Todo
Apuntes
Ejercicios
Exámenes
Prácticas
publication
Test
chevron_left
chevron_right

He publicado nuevos practicas de 3º Derecho Mercantil I: EPD-8.pdf

3 páginas

He publicado nuevos practicas de 3º Derecho Mercantil I: EPD-7.pdf

4 páginas

He publicado nuevos practicas de 3º Derecho Mercantil I: EPD-2.pdf

4 páginas

He publicado nuevos ejercicios de 3º Derecho Mercantil I: EPD-2.-DM.pdf

4 páginas

patentes, marcas, etc

11 páginas

He publicado nuevos apuntes de 3º Derecho Mercantil I: TEST-LECTURA-1-IA.pdf

5 páginas

He publicado nuevos apuntes de 3º Derecho Mercantil I: Lectura-1.pdf

28 páginas

apuntes

-

epd

He publicado nuevos apuntes de 3º Derecho Mercantil I: epd

EPD-2.pdf
EPD-2.pdf
EPD-3.pdf
EPD-3.pdf
epd-5.pdf
epd-5.pdf

apuntes

-

Derecho Mercantil I

Apuntes completos Derecho Mercantil I

TEMA-1-MERCANTIL.pdf
TEMA-1-MERCANTIL.pdf
TEMA-2-MERCANTIL.pdf
TEMA-2-MERCANTIL.pdf
TEMA-3-MERCANTIL.pdf
TEMA-3-MERCANTIL.pdf

He publicado nuevos apuntes de 3º Derecho Mercantil I: Casos-practicos-clase.pdf

4 páginas

He publicado nuevos apuntes de 3º Derecho Mercantil I: Seguro-de-danos.pdf

1 página

He publicado nuevos apuntes de 3º Derecho Mercantil I: EPD-8-MERCANTIL-I.pdf

Miniatura no disponible
pdf

He publicado nuevos apuntes de 3º Derecho Mercantil I: EPD-5-MERCANTIL-I.pdf

Miniatura no disponible
pdf

He publicado nuevos apuntes de 3º Derecho Mercantil I: EPD-3-MERCANTIL-I.pdf

Miniatura no disponible
pdf

He publicado nuevos apuntes de 3º Derecho Mercantil I: Sociedad-anonima.pdf

15 páginas

He publicado nuevos apuntes de 3º Derecho Mercantil I: Tema-12.pdf

7 páginas

He publicado nuevos apuntes de 3º Derecho Mercantil I: Tema-3.pdf

4 páginas

apuntes

-

Apuntes mercantil

He publicado nuevos apuntes de 3º Derecho Mercantil I: Apuntes mercantil

Tema-1.pdf
Tema-1.pdf
Tema-2.pdf
Tema-2.pdf
Tema-3.pdf
Tema-3.pdf

apuntes

-

Apuntes Derecho Mercantil I

He publicado nuevos apuntes de 3º Derecho Mercantil I: Apuntes Derecho Mercantil I

Tema-1.pdf
Tema-1.pdf
Tema-2-apuntes.pdf
Tema-2-apuntes.pdf
Tema-3-I.pdf
Tema-3-I.pdf

He publicado nuevos apuntes de 3º Derecho Mercantil I: Derecho-Mercantil-I-Temario-Completo.pdf

97 páginas

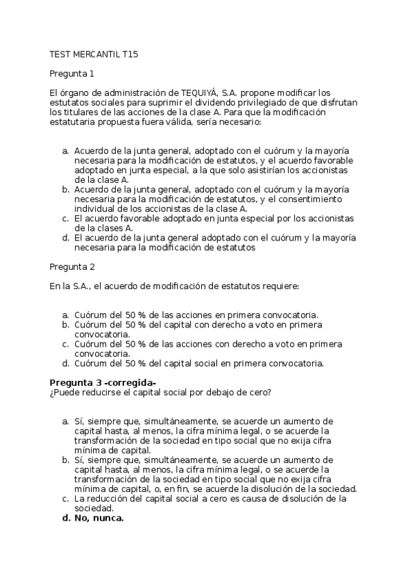
He publicado nuevos apuntes de 3º Derecho Mercantil I: TEST-MERCANTIL-T15-corregido-24-nov.docx

word

apuntes

-

temario

He publicado nuevos apuntes de 3º Derecho Mercantil I: temario

TEMARIO-COMPLETO.pdf
TEMARIO-COMPLETO.pdf
Anónimo

@Anónimo

He publicado nuevos apuntes de 3º Derecho Mercantil I: EPD-MERCANTIL-I.pdf

5 páginas

apuntes

-

TODOS LOS TEMAS DE DERECHO MERCANTIL

He publicado nuevos apuntes de 3º Derecho Mercantil I: TODOS LOS TEMAS DE DERECHO MERCANTIL

