derecho de la persona

chevron_left
chevron_right
Todo
Apuntes
chevron_left
chevron_right
Anónimo

@Anónimo

He publicado nuevos apuntes de 3º derecho de la persona: Apunts-Dret-de-la-Persona.pdf

26 páginas

He publicado nuevos apuntes de 3º derecho de la persona: PROCESO-DIAGNOSTICO-SOCIAL.pdf

1 página

He publicado nuevos apuntes de 3º derecho de la persona: CURRICULUM-LECTOR-2.pdf

13 páginas

apuntes

-

TEMARI

He publicado nuevos apuntes de 3º derecho de la persona: TEMARI

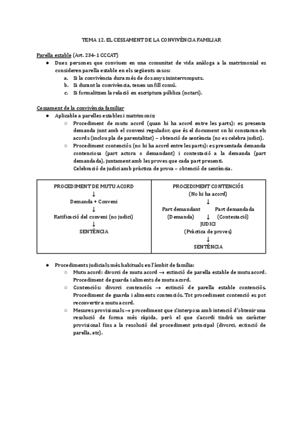
DRET-TEMA-12.pdf
DRET-TEMA-11.pdf
DRET-TEMA-1-i-2.pdf
DRET-TEMA-3-4-i-5.pdf
DRET-TEMA-6-7-i-8.pdf
DRET-TEMA-10.pdf

He publicado nuevos apuntes de 3º derecho de la persona: CURRICULUM-LECTOR-1.pdf

12 páginas
¡Estás al día!

¡Estás al día!

Has visto todos los archivos