Todo
Apuntes
Exámenes
Prácticas
Test
chevron_left
chevron_right

He publicado nuevos apuntes de 3º Derecho Financiero: Financiero.pdf

82 páginas

He publicado nuevos apuntes de 3º Derecho Financiero: Apuntes-Derecho-financiero.pdf

47 páginas

He publicado nuevos examenes de 3º Derecho Financiero: TIPO-TEST-TEMARIO-FINANCIERO.pdf

13 páginas

apuntes

-

Temario de Dº Financiero

He publicado nuevos apuntes de 3º Derecho Financiero: Temario de Dº Financiero

TEMA-1.pdf
TEMA-2.pdf
TEMA-3.pdf
TEMA-4.pdf
TEMA-5.pdf
TEMA-6.pdf

apuntes

-

derecho financiero

He publicado nuevos apuntes de 3º Derecho Financiero: derecho financiero

derecho-financiero-tema-12.pdf
derecho-financiero-tema-11.pdf
derecho-financiero-tema-10-entero.pdf
derecho-financiero-tema-9-entero.pdf
derecho-financiero-tema-8.pdf
derecho-financiero-tema-7.pdf

He publicado nuevos test de 3º Derecho Financiero: preguntas-manual-t1-t8.pdf

25 páginas

He publicado nuevos apuntes de 3º Derecho Financiero: DF-8.pdf

3 páginas

He publicado nuevos apuntes de 3º Derecho Financiero: DF-6.pdf

1 página

He publicado nuevos apuntes de 3º Derecho Financiero: DF-7.pdf

2 páginas

He publicado nuevos apuntes de 3º Derecho Financiero: DF-5.pdf

3 páginas

He publicado nuevos apuntes de 3º Derecho Financiero: DF-3.pdf

1 página

He publicado nuevos apuntes de 3º Derecho Financiero: DF-4.pdf

3 páginas

He publicado nuevos apuntes de 3º Derecho Financiero: DF-2.pdf

2 páginas

He publicado nuevos apuntes de 3º Derecho Financiero: DF-1.pdf

2 páginas

test

-

Tests Derecho Financiero

Son tests hechos en clase por kahoot

Tema-1-4.-Kahoot.pdf
Tema-5-8.-Kahoot.pdf
Tema-9-12.-Kahoot.pdf
Kahoot-Global.pdf

practicas

-

Prácticas Derecho Financiero

Casos prácticos de clase

Tema-10.-Casos-Practicos.pdf
Tema-11.-Casos-practicos.pdf

apuntes

-

Derecho Financiero

12 temas de derecho financiero con sus leyes

Tema-4.-Apuntes-Derecho-Financiero.pdf
Tema-5.1.-Apuntes-Derecho-Financiero.pdf
Tema-5.2.-Apuntes-Derecho-Financiero.pdf
Tema-6.-Apuntes-Derecho-Financiero.pdf
Tema-7.-Apuntes-Derecho-Financiero.pdf
Tema-8.-Apuntes-Derecho-Financiero.pdf
Anónimo

@Anónimo

He publicado nuevos examenes de 3º Derecho Financiero: Preguntas-derecho-financiero.pdf

8 páginas
Anónimo

@Anónimo

He publicado nuevos apuntes de 3º Derecho Financiero: DERECHO-FINANCIERO-final.pdf

136 páginas
Anónimo

@Anónimo

examenes

-

Derecho Financiero

He publicado nuevos examenes de 3º Derecho Financiero: Derecho Financiero

Tipo-Test-Daniel-Ortiz-Espejo.pdf
Examen-Enero-2024.pdf

apuntes

-

DERECHO FINANCIERO Y TRIBUTARIO

He publicado nuevos apuntes de 3º Derecho Financiero: DERECHO FINANCIERO Y TRIBUTARIO

TEMA-2-DERECHO-FINANCIERO-Y-TRIBUTARIO.pdf
TEMA-1-DERECHO-FINANCIERO-Y-TRIBUTARIO.pdf
TEMA-3-DERECHO-FINANCIERO-Y-TRIBUTARIO.pdf
TEMA-4-DERECHO-FINANCIERO-Y-TRIBUTARIO.pdf
TEMA-5-DERECHO-FINANCIERO-Y-TRIBUTARIO.pdf
TEMA-6-DERECHO-FINANCIERO-Y-TRIBUTARIO.pdf
Anónimo

@Anónimo

examenes

-

Examenes Completos D. Financiero Alcorcon

He publicado nuevos examenes de 3º Derecho Financiero: Examenes Completos D. Financiero Alcorcon

