chevron_left
chevron_right
Todo
Apuntes
Exámenes
Prácticas
chevron_left
chevron_right

examenes

-

Exámenes Corregidos Derecho

5 Exámenes CORREGIDOS de Desarrollo Teórico + Índice de Contenidos

UCLMADEexamenI3.pdf
UCLMADEexamenI4.pdf
UCLMADEexamenI5.pdf
UCLMADEindiceI.pdf
UCLMADEexamenI1.pdf
UCLMADEexamenI2.pdf

Tema 5 de la asignatura Derecho de la Empresa del 1º curso

7 páginas

Temas 3 y 4 de la asignatura Derecho de la Empresa de 1º curso

3 páginas

Temas 1 y 2 de la asignatura Derecho de la Empresa de 1º curso

6 páginas

TEMARIO ENTERO DE DERECHO DE LA EMPRESA - UCLM

39 páginas

TEMA 6 | Derecho de la empresa

9 páginas

TEMA 5 | Derecho de la empresa

3 páginas

TEMA 4 | Derecho de la empresa

5 páginas

TEMA 3 | Derecho de la empresa

3 páginas

TEMA 2 | Derecho de la empresa

9 páginas

TEMA 1 | Derecho de la empresa

3 páginas
Anónimo

@Anónimo

TEMA 1 , 2 Y 3

Miniatura no disponible
powerpoint

He publicado nuevos apuntes de 1º Derecho de la Empresa: TEMA-15.-DERECHO-CONCURSAL.pdf

2 páginas

He publicado nuevos apuntes de 1º Derecho de la Empresa: TEMA-14.-CHEQUE-Y-PAGARE.pdf

2 páginas

He publicado nuevos apuntes de 1º Derecho de la Empresa: TEMA-13.-CONCURSO-DE-ACREEDORES.pdf

1 página

He publicado nuevos apuntes de 1º Derecho de la Empresa: TEMA-12.-EL-CONTRATO-DE-COMPRAVENTA-MERCANTIL-TRANSPORTE-Y-SEGUROS.pdf

2 páginas

He publicado nuevos apuntes de 1º Derecho de la Empresa: TEMA-11.-LOS-CONTRATOS-MERCANTILES.pdf

2 páginas

He publicado nuevos apuntes de 1º Derecho de la Empresa: TEMA-10.-MODIFICACIONES-ESTATUTARIAS.pdf

2 páginas

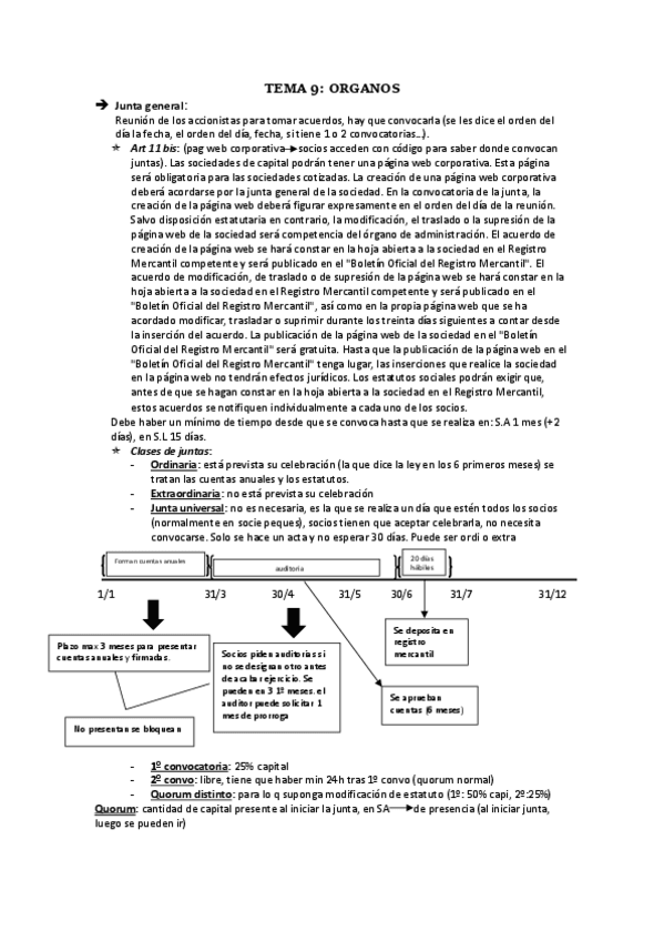
He publicado nuevos apuntes de 1º Derecho de la Empresa: TEMA-9.-ORGANOS-SOCIALES.pdf

2 páginas

He publicado nuevos apuntes de 1º Derecho de la Empresa: TEMA-8.2-SOCIEDADES-DE-CAPITAL.pdf

2 páginas

He publicado nuevos apuntes de 1º Derecho de la Empresa: TEMA-7.-ELEMENTOS-CONFIGURADORES-DE-LAS-SOCIEDADES-DE-CAPITAL-Y-FUNDACION.pdf

2 páginas

He publicado nuevos apuntes de 1º Derecho de la Empresa: TEMA-6.-LAS-SOCIEDADES-MERCANTILES.pdf

2 páginas

He publicado nuevos apuntes de 1º Derecho de la Empresa: TEMA-5.2.-TUTELA-DE-LA-PROPIEDAD-INDUSTRIAL.pdf

