derecho de la información y de la comunicación

Todo
Apuntes
Ejercicios
Prácticas
Test
Trabajos
chevron_left
chevron_right
Anónimo

@Anónimo

He publicado nuevos apuntes de 1º derecho de la información y de la comunicación: tema-1-ADMINISTRATIVO.pdf

7 páginas
Anónimo

@Anónimo

apuntes

-

Apuntes completos derecho constitucional 1º CAV

He publicado nuevos apuntes de 1º derecho de la información y de la comunicación: Apuntes completos derecho constitucional 1º CAV

tema-2-DERECHO-PARTE-1.pdf
tema-2-DERECHO-PARTE-2.pdf
tema-2-DERECHO-PARTE-3.pdf
tema-2-DERECHO-PARTE-5.pdf
tema-3-DERECHO.pdf
tema-4-DERECHO.pdf
Anónimo

@Anónimo

Preguntas de Desarrollo del examen de Derecho Constitutivo

1 página

He publicado nuevos apuntes de 1º derecho de la información y de la comunicación: Apuntes-Tema-4-Constitucional.pdf

6 páginas

He publicado nuevos apuntes de 1º derecho de la información y de la comunicación: Esquema-con-posibles-preguntas.pdf

3 páginas

He publicado nuevos apuntes de 1º derecho de la información y de la comunicación: Apuntes-Tema-6-Administrativo.pdf

4 páginas

He publicado nuevos apuntes de 1º derecho de la información y de la comunicación: Apuntes-Tema-2-Constitucional.pdf

27 páginas

He publicado nuevos apuntes de 1º derecho de la información y de la comunicación: Apuntes-Tema-5-Administrativo.pdf

5 páginas

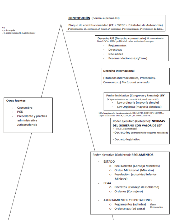
He publicado nuevos apuntes de 1º derecho de la información y de la comunicación: Piramide-del-Ordenamiento-Juridico-Administrativo.pdf

1 página

He publicado nuevos apuntes de 1º derecho de la información y de la comunicación: Apuntes-Tema-1-Administrativo.pdf

11 páginas

He publicado nuevos apuntes de 1º derecho de la información y de la comunicación: Derecho-constitucional-TEMA-4.pdf

4 páginas

He publicado nuevos apuntes de 1º derecho de la información y de la comunicación: dcho-constitucional-TEMA-3.pdf

5 páginas

He publicado nuevos apuntes de 1º derecho de la información y de la comunicación: dcho-constitucional-TEMA-2-PARTE-3.pdf

6 páginas

He publicado nuevos apuntes de 1º derecho de la información y de la comunicación: dcho-constitucional-TEMA-2-PARTE-2.pdf

3 páginas

He publicado nuevos apuntes de 1º derecho de la información y de la comunicación: dcho-constitucional-TEMA-2-PARTE-1.pdf

6 páginas

He publicado nuevos apuntes de 1º derecho de la información y de la comunicación: dcho-constitucional-TEMA-1-PARTE-3.pdf

4 páginas

He publicado nuevos apuntes de 1º derecho de la información y de la comunicación: dcho-constitucional-TEMA-1-PARTE-2-historia.pdf

4 páginas

He publicado nuevos apuntes de 1º derecho de la información y de la comunicación: dcho-constitucional-TEMA-1-PARTE-1-introduccion-1.pdf

2 páginas

He publicado nuevos apuntes de 1º derecho de la información y de la comunicación: derecho-administrativo-TEMA-1-RESUMEN-PDF.pdf

8 páginas

He publicado nuevos apuntes de 1º derecho de la información y de la comunicación: derecho-ad.-proteccion-de-datos-t3.pdf

3 páginas

He publicado nuevos apuntes de 1º derecho de la información y de la comunicación: derecho-ad.-propiedad-intelectual-t2.pdf

4 páginas

He publicado nuevos apuntes de 1º derecho de la información y de la comunicación: Derecho-ad.-EL-CINE-t4.pdf

3 páginas

apuntes

-

DERECHO DE LA INFORMACIÓN Y COMUNICACIÓN - Todos los temas

He publicado nuevos apuntes de 1º derecho de la información y de la comunicación: DERECHO DE LA INFORMACIÓN Y COMUNICACIÓN - Todos los temas

DERECHO-DE-LA-INFORMACION-Y-COMUNICACION.pdf
DERECHO-PUBLICO-Y-DE-LA-ADMINISTRACION.pdf
DERECHO-APLICADO-AL-CINE.pdf
Anónimo

@Anónimo

apuntes

-

Temario completo derecho constitucional 1, 2, 3

He publicado nuevos apuntes de 1º derecho de la información y de la comunicación: Temario completo derecho constitucional 1, 2, 3

T1-Derecho-constitucional.pdf
T2-Derecho-constitucional-Parte-1-y-2.pdf
T3-Derecho-constitucional.pdf
Anónimo

@Anónimo

He publicado nuevos apuntes de 1º derecho de la información y de la comunicación: T1-Derecho-administrativo.pdf

6 páginas

apuntes

-

Temas Derecho

He publicado nuevos apuntes de 1º derecho de la información y de la comunicación: Temas Derecho

DERECHO-ADMINISTRATIVO.pdf
DERECHO-CONSTITUCIONAL.pdf

apuntes

-

TEMARIO COMPLETO Y RECOMENDACIONES

He publicado nuevos apuntes de 1º derecho de la información y de la comunicación: TEMARIO COMPLETO Y RECOMENDACIONES

TEMARIO-COMPLETO.pdf
RECOMENDACIONES-4.pdf

apuntes

-

Temario

He publicado nuevos apuntes de 1º derecho de la información y de la comunicación: Temario

