chevron_left
chevron_right
Todo
Apuntes
Ejercicios
Exámenes
Prácticas
chevron_left
chevron_right

He publicado nuevos apuntes de 1º Derecho Empresarial I: ResumenTrucosExamenesAprobarRapido.pdf.zip

Miniatura no disponible
zip

resumen muy breve de los 8 temas de derecho mercantil

12 páginas

examenes

-

Exámenes Corregidos Derecho

5 Examenes CORREGIDOS de Desarrollo Teórico + Índice de Contenidos

UCAjzADEexamenI3.pdf
UCAjzADEexamenI4.pdf
UCAjzADEexamenI5.pdf
UCAjzADEindiceI.pdf
UCAjzADEexamenI1.pdf
UCAjzADEexamenI2.pdf

He publicado nuevos apuntes de 1º Derecho Empresarial I: Derecho-mercantil-TEMA-3.pdf

5 páginas

He publicado nuevos apuntes de 1º Derecho Empresarial I: derecho-mercantil-TEMA-2.pdf

9 páginas

He publicado nuevos apuntes de 1º Derecho Empresarial I: derecho-mercantil-TEMA-1.pdf

4 páginas

la persona

Imagen

He publicado nuevos apuntes de 1º Derecho Empresarial I: IMG2303.jpeg

Imagen

He publicado nuevos apuntes de 1º Derecho Empresarial I: IMG2301.jpeg

Imagen

apuntes tema 2, las fuentes del derecho

Imagen

resumen tema 1 derecho, el ordenamiento jurídico

Imagen

apuntes ADE el ordenamiento jurídico tema 1

6 páginas

apuntes

-

Tema 1 al 6 derecho II. Resumenes

He publicado nuevos apuntes de 1º Derecho Empresarial I: Tema 1 al 6 derecho II. Resumenes

Tema-1-derecho-II.-Resumen.pdf
Tema-2-derecho-II.-Resumen.pdf
Tema-3-derecho-II.-Resumen.pdf
Tema-4-derecho-II.-Resumen.pdf
Tema-5-derecho-II.-Resumen.pdf
Tema-6-derecho-II.-Resumen.pdf

apuntes

-

DERECHO CIVIL 1º ADE 25/26

He publicado nuevos apuntes de 1º Derecho Empresarial I: DERECHO CIVIL 1º ADE 25/26

Tema-1-derecho-civil.pdf
Tema-2-Derecho-civil.pdf
Tema-3-Derecho-civil.pdf
Tema-4-Derecho-civil.pdf
Tema-5-Derecho-civil.pdf

He publicado nuevos apuntes de 1º Derecho Empresarial I: mercantil-tema-8.pdf

16 páginas

He publicado nuevos apuntes de 1º Derecho Empresarial I: tema-7-derecho-mercantil.pdf

12 páginas

He publicado nuevos apuntes de 1º Derecho Empresarial I: mercantil-tema-5.pdf

14 páginas

He publicado nuevos apuntes de 1º Derecho Empresarial I: mercantil-tema-6.pdf

14 páginas

He publicado nuevos apuntes de 1º Derecho Empresarial I: mercantil-tema-4.pdf

6 páginas

He publicado nuevos apuntes de 1º Derecho Empresarial I: mercantil-tema-3.pdf

8 páginas

He publicado nuevos apuntes de 1º Derecho Empresarial I: mercantil-tema-2.pdf

11 páginas

He publicado nuevos apuntes de 1º Derecho Empresarial I: mercantil-tema-1.pdf

5 páginas

He publicado nuevos apuntes de 1º Derecho Empresarial I: LECCION-1.a-EL-DERECHO-MERCANTILmio.pdf

6 páginas

apuntes

-

TEMAS RESUMIDOS DCHO CIVIL.

He publicado nuevos apuntes de 1º Derecho Empresarial I: TEMAS RESUMIDOS DCHO CIVIL.

