCIRobotStanford-Con-muneca.pdf

5 páginas

He publicado nuevos apuntes de 3º Control y Programación de Robots: PCDRobotStanford.pdf

5 páginas

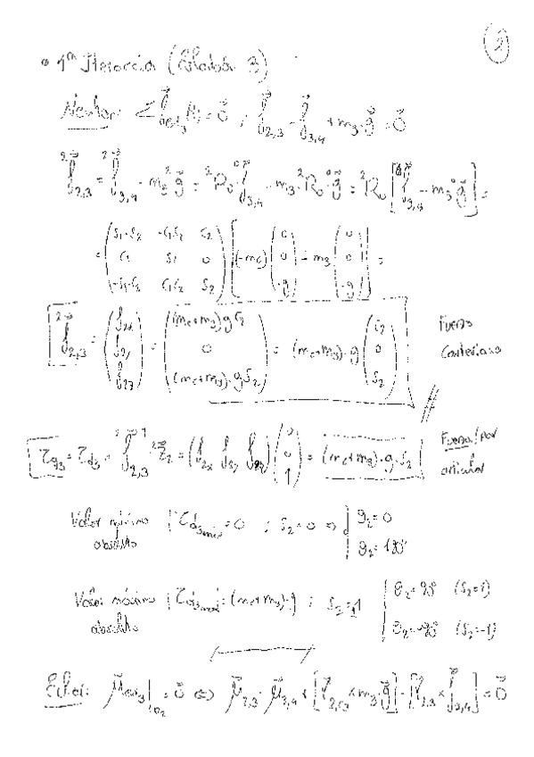
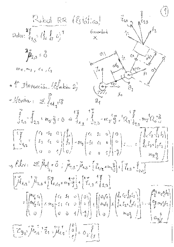
He publicado nuevos apuntes de 3º Control y Programación de Robots: EstaticaRobotRR.pdf

4 páginas

He publicado nuevos apuntes de 3º Control y Programación de Robots: DinamicaRobotRR.pdf

12 páginas
¡Estás al día!

¡Estás al día!

Has visto todos los archivos