Diferenciación de Funciones de Varias Variables

Todo
Apuntes
Ejercicios
Exámenes
chevron_left
chevron_right

apuntes

-

Teoremas

He publicado nuevos apuntes de 2º Diferenciación de Funciones de Varias Variables: Teoremas

Teoremas-1.pdf
Teoremas-1.pdf
Teoremas-2.pdf
Teoremas-2.pdf

apuntes

-

APUNTES CLASE + EJERCICIOS DE TODOS LOS TEMAS DE DFVV

He publicado nuevos apuntes de 2º Diferenciación de Funciones de Varias Variables: APUNTES CLASE + EJERCICIOS DE TODOS LOS TEMAS DE DFVV

DFVV-TEMA-1-INTRODUCCION-PROPIEDADES-DE-Rn-APUNTES-DE-CLASE--EJERCICIOS.pdf
DFVV-TEMA-1-INTRODUCCION-PROPIEDADES-DE-Rn-APUNTES-DE-CLASE--EJERCICIOS.pdf

apuntes

-

RESUMEN APUNTES DE TODOS LOS TEMAS DE DFVV

He publicado nuevos apuntes de 2º Diferenciación de Funciones de Varias Variables: RESUMEN APUNTES DE TODOS LOS TEMAS DE DFVV

DFVV-RESUMEN-APUNTES-TEMA-1-INTRODUCCION-PROPIEDADES-DE-Rn.pdf
DFVV-RESUMEN-APUNTES-TEMA-1-INTRODUCCION-PROPIEDADES-DE-Rn.pdf

He publicado nuevos examenes de 2º Diferenciación de Funciones de Varias Variables: DFVVEjerciciosResueltosSegundoParcial.pdf

33 páginas

apuntes

-

Tema 5 (Apuntes y ejercicios resueltos)

He publicado nuevos apuntes de 2º Diferenciación de Funciones de Varias Variables: Tema 5 (Apuntes y ejercicios resueltