COOPERACIÓN AL DESARROLLO

chevron_left
chevron_right
Todo
Apuntes
chevron_left
chevron_right
Anónimo

@Anónimo

apuntes

-

Exámenes

He publicado nuevos apuntes de 4º COOPERACIÓN AL DESARROLLO: Exámenes

Resumen-Tema3.pdf
problemas-resueltos-t1.pdf
teoriua-accadem-t1.pdf
PROBLEMASTema1.pdf
TEMA-2-resumen.pdf
Anónimo

@Anónimo

apuntes

-

Cooperación

He publicado nuevos apuntes de 4º COOPERACIÓN AL DESARROLLO: Cooperación

7-Examen-Julio-2017-Solucion.pdf
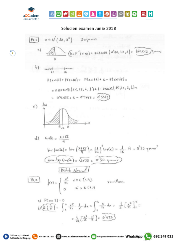
4-Examen-Junio-2018-Solucion.pdf
9-Examen-Julio-2016-Solucion.pdf
5-Examenes-2017.pdf
6-Examen-Junio-2017-Solucion.pdf
8-Examenes-2016.pdf

apuntes

-

temas

He publicado nuevos apuntes de 4º COOPERACIÓN AL DESARROLLO: temas

Economia-47.pdf
Economia-45.pdf
Economia-43.pdf
Economia-49.pdf
Economia-50.pdf
Economia-48.pdf
¡Estás al día!

¡Estás al día!

Has visto todos los archivos