Todo
Apuntes
Exámenes
Prácticas
chevron_left
chevron_right

He publicado nuevos apuntes de 2º Derecho Civil Patrimonial I: Temas-9-12-Patrimonial-I.pdf

57 páginas

He publicado nuevos apuntes de 2º Derecho Civil Patrimonial I: Temas-7-8-Patrimonial-I.pdf

52 páginas

He publicado nuevos apuntes de 2º Derecho Civil Patrimonial I: Temas-4-6-Patrimonial-I.pdf

36 páginas

Apuntes y ejemplos

34 páginas

He publicado nuevos apuntes de 2º Derecho Civil Patrimonial I: TEMA-2-3.pdf

20 páginas

apuntes

-

Temario Patrimonial

Temario del manual de Derecho Civil Patrimonial

T2 (t2 y t3 guia docente).pdf
T2 (t2 y t3 guia docente).pdf
T3 (t4 guia docente).pdf
T3 (t4 guia docente).pdf
T4 (t5 guia docente).pdf
T4 (t5 guia docente).pdf

He publicado nuevos apuntes de 2º Derecho Civil Patrimonial I: civil-patrimonial-I.pdf

8 páginas

apuntes

-

APUNTES PATRIMONIAL I

He publicado nuevos apuntes de 2º Derecho Civil Patrimonial I: APUNTES PATRIMONIAL I

TEMA-2-PATRIMONIAL.pdf
TEMA-2-PATRIMONIAL.pdf
TEMA-3-PATRIMONIAL.pdf
TEMA-3-PATRIMONIAL.pdf
TEMA-4-PATRIMONIAL.pdf
TEMA-4-PATRIMONIAL.pdf
Anónimo

@Anónimo

practicas

-

EPD

He publicado nuevos practicas de 2º Derecho Civil Patrimonial I: EPD

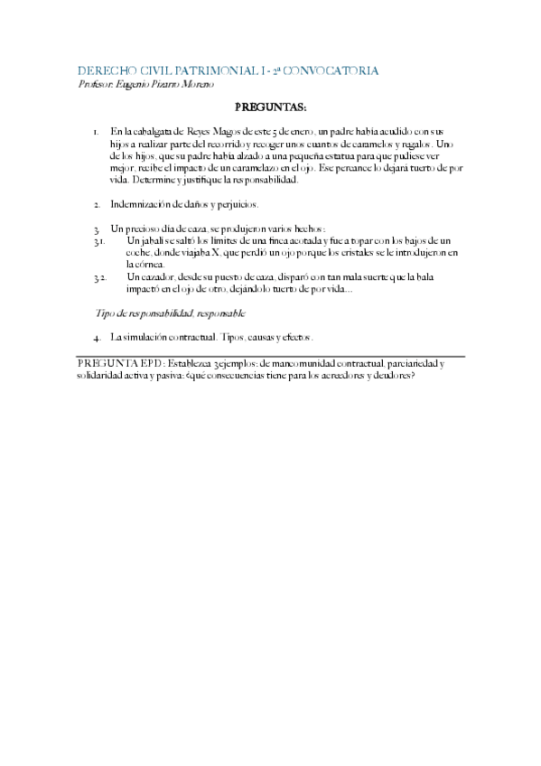
EPD.jpeg
EPD.jpeg
EPD.jpeg
EPD.jpeg
EPD.jpeg
EPD.jpeg

He publicado nuevos examenes de 2º Derecho Civil Patrimonial I: 1-Convocatoria-Da-Civil-Patrimonial-I.pdf

1 página

He publicado nuevos practicas de 2º Derecho Civil Patrimonial I: EPD-CIVIL-5-RESUELTA.pdf

5 páginas

He publicado nuevos practicas de 2º Derecho Civil Patrimonial I: EPD-CIVIL-4-RESUELTA.pdf

1 página

He publicado nuevos practicas de 2º Derecho Civil Patrimonial I: EPD-CIVIL-1-RESUELTA.pdf

