Derecho Administrativo I

Todo
Apuntes
Ejercicios
Exámenes
Prácticas
Test
chevron_left
chevron_right

apuntes

-

Temario Completo Resumido Admin I. (Jose Mª Pérez Monguió)

Con estos apuntes conseguí sacar un 10 en la primera convocatoria de la asignatura. He subido solo lo que entra en el examen.

T3.-ADMINISTRATIVO.pdf
T2.-ADMINISTRATIVO.pdf
T7.-ADMINISTRATIVO.pdf
T4.-ADMINISTRATIVO.pdf
T5.-ADMINISTRATIVO.pdf
T1.-ADMINISTRATIVO.pdf

He publicado nuevos examenes de 2º Derecho Administrativo I: Administrativo-I.pdf

1 página

apuntes

-

Derecho Adminstrativo I 25/26

Apuntes del grupo de tarde

T.1-CONCEPTO-Y-CARACTERES-DE-LA-AP-Y-DEL-DERECHO-ADMINISTRATIVO.docx
T.2-LA-FORMA-DEL-ESTADO.-BASES-CONSTITUCIONALES-DEL-DERECHO-ADMINISTRATIVO.docx
T.3-EL-REGLAMENTO-Y-LAS-FUENTES-SUBORDINADAS-DEL-ORDENAMIENTO.docx
T.4-LA-ORGANIZACION-ADMINISTRATIVA.docx
T.5-EL-GOBIERNO-Y-LA-ADMINISTRACION-GENERAL-DEL-ESTADO.docx
T.7-LAS-ENTIDADES-LOCALES-O-REGIMEN-LOCAL.docx

He publicado nuevos apuntes de 2º Derecho Administrativo I: Derecho-Administrativo-I-Segundo-Parcial.pdf

42 páginas

apuntes

-

parcial 2 derecho administrativo

He publicado nuevos apuntes de 2º Derecho Administrativo I: parcial 2 derecho administrativo

T14-administrativo.pdf
t17-administrativo.pdf
T19-ADMINISTRATIVO.pdf
T21-administrativo.pdf
TEMA-15-y-16-administrativo.pdf
TEMA-18-ADMINISTRATIVO-ASPECTOS-GENERALES-DEL-PROCEDIMIENTO.pdf

practicas

-

Derecho Administrativo I

He publicado nuevos practicas de 2º Derecho Administrativo I: Derecho Administrativo I

Practica-1.-Reglamento.pdf
Practica-5.-Derecho-de-acceso-a-la-informacion-publica.pdf
Practica-2.-Organos-colegiados.pdf
Practica-7.-Procedimiento-administrativo-II.pdf
Practica-4.-Entidades-locales.pdf
Practica-3.-Traslaciones-competenciales.pdf

Derecho Administrativo completo Primer Parcial (temas 1-11)

31 páginas

apuntes

-

derecho administrativo

el tema 8 y 9 en el mismo documento

Dadm-t5.pdf
III-LAS-FUENTES-DEL-DERECHO-ADMINISTRATIVO.pdf
T1-dadm.pdf
T6-d-adm.pdf
T7-adm.pdf
T8-adm.pdf

He publicado nuevos apuntes de 2º Derecho Administrativo I: TEMA-5-EL-GOBIERNO-Y-LA-ADMINISTRACION-GENERAL-DEL-ESTADO.pdf

12 páginas

He publicado nuevos apuntes de 2º Derecho Administrativo I: TEMA-10.pdf

22 páginas

He publicado nuevos practicas de 2º Derecho Administrativo I: PRACTICA-NUM-5.pdf

6 páginas

He publicado nuevos practicas de 2º Derecho Administrativo I: Casos-Practicos-1a-Parte--1-a-4-.pdf