2 páginas

He publicado nuevos apuntes de 1º Derecho de la Empresa: TEMA-5.1.-LA-TUTELA-DE-LA-COMPETENCIA-Y-DE-LA-PROPIEDAD-INDUSTRIAL.pdf

2 páginas

He publicado nuevos apuntes de 1º Derecho de la Empresa: TEMA-4.-COLABORADORES-DEL-EMPRESARIOA-..pdf

1 página

He publicado nuevos apuntes de 1º Derecho de la Empresa: TEMA-3.-EL-REGISTRO-MERCANTIL-Y-EL-DEBER-DE-CONTABILIDAD.pdf

2 páginas

He publicado nuevos apuntes de 1º Derecho de la Empresa: TEMA-2.-EMPRESA.-EMPRESARIOA-Y-CONSUMIDORA.pdf

2 páginas

He publicado nuevos apuntes de 1º Derecho de la Empresa: TEMA-1.-CONCEPTO-Y-CARACTERISTICAS-GENERALES-DEL-DERECHO-MERCANTIL.pdf

1 página

He publicado nuevos apuntes de 1º Derecho de la Empresa: RESUMEN-T1-T15-derecho.pdf

21 páginas

He publicado nuevos apuntes de 1º Derecho de la Empresa: TEMA-5.2-D.pdf

11 páginas

He publicado nuevos apuntes de 1º Derecho de la Empresa: TEMA-5.1-D.pdf

8 páginas

He publicado nuevos apuntes de 1º Derecho de la Empresa: guia-defensa-competencia-t.5.pdf

60 páginas

He publicado nuevos apuntes de 1º Derecho de la Empresa: TEMA-4-D.pdf

2 páginas

He publicado nuevos apuntes de 1º Derecho de la Empresa: TEMA-3-D.pdf

5 páginas

He publicado nuevos apuntes de 1º Derecho de la Empresa: TEMA-2-D.pdf

8 páginas

He publicado nuevos apuntes de 1º Derecho de la Empresa: TEMA-1-D.pdf

8 páginas

He publicado nuevos apuntes de 1º Derecho de la Empresa: Derecho-APUNTES-MUY-RESUMIDOS-Tema-1-al-15.pdf

9 páginas

He publicado nuevos examenes de 1º Derecho de la Empresa: Test-Derecho-de-la-Empresa.pdf

36 páginas
Anónimo

@Anónimo

He publicado nuevos practicas de 1º Derecho de la Empresa: PRACTICA-DERECHO-26-de-noviembre.pdf

1 página
Anónimo

@Anónimo

He publicado nuevos practicas de 1º Derecho de la Empresa: PRACTICA-3-DERECHO-MERCANTIL.pdf

3 páginas
Anónimo

@Anónimo

He publicado nuevos practicas de 1º Derecho de la Empresa: PRACTICA-TEMAS-6-Y-7.pdf

3 páginas
Anónimo

@Anónimo

apuntes

-

TEMARIO DERECHO COMPLETO

He publicado nuevos apuntes de 1º Derecho de la Empresa: TEMARIO DERECHO COMPLETO

TEMA-13.pdf
TEMA-12.pdf
TEMA-11.pdf
TEMA-10.pdf
TEMA-9.pdf
TEMA-7.pdf

He publicado nuevos apuntes de 1º Derecho de la Empresa: Tema-2.pdf

3 páginas

He publicado nuevos apuntes de 1º Derecho de la Empresa: Tema-8.pdf

3 páginas

He publicado nuevos apuntes de 1º Derecho de la Empresa: TEMA-4.pdf

1 página

He publicado nuevos apuntes de 1º Derecho de la Empresa: TEMA-1.pdf

4 páginas

He publicado nuevos apuntes de 1º Derecho de la Empresa: Tema-6-7-Sociedades.pdf

7 páginas

He publicado nuevos apuntes de 1º Derecho de la Empresa: TEMA-5.pdf

7 páginas

He publicado nuevos apuntes de 1º Derecho de la Empresa: TEMA-3.pdf

2 páginas
Anónimo

@Anónimo

He publicado nuevos apuntes de 1º Derecho de la Empresa: Tema15.pdf

1 página
Anónimo

@Anónimo

He publicado nuevos apuntes de 1º Derecho de la Empresa: Tema12.pdf

2 páginas
Anónimo

@Anónimo

He publicado nuevos apuntes de 1º Derecho de la Empresa: Tema13.pdf

2 páginas
Anónimo

@Anónimo

He publicado nuevos apuntes de 1º Derecho de la Empresa: Tema10.pdf

1 página
Anónimo

@Anónimo

He publicado nuevos apuntes de 1º Derecho de la Empresa: Tema11.pdf

1 página
Anónimo

@Anónimo

He publicado nuevos apuntes de 1º Derecho de la Empresa: Tema9.pdf

2 páginas
Anónimo

@Anónimo

He publicado nuevos apuntes de 1º Derecho de la Empresa: Tema8.pdf

1 página
Anónimo

@Anónimo

He publicado nuevos apuntes de 1º Derecho de la Empresa: Tema6.pdf

2 páginas
Anónimo

@Anónimo

He publicado nuevos apuntes de 1º Derecho de la Empresa: Tema7.pdf

1 página
Anónimo

@Anónimo

He publicado nuevos apuntes de 1º Derecho de la Empresa: Tema5.pdf

3 páginas

Apuntes de la asignatura entera de derecho de 1º ADE UCLM (Albacete)

38 páginas