23 páginas

He publicado nuevos apuntes de 2º Derecho Civil Patrimonial I: TEMA-10.pdf

10 páginas

He publicado nuevos apuntes de 2º Derecho Civil Patrimonial I: TEMA-8.pdf

5 páginas

He publicado nuevos apuntes de 2º Derecho Civil Patrimonial I: TEMA-7.pdf

14 páginas

He publicado nuevos apuntes de 2º Derecho Civil Patrimonial I: TEMA-6.pdf

21 páginas

He publicado nuevos apuntes de 2º Derecho Civil Patrimonial I: TEMA-5.pdf

9 páginas

He publicado nuevos apuntes de 2º Derecho Civil Patrimonial I: TEMA-4.pdf

13 páginas

He publicado nuevos apuntes de 2º Derecho Civil Patrimonial I: TEMA-3.pdf

13 páginas

apuntes

-

T2. FASES DE FORMACIÓN DEL CONTRATO

He publicado nuevos apuntes de 2º Derecho Civil Patrimonial I: T2. FASES DE FORMACIÓN DEL CONTRATO

TEMA-2.pdf
TEMA-2.pdf

He publicado nuevos apuntes de 2º Derecho Civil Patrimonial I: TEMA-1.pdf

6 páginas

He publicado nuevos examenes de 2º Derecho Civil Patrimonial I: Examen-D.pdf

pdf

He publicado nuevos apuntes de 2º Derecho Civil Patrimonial I: temario-civil-patrimonial-I.pdf

72 páginas

apuntes

-

Resúmenes Derecho Civil Patrimonial I

He publicado nuevos apuntes de 2º Derecho Civil Patrimonial I: Resúmenes Derecho Civil Patrimonial I

CP-Tema-14-.docx
CP-Tema-14-.docx
CP-Tema-13-.odt
CP-Tema-13-.odt
CP-Tema-10-.docx
CP-Tema-10-.docx

He publicado nuevos apuntes de 2º Derecho Civil Patrimonial I: temario-civil-patrimonial-I.pdf

72 páginas

apuntes

-

Apuntes Derecho Civil Patrimonial I

He publicado nuevos apuntes de 2º Derecho Civil Patrimonial I: Apuntes Derecho Civil Patrimonial I

TEMA-1-civil-patr.docx
TEMA-1-civil-patr.docx
TEMA-23-civil-patr.docx
TEMA-23-civil-patr.docx
TEMA-4-civil-patr.docx
TEMA-4-civil-patr.docx
Anónimo

@Anónimo

He publicado nuevos apuntes de 2º Derecho Civil Patrimonial I: DERECHO-CIVIL-PATRIMONIAL I.pdf

98 páginas

apuntes

-

Apuntes Tema 6-15

He publicado nuevos apuntes de 2º Derecho Civil Patrimonial I: Apuntes Tema 6-15

Apuntes-Derecho-Civil.pdf
Apuntes-Derecho-Civil.pdf
Estudiar-Derecho-Civil-Patrimonial.pdf
Estudiar-Derecho-Civil-Patrimonial.pdf
Tema-15.pdf
Tema-15.pdf
Anónimo

@Anónimo

He publicado nuevos apuntes de 2º Derecho Civil Patrimonial I: TEMA-1.pdf

5 páginas

apuntes

-

DERECHO CIVIL PATRIMONIAL I

He publicado nuevos apuntes de 2º Derecho Civil Patrimonial I: DERECHO CIVIL PATRIMONIAL I

TEMA-2.pdf
TEMA-2.pdf
TEMA-9.pdf
TEMA-9.pdf
TEMA-8.pdf
TEMA-8.pdf

He publicado nuevos apuntes de 2º Derecho Civil Patrimonial I: civil-t.pdf

36 páginas

apuntes

-

Resúmenes de la Asignatura

He publicado nuevos apuntes de 2º Derecho Civil Patrimonial I: Resúmenes de la Asignatura

Modulo-03B-I-Incumplimiento-de-la-obligacion.pdf
Modulo-03B-I-Incumplimiento-de-la-obligacion.pdf
Modulo-02-Estructura-de-la-relacion-juridica-obligatoria.pdf
Modulo-02-Estructura-de-la-relacion-juridica-obligatoria.pdf
Modulo-01-Introduccion-al-Derecho-Patrimonial.pdf
Modulo-01-Introduccion-al-Derecho-Patrimonial.pdf

apuntes

-

Resúmenes de la Asignatura

He publicado nuevos apuntes de 2º Derecho Civil Patrimonial I: Resúmenes de la Asignatura