TEMA-1.-EL-ORDENAMIENTO-JURIDICO.pdf
TEMA-2.-LA-NORMA-JURIDICA.-DERECHO-CIVIL.pdf
TEMA-3.-FUENTES-DEL-DERECHO.-DERECHO-CIVIL.pdf
TEMA-4.-LA-PERSONA.-DCHO-CIVIL.pdf
TEMA-5.-EL-CONTRATO.-DERECHO-CIVIL.pdf

He publicado nuevos examenes de 1º Derecho Empresarial I: tipo-test-examenes-anteriores.pdf

12 páginas

He publicado nuevos apuntes de 1º Derecho Empresarial I: TEMA-6-DE-I-mercantil.pdf

2 páginas

He publicado nuevos apuntes de 1º Derecho Empresarial I: TEMA-5-DE-I-mercantil.pdf

2 páginas

He publicado nuevos apuntes de 1º Derecho Empresarial I: TEMA-4-DE-I-mercantil.pdf

2 páginas

He publicado nuevos apuntes de 1º Derecho Empresarial I: TEMA-3-DE-I-mercantil.pdf

1 página

He publicado nuevos apuntes de 1º Derecho Empresarial I: TEMA-2-DE-I-mercantil.pdf

4 páginas

He publicado nuevos apuntes de 1º Derecho Empresarial I: TEMA-1-DE-I-mercantil.pdf

2 páginas

apuntes

-

temas 1-5

He publicado nuevos apuntes de 1º Derecho Empresarial I: temas 1-5

DERECHO-EXAMEN-TEMA-1.pdf
DERECHO-EXAMEN-TEMA-2.pdf
DERECHO-EXAMEN-TEMA-3.pdf
DERECHO-EXAMEN-TEMA-4.pdf
DERECHO-EXAMEN-TEMA-5.pdf

apuntes

-

temas 1-4

He publicado nuevos apuntes de 1º Derecho Empresarial I: temas 1-4

apuntes-dm4.pdf
leccion1-DM.pdf
leccion2-DM.pdf
leccion3-DM.pdf

ejercicios

-

Actividades por tema

He publicado nuevos ejercicios de 1º Derecho Empresarial I: Actividades por tema

ACTIVIDADES-TEMA-1-2.pdf
ACTIVIDADES-TEMA-1.pdf
ACTIVIDADES-TEMA-2-2.pdf
ACTIVIDADES-TEMA-2.pdf
ACTIVIDADES-TEMA-3.pdf
ACTIVIDADES-TEMA-4.pdf

Tema 4 de Derecho Mercantil

7 páginas

Tema 5 de Derecho Mercantil

16 páginas

Tema 2 de Derecho Mercantil

12 páginas

Tema 3 de Derecho Mercantil

10 páginas

Tema 1 de Derecho Mercantil

5 páginas

Tema 6 de Derecho Mercantil

19 páginas

apuntes

-

Derecho Civil

Temas derecho civil resumidos

T-1: El ordenamiento juridico - D.CIVIL (resumen).pdf
T-2: La norma juridica - D.CIVIL (resumen).pdf
T-3: Fuentes del derecho - D.CIVIL (resumen).pdf
T-4: La persona - D.CIVIL (resumen).pdf
Tema 5 - D.CIVIL (resumen).pdf

He publicado nuevos apuntes de 1º Derecho Empresarial I: Derecho-Civil-T1-T5.pdf

34 páginas

He publicado nuevos apuntes de 1º Derecho Empresarial I: Tema-9.-Las-sociedades-de-capital..pdf

4 páginas

He publicado nuevos apuntes de 1º Derecho Empresarial I: Tema-10.-Las-sociedades-de-capital-2..pdf

8 páginas

He publicado nuevos apuntes de 1º Derecho Empresarial I: Tema-8.-La-sociedad-mercantil..pdf

3 páginas

He publicado nuevos apuntes de 1º Derecho Empresarial I: Tema-6.-Concepto-ambito-y-fuentes-del-Derecho-Mercantil..pdf

5 páginas

He publicado nuevos apuntes de 1º Derecho Empresarial I: TEMA-5-EL-CONTRATO-DERECHO-CIVIL.pdf

3 páginas

He publicado nuevos apuntes de 1º Derecho Empresarial I: TEMA-4-LA-PERSONA-DERECHO-CIVIL.pdf