DERECHO-ADMINISTRATIVO.pdf
DERECHO-CONSTITUCIONAL.pdf

He publicado nuevos trabajos de 1º derecho de la información y de la comunicación: Caso-ISABEL-PRESYLER.pdf

3 páginas
Anónimo

@Anónimo

He publicado nuevos practicas de 1º derecho de la información y de la comunicación: Practica-de-Isabel-Preysler.pdf

6 páginas
Anónimo

@Anónimo

apuntes

-

Temario completo muy resumido

He publicado nuevos apuntes de 1º derecho de la información y de la comunicación: Temario completo muy resumido

Tema-5.pdf
Tema-2-.pdf
Tema-4.pdf
Tema-4-.pdf
Tema-3-.pdf
T.docx
Anónimo

@Anónimo

He publicado nuevos apuntes de 1º derecho de la información y de la comunicación: Bielorrusia.pdf

pdf
Anónimo

@Anónimo

He publicado nuevos practicas de 1º derecho de la información y de la comunicación: Test-sobre-la-proteccion-de-datos.pdf

pdf
Anónimo

@Anónimo

He publicado nuevos test de 1º derecho de la información y de la comunicación: Preguntas-tipo-TEST-Derecho-Administrativo.pdf

pdf
Anónimo

@Anónimo

He publicado nuevos ejercicios de 1º derecho de la información y de la comunicación: PRACTICA-Resolucion-ICAA-ayudas-para-la-organizacion-de-festivales.pdf

2 páginas

He publicado nuevos apuntes de 1º derecho de la información y de la comunicación: DA.pdf

5 páginas
Anónimo

@Anónimo

apuntes

-

Bombillar y Roca Curso 21/22

He publicado nuevos apuntes de 1º derecho de la información y de la comunicación: Bombillar y Roca Curso 21/22

Tema-6.pdf
Tema-1.pdf
Anónimo

@Anónimo

apuntes

-

Orza Curso 20/21

He publicado nuevos apuntes de 1º derecho de la información y de la comunicación: Orza Curso 20/21

tema-4.pdf
2.pdf
tema-3.pdf
2.pdf
2.pdf

He publicado nuevos apuntes de 1º derecho de la información y de la comunicación: La-constitucion-espanola.pdf

13 páginas

He publicado nuevos apuntes de 1º derecho de la información y de la comunicación: Derecho-constitucional.pdf

5 páginas

apuntes

-

Derecho Bombillar y Orza

He publicado nuevos apuntes de 1º derecho de la información y de la comunicación: Derecho Bombillar y Orza

4y5-ORZA-Y-BOMBILLAR.pdf
2-ORZA.pdf
1-BOMBILLAR.pdf
3-ORZA.pdf
Anónimo

@Anónimo

He publicado nuevos apuntes de 1º derecho de la información y de la comunicación: Tema-6.pdf

4 páginas
Anónimo

@Anónimo

He publicado nuevos apuntes de 1º derecho de la información y de la comunicación: Tema-5.pdf

4 páginas
Anónimo

@Anónimo

He publicado nuevos apuntes de 1º derecho de la información y de la comunicación: Tema-4.pdf

5 páginas
Anónimo

@Anónimo

He publicado nuevos apuntes de 1º derecho de la información y de la comunicación: Tema-3.pdf

6 páginas
Anónimo

@Anónimo

He publicado nuevos apuntes de 1º derecho de la información y de la comunicación: Tema-2.pdf

18 páginas
Anónimo

@Anónimo

He publicado nuevos apuntes de 1º derecho de la información y de la comunicación: Tema-1.pdf

6 páginas
Anónimo

@Anónimo

He publicado nuevos apuntes de 1º derecho de la información y de la comunicación: LECCION-INTRODUCTORIA-AL-DERECHO-Y-AL-DERECHO-DE-LA-COMUNICACION-Y-DE-LA-DOCUMENTACION.docx

word

apuntes

-

Temario Completo Derecho

He publicado nuevos apuntes de 1º derecho de la información y de la comunicación: Temario Completo Derecho

Temario-Completo-Derecho-Constitucional.pdf
Temario-Completo-Derecho-Administrativo.pdf

apuntes

-

Derecho de la información y comunicación

He publicado nuevos apuntes de 1º derecho de la información y de la comunicación: Derecho de la información y comunicación

Derecho-de-la-informacion-y-de-la-comunicacion.pdf
Derecho-de-la-informacion-y-de-la-comunicacion.docx

He publicado nuevos apuntes de 1º derecho de la información y de la comunicación: Tema-1.doc

word

He publicado nuevos apuntes de 1º derecho de la información y de la comunicación: TEMA-2.pdf

21 páginas

He publicado nuevos apuntes de 1º derecho de la información y de la comunicación: TEMA-2.pdf

3 páginas

apuntes

-

Temario 2018/2019

He publicado nuevos apuntes de 1º derecho de la información y de la comunicación: Temario 2018/2019

Tema 2.pdf
Tema 5.pdf
Tema 6.pdf
Tema 1.pdf
Tema 4.pdf

He publicado nuevos apuntes de 1º derecho de la información y de la comunicación: Apuntes de Derecho de la Información y de la Comunicación - Tema 1.docx

word

Hechos a mano y escaneados.

10 páginas

He publicado nuevos apuntes de 1º derecho de la información y de la comunicación: Tema 2.2 (Orza).pdf

3 páginas

He publicado nuevos apuntes de 1º derecho de la información y de la comunicación: Tema 6 (Bombillar).pdf

3 páginas

He publicado nuevos apuntes de 1º derecho de la información y de la comunicación: Tema 2.3 (Orza).pdf

7 páginas

He publicado nuevos apuntes de 1º derecho de la información y de la comunicación: Tema 5 (Bombillar).pdf

4 páginas