Modulo-03B-II-Proteccion-del-credito.pdf
Modulo-03B-II-Proteccion-del-credito.pdf
Modulo-01-Introduccion-al-Derecho-Patrimonial.pdf
Modulo-01-Introduccion-al-Derecho-Patrimonial.pdf
Modulo-04-El-contrato.pdf
Modulo-04-El-contrato.pdf
Anónimo

@Anónimo

apuntes

-

APUNTES

He publicado nuevos apuntes de 2º Derecho Civil Patrimonial I: APUNTES

TEMA-4-OK.pdf
TEMA-4-OK.pdf
TEMA-3-OK.pdf
TEMA-3-OK.pdf
TEMA-1-OK.pdf
TEMA-1-OK.pdf

apuntes

-

REPASO

He publicado nuevos apuntes de 2º Derecho Civil Patrimonial I: REPASO

DEFINICIONES.pdf
DEFINICIONES.pdf
ARTICULOS.pdf
ARTICULOS.pdf
RESUMENES-REPASO.pdf
RESUMENES-REPASO.pdf

apuntes

-

Derecho Civil Patrimonial

He publicado nuevos apuntes de 2º Derecho Civil Patrimonial I: Derecho Civil Patrimonial

TEMA 5.pdf
TEMA 5.pdf
TEMA 1.pdf
TEMA 1.pdf
TEMA 6.pdf
TEMA 6.pdf

He publicado nuevos apuntes de 2º Derecho Civil Patrimonial I: dcho civil articulos.pdf

2 páginas
Anónimo

@Anónimo

apuntes

-

CIVIL PATRIMONIAL I (TEMAS COMPLETOS)

TEMAS 0 AL 10 (MANUAL + APUNTES DE CLASE)

TEMA 10.pdf
TEMA 10.pdf
TEMA 6.pdf
TEMA 6.pdf
TEMA 9.pdf
TEMA 9.pdf
Anónimo

@Anónimo

apuntes

-

CIVIL PATRIMONIAL I (TEMAS COMPLETOS)

TEMAS 11 AL 13 (MANUAL + APUNTES DE CLASE)

TEMA 13.pdf
TEMA 13.pdf
TEMA 12.pdf
TEMA 12.pdf
TEMA 11.pdf
TEMA 11.pdf
Anónimo

@Anónimo

SIMILARES A LOS DE EXAMEN

10 páginas
Anónimo

@Anónimo

He publicado nuevos apuntes de 2º Derecho Civil Patrimonial I: EXAMEN PATRIMONIAL.pdf

1 página

apuntes

-

DERECHO CIVIL PATRIMONIAL I

RESÚMENES DEL LIBRO

TEMA 1.pdf
TEMA 1.pdf
TEMA 13 PATRIMONIAL.pdf
TEMA 13 PATRIMONIAL.pdf
TEMA 2 PATRIMONIAL 1.pdf
TEMA 2 PATRIMONIAL 1.pdf

apuntes

-

Derecho Civil Patrimonial I

He publicado nuevos apuntes de 2º Derecho Civil Patrimonial I: Derecho Civil Patrimonial I

TEMA 1.docx
TEMA 1.docx
TEMA 2.docx
TEMA 2.docx
TEMA 4.docx
TEMA 4.docx

He publicado nuevos apuntes de 2º Derecho Civil Patrimonial I: TEMA 5.docx

word

apuntes

-

Temario

He publicado nuevos apuntes de 2º Derecho Civil Patrimonial I: Temario

Tema 1.pdf
Tema 1.pdf
Tema 2.pdf
Tema 2.pdf
Tema 3.pdf
Tema 3.pdf

He publicado nuevos apuntes de 2º Derecho Civil Patrimonial I: TEMA 2 OK.pdf

5 páginas

He publicado nuevos apuntes de 2º Derecho Civil Patrimonial I: TEMA 1 OK.pdf

3 páginas

apuntes

-

CIVIL PATRIMONIAL

He publicado nuevos apuntes de 2º Derecho Civil Patrimonial I: CIVIL PATRIMONIAL

tema 1.docx
tema 1.docx
tema 2.docx
tema 2.docx
tema 3.docx
tema 3.docx