Examenes-Financiero-J--A.pdf
Examen-impuestos.pdf
Examen-BLOQUE-1-y-2.pdf

He publicado nuevos apuntes de 3º Derecho Financiero: Tema-5-financiero-2023.pdf

11 páginas

He publicado nuevos apuntes de 3º Derecho Financiero: Tema-4-financiero-2023.pdf

6 páginas
Anónimo

@Anónimo

apuntes

-

Temas Financiero

He publicado nuevos apuntes de 3º Derecho Financiero: Temas Financiero

Tema-3.La-inspeccion-tributaria.pdf
Tema-2.Gestion.pdf
Tema-4.-Recaudacion.pdf
Tema-5.pdf

He publicado nuevos apuntes de 3º Derecho Financiero: examen-financiero.pdf

20 páginas

He publicado nuevos examenes de 3º Derecho Financiero: Preguntas-Financiero.pdf

3 páginas
Anónimo

@Anónimo

apuntes

-

Derecho financiero

He publicado nuevos apuntes de 3º Derecho Financiero: Derecho financiero

Impuesto-de-sociedades.pdf
Impuesto-sobre-sucesiones-y-donaciones.pdf

apuntes

-

D. Financiero (Todos los temas)

He publicado nuevos apuntes de 3º Derecho Financiero: D. Financiero (Todos los temas)

Impuesto-de-sociedades.pdf
Derecho-Financiero.pdf
La-tributacion-en-el-IVA-de-las-importaciones-de-.pdf
Introduccion-y-primeros-tributos.pdf
Impuestos-especiales.pdf
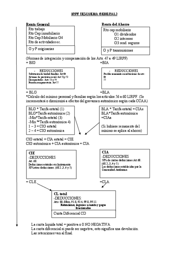
Esquema-general-IRPF.pdf

practicas

-

Ejercicios prácticos

He publicado nuevos practicas de 3º Derecho Financiero: Ejercicios prácticos

Calcule-el-minimo-personal-y-familiar-.pdf
Ej-base-imponible-a-base-liquidable.pdf
Ej-BIA.pdf
Cuenta-de-perdidas-y-ganancias.pdf
Practica-Derecho-Financiero-2.pdf
Ejemplo-Diana.pdf

apuntes

-

Ejercicios resuletos- Dcho Financiero

He publicado nuevos apuntes de 3º Derecho Financiero: Ejercicios resuletos- Dcho Financiero

1.pdf
2.pdf
7.pdf
Ejercicio-IS-SOLUCION.pdf
3.pdf
4.pdf

apuntes

-

Exposiciones (2020-2021)

He publicado nuevos apuntes de 3º Derecho Financiero: Exposiciones (2020-2021)

EXPOSICION-DCHO-FINANCIERO.pdf
notificacion.pdf
RECAUDACION-I.pdf
Comprobacion-limitada.pdf
RECAUDACION-2-pdf.pdf
Inspeccion-Tributaria.pdf

apuntes

-

Ejemplos de Exámenes

He publicado nuevos apuntes de 3º Derecho Financiero: Ejemplos de Exámenes

EXAMEN-BLOQUE-II-DERECHO-FINANCIERO-DICIEMBRE.pdf
Examen-BLOQUE-1-y-2.pdf

apuntes

-

BLOQUE III. Impuestos.Dcho financiero

He publicado nuevos apuntes de 3º Derecho Financiero: BLOQUE III. Impuestos.Dcho financiero

impuesto-de-sociedades.pdf
ITPAJD.pdf
sucesiones-y-donaciones.pdf
IIEE.pdf
IRPF.pdf
IVA-2.pdf

apuntes

-

Bloques I y II_ Dcho financiero

He publicado nuevos apuntes de 3º Derecho Financiero: Bloques I y II_ Dcho financiero

Tema-6-LA-OBLIGACION-TRIBUTARIA.pdf
Tema-2-SISTEMA-TRIBUTARIO-Y-PODER-FINANCIERO.pdf
Tema-7-OBLIGADOS-TRIBUTARIOS.pdf
Tema-3-FUENTES-DEL-DERECHO-TRIBUTARIO.pdf
Tema-1-INTRODUCCION.pdf
Tema-8-LA-EXTINCION-DE-LA-OBLIGACION-TRIBUTARIA.pdf

He publicado nuevos apuntes de 3º Derecho Financiero: Apuntes.docx

word
¡Estás al día!

¡Estás al día!

Has visto todos los archivos