TEMAS-17-20-EPD-1.pdf
TEMAS-17-20-EPD-1.pdf
TEMAS-5-y-6.pdf
TEMAS-5-y-6.pdf
LA-MODIFICACIOiN-DE-LOS-ESTATUTOS-SOCIALES.pdf
LA-MODIFICACIOiN-DE-LOS-ESTATUTOS-SOCIALES.pdf

He publicado nuevos apuntes de 3º Derecho Mercantil I: APUNTES-DERECHO-MERCANTIL-1.pdf

105 páginas

He publicado nuevos apuntes de 3º Derecho Mercantil I: EPD-EVALUATIVA-DERECHO-CAMBIARIO-1.docx

word

apuntes

-

TEMARIO COMPLETO PARA EXAMEN

He publicado nuevos apuntes de 3º Derecho Mercantil I: TEMARIO COMPLETO PARA EXAMEN

TEMA-4.pdf
TEMA-4.pdf
TEMA-9.pdf
TEMA-9.pdf
TEMA-12.pdf
TEMA-12.pdf

practicas

-

EPDS RESUELTAS

He publicado nuevos practicas de 3º Derecho Mercantil I: EPDS RESUELTAS

EPD-4-DERECHO-MERCANTIL-I.pdf
EPD-4-DERECHO-MERCANTIL-I.pdf
EPD-5-DERECHO-MERCANTIL-I.pdf
EPD-5-DERECHO-MERCANTIL-I.pdf
EPD-8-DERECHO-MERCANTIL-I.pdf
EPD-8-DERECHO-MERCANTIL-I.pdf

He publicado nuevos examenes de 3º Derecho Mercantil I: CASO-PRACTICO-EXAMENN-FINAL-2020-2021.pdf

2 páginas

examenes

-

TESTS EXAMEN FINAL MERCANTIL I

He publicado nuevos examenes de 3º Derecho Mercantil I: TESTS EXAMEN FINAL MERCANTIL I

otro-test-final-examen.pdf
otro-test-final-examen.pdf
otro-test-examen-final.pdf
otro-test-examen-final.pdf
mas-tests.pdf
mas-tests.pdf

He publicado nuevos apuntes de 3º Derecho Mercantil I: todos-los-temas.pdf

105 páginas

He publicado nuevos apuntes de 3º Derecho Mercantil I: Resumen-todos-los-temas.pdf

43 páginas

apuntes

-

TEMARIO MERCANTIL I

He publicado nuevos apuntes de 3º Derecho Mercantil I: TEMARIO MERCANTIL I

Resumen-todos-los-temas.pdf
Resumen-todos-los-temas.pdf
todos-los-temas.pdf
todos-los-temas.pdf

test

-

TESTS EPDS MERCANTIL I

He publicado nuevos test de 3º Derecho Mercantil I: TESTS EPDS MERCANTIL I

DM-1-LecturaEPD6.pdf
DM-1-LecturaEPD6.pdf
TEST-EPD.pdf
TEST-EPD.pdf
TEST-EPD-DERECHO-MERCANTIL-I.pdf
TEST-EPD-DERECHO-MERCANTIL-I.pdf

He publicado nuevos examenes de 3º Derecho Mercantil I: Tipo-test-examen.pdf

5 páginas

He publicado nuevos examenes de 3º Derecho Mercantil I: test-final.pdf

5 páginas

He publicado nuevos test de 3º Derecho Mercantil I: EXAMEN-FINAL-DERECHO-MERCANTIL-I.pdf

4 páginas

apuntes

-

derecho de la COMPETENCIA

He publicado nuevos apuntes de 3º Derecho Mercantil I: derecho de la COMPETENCIA

derecho-de-la-competencia.pdf
derecho-de-la-competencia.pdf
derecho-de-la-competencia-parte-II.pdf
derecho-de-la-competencia-parte-II.pdf

apuntes

-

Resumen temas 1-16 D.Mercantil I

He publicado nuevos apuntes de 3º Derecho Mercantil I: Resumen temas 1-16 D.Mercantil I

LECCION-2-DMI.pdf
LECCION-2-DMI.pdf
LECCION-10-DMI.pdf
LECCION-10-DMI.pdf
LECCION-8-DMI.pdf
LECCION-8-DMI.pdf

apuntes

-

TIPO TEST

He publicado nuevos apuntes de 3º Derecho Mercantil I: TIPO TEST

7e76a96f-fd1b-4316-8223-e3f7c3e34106.jpg
7e76a96f-fd1b-4316-8223-e3f7c3e34106.jpg
7dce8cd1-612a-428f-818f-4e70dbbbead7.jpg
7dce8cd1-612a-428f-818f-4e70dbbbead7.jpg
1f1a7246-8206-4175-88e7-bbc6ec74bd5e1.jpg
1f1a7246-8206-4175-88e7-bbc6ec74bd5e1.jpg