chevron_left
chevron_right
Todo
Apuntes
Exámenes
chevron_left
chevron_right
Anónimo

@Anónimo

He publicado nuevos apuntes de 1º Derecho Administrativo: Admin-1.gaia.pdf

6 páginas

He publicado nuevos examenes de 1º Derecho Administrativo: Admin-azterketa-reku.pdf

1 página

He publicado nuevos examenes de 1º Derecho Administrativo: ADMIN-EXAMEN-2025-MAYO.pdf

1 página

estan todas las praticas del año

9 páginas

estan los dos parciales

word
Anónimo

@Anónimo

He publicado nuevos apuntes de 1º Derecho Administrativo: apuntes-derecho-administrativo.pdf

41 páginas

He publicado nuevos apuntes de 1º Derecho Administrativo: 2.GAIA--ADMINISTRAZIO-ANTOLAKUNTZA.docx.pdf

7 páginas

He publicado nuevos apuntes de 1º Derecho Administrativo: 4.-Administrazio-egintza.pdf

16 páginas

He publicado nuevos apuntes de 1º Derecho Administrativo: 1.-gaia-Herri-administrazioaren-definizioa-eta-motak.docx

word
Anónimo

@Anónimo

apuntes

-

Administrazio zuzenbidea 1.maila

He publicado nuevos apuntes de 1º Derecho Administrativo: Administrazio zuzenbidea 1.maila

Administrazio-zuz.-1.Gaia.pdf
Administrazio-zuz.-2.Gaia.pdf
Administrazio-zuz.-3.Gaia.pdf
Administrazio-zuz.-4.Gaia.pdf
Administrazio-zuz.-5.Gaia.pdf
Administrazio-zuz.-6.Gaia.pdf

He publicado nuevos apuntes de 1º Derecho Administrativo: Derecho-administrativo.docx

word

He publicado nuevos apuntes de 1º Derecho Administrativo: FASES-DEL-PROCEDIMIENTO-ADMINISTRATIVO--Del-art.pdf

2 páginas

He publicado nuevos apuntes de 1º Derecho Administrativo: DERECHO-ADMINISTRATIVO-TEMAS-1-6--TODOS.pdf

32 páginas

examenes

-

ADMIN ZUZENBIDE AZTERKETA. 1 MAILA 31.TALDEA

He publicado nuevos examenes de 1º Derecho Administrativo: ADMIN ZUZENBIDE AZTERKETA. 1 MAILA 31.TALDEA

admUZTAILA-REKU2023.pdf

apuntes

-

ADMINISTRAZIO ZUZENBIDEA 1.MAILA

He publicado nuevos apuntes de 1º Derecho Administrativo: ADMINISTRAZIO ZUZENBIDEA 1.MAILA

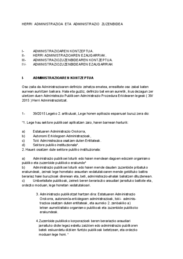
1-Herri-Administrazioa-eta-administrazio-zuzenbidea.pdf
2-Administrazio-Antolakuntza.pdf
5-Administrazio-Prozedura.pdf
3-Erreglamendua.pdf
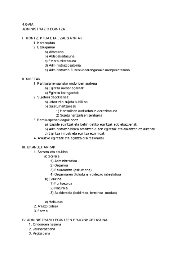
4-Administrazio-Egintza.pdf
6-Administrazio-Errekurtsoak.pdf

He publicado nuevos apuntes de 1º Derecho Administrativo: admin-azterketa.pdf

6 páginas

He publicado nuevos apuntes de 1º Derecho Administrativo: ADMINISTRAZIO-ZUZENBIDEA.pdf

11 páginas
Anónimo

@Anónimo

He publicado nuevos apuntes de 1º Derecho Administrativo: ADMIN-AZTERKETA.docx

word

apuntes

-

Apuntes Derecho Administrativo

He publicado nuevos apuntes de 1º Derecho Administrativo: Apuntes Derecho Administrativo

TEMA-4-parte-I pdf
TEMA-4-PARTE-II.pdf
TEMA-4-PARTE-III.pdf
TEMA-4-PARTE-IV.pdf
TEMA-5-PARTE-I.pdf
TEMA-5-PARTE-II.pdf

apuntes

-

Derecho Administrativo

He publicado nuevos apuntes de 1º Derecho Administrativo: Derecho Administrativo

Tema 2 Admi new.pdf
Tema 3 Admi new.pdf
Tema 4 Admi new.pdf
Tema 5 Admi new.pdf
Tema 1 Admi new.doc
¡Estás al día!

¡Estás al día!

Has visto todos los archivos