3 páginas

He publicado nuevos apuntes de 1º Derecho Empresarial I: TEMA-3-FUENTES-DEL-DERECHO-DERECHO-CIVIL.pdf

4 páginas

He publicado nuevos apuntes de 1º Derecho Empresarial I: TEMA-5-LAS-SOCIEDADES-DE-CAPITAL-PARTE-3-D.-MERCANTIL.pdf

2 páginas

He publicado nuevos apuntes de 1º Derecho Empresarial I: TEMA-5-LAS-SOCIEDAD-DE-CAPITAL-PARTE-2-D.-MERCANTIL.pdf

3 páginas

He publicado nuevos apuntes de 1º Derecho Empresarial I: TEMA-5-LAS-SOCIEDADES-DE-CAPITAL-PARTE-1-DERECHO-MERCANTIL.pdf

3 páginas

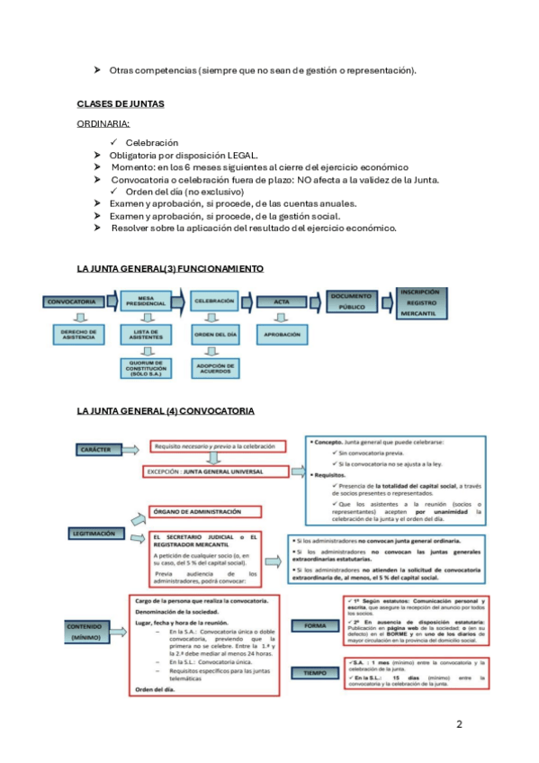
He publicado nuevos apuntes de 1º Derecho Empresarial I: TEMA-6-LA-JUNTA-GENERAL-PARTE-1-d.-mercantil.pdf

5 páginas

He publicado nuevos apuntes de 1º Derecho Empresarial I: TEMA-6-EL-ORGANO-DE-ADMINISTRACION-PARTE-2-D.-MERCANTIL.pdf

4 páginas

He publicado nuevos apuntes de 1º Derecho Empresarial I: TEMA-3-LA-SOCIEDAD-MERCANTIL-D.-MERCANTIL.pdf

2 páginas

He publicado nuevos apuntes de 1º Derecho Empresarial I: TEMA-4-LAS-SOCIEDADES-DE-CAPITAL-PARTE-2-d.-mercantil.pdf

2 páginas

He publicado nuevos apuntes de 1º Derecho Empresarial I: TEMA-4-LAS-SOCIEDADES-DE-CAPITAL-P1D.-MERCANTIL.pdf

3 páginas

He publicado nuevos examenes de 1º Derecho Empresarial I: Examen parcial - Derecho Civil (con respuesta).pdf

6 páginas

apuntes

-

Derecho Mercantil (resúmenes)

He publicado nuevos apuntes de 1º Derecho Empresarial I: Derecho Mercantil (resúmenes)

Tema 1 - D.MERCANTIL (resumen).pdf
Tema 2 - D.MERCANTIL (resumen).pdf
Tema 3 - D.MERCANTIL (resumen).pdf
Tema 4 - D.MERCANTIL (resumen).pdf
Tema 5 - D.MERCANTIL (resumen).pdf
Tema 6 - D.MERCANTIL (resumen).pdf

He publicado nuevos apuntes de 1º Derecho Empresarial I: TEMA-8-LAS-SOCIEDADES-DE-CAPITAL-d.mercantil.pdf

1 página