17 páginas

He publicado nuevos apuntes de 2º Derecho Administrativo I: TEMA-16.pdf

7 páginas

He publicado nuevos apuntes de 2º Derecho Administrativo I: TEMA-15.pdf

13 páginas

He publicado nuevos apuntes de 2º Derecho Administrativo I: TEMA-13.pdf

22 páginas

He publicado nuevos apuntes de 2º Derecho Administrativo I: TEMA-14.pdf

21 páginas

He publicado nuevos apuntes de 2º Derecho Administrativo I: TEMA-12.pdf

15 páginas

He publicado nuevos apuntes de 2º Derecho Administrativo I: TEMA-11.pdf

29 páginas

He publicado nuevos apuntes de 2º Derecho Administrativo I: TEMA-9.pdf

14 páginas

He publicado nuevos apuntes de 2º Derecho Administrativo I: TEMA-8.pdf

14 páginas

He publicado nuevos apuntes de 2º Derecho Administrativo I: TEMA-7.pdf

21 páginas

Leyes vistas en las prácticas y que entran en examen

5 páginas

Resumen con las ideas principales que entran en examen

4 páginas

Resumen con las ideas principales que entran en examen

3 páginas

Resumen con las ideas principales que entran en examen

10 páginas

Resumen con las ideas principales que entran en examen

5 páginas

Resumen con las ideas principales que entran en examen

9 páginas

Resumen con las ideas principales que entran en examen

8 páginas

Resumen con las ideas principales que entran en examen

7 páginas

Resumen con las ideas principales que entran en examen

4 páginas

Resumen con las ideas principales que entran en examen

5 páginas

He publicado nuevos apuntes de 2º Derecho Administrativo I: TEMA-16.pdf

7 páginas

He publicado nuevos apuntes de 2º Derecho Administrativo I: TEMA-15.pdf

7 páginas

He publicado nuevos apuntes de 2º Derecho Administrativo I: Esquema-t.5.-La-organizacion-Central.pdf

4 páginas

He publicado nuevos apuntes de 2º Derecho Administrativo I: Esquema-t.5.-Gobierno.pdf

4 páginas

apuntes

-

Administrativo I

He publicado nuevos apuntes de 2º Derecho Administrativo I: Administrativo I

Tema-1-admin-I.pdf
Tema-2-admin-I.pdf
Tema-3-admin-I.pdf
Tema-4-admin-I.pdf
Tema-5-admin-I.pdf
Tema-7-admin-I.pdf

apuntes

-

CASOS PRACTICOS Nº 6 Y 7 Procedimientos Administrativos

APROBADO 2024/25

CASO-PRACTICO-No-7-Procedimiento-2.pdf
CASO-PRACTICO-N-6-Procedimiento-1.pdf

Aprobado

22 páginas

MUY RESUMIDOS!!

15 páginas

MUUUYYY RESUMIDOS!!!

32 páginas

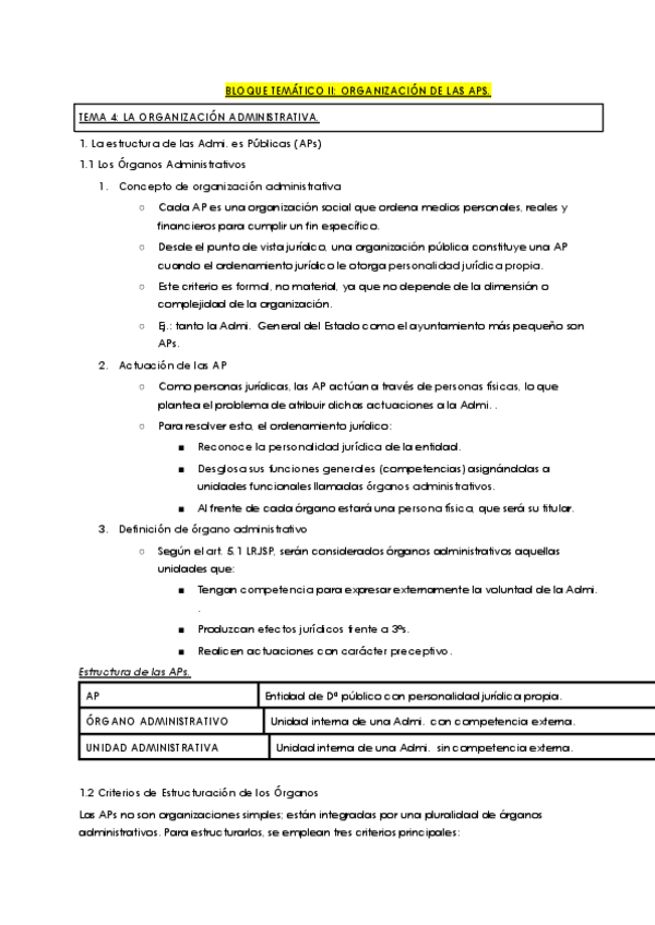
He publicado nuevos apuntes de 2º Derecho Administrativo I: TEMA-4-LA-ORGANIZACION-ADMINISTRATIVA..pdf

16 páginas

He publicado nuevos apuntes de 2º Derecho Administrativo I: TEMA-9-LA-POSICION-JURIDICA-DE-LOS-CIUDADANOS.pdf

16 páginas

He publicado nuevos apuntes de 2º Derecho Administrativo I: TEMA-8-EL-SECTOR-PUBLICO-INSTITUCIONAL-Y-OTRAS-ENTIDADES-DE-Do-PUBLICO..pdf

15 páginas

He publicado nuevos apuntes de 2º Derecho Administrativo I: Tema-1o-Cuestiones-generales-del-procedimiento-administrativo.pdf

21 páginas

He publicado nuevos apuntes de 2º Derecho Administrativo I: TEMA-11-LA-ESTRUCTURA-DEL-PROCEDIMIENTO-ADMINISTRATIVO.pdf

27 páginas

He publicado nuevos apuntes de 2º Derecho Administrativo I: TEMA-12-LA-INACTIVIDAD-DE-LA-Admi..pdf

14 páginas

He publicado nuevos apuntes de 2º Derecho Administrativo I: TEMA-13-CONCEPTO-CLASES-Y-ELEMENTOS-DE-LOS-ACTOS-ADMINISTRATIVOS.-VALIDEZ-DE-LOS-ACTOS-ADMINISTRATIVOS.pdf

20 páginas

He publicado nuevos apuntes de 2º Derecho Administrativo I: Tema-14-La-eficacia-y-la-ejecucion-forzosa-de-los-actos-administrativos.pdf

25 páginas

He publicado nuevos apuntes de 2º Derecho Administrativo I: TEMA-15-LOS-RECURSOS-ADMINISTRATIVOS-GENERALES.pdf

11 páginas

He publicado nuevos apuntes de 2º Derecho Administrativo I: TEMA-16-REVISION-DE-ACTOS-EN-VIA-ADMINISTRATIVA.pdf

9 páginas

GRUPO TARDE tal cual el libro sin editar

13 páginas

GRUPO TARDE tal cual el libro sin editar

20 páginas

turno tarde. tema tal cual el libro

23 páginas

turno tarde. tema tal cual el libro

16 páginas

turno tarde. tema tal cual el libro

14 páginas

He publicado nuevos practicas de 2º Derecho Administrativo I: CASO-PRACTICO-NUM-14-Recursos-2.pdf

3 páginas

He publicado nuevos practicas de 2º Derecho Administrativo I: CASO-PRACTICO-NUM-13-Revision-de-oficio.pdf

3 páginas

He publicado nuevos practicas de 2º Derecho Administrativo I: CASO-PRACTICO-NUM-12-Acto-Recursos.pdf

5 páginas

He publicado nuevos practicas de 2º Derecho Administrativo I: CASO-PRACTICO-NUM-11-Acto-Ejecucion.pdf

3 páginas

He publicado nuevos practicas de 2º Derecho Administrativo I: CASO-PRACTICO-NUM-10-Acto-Eficacia.pdf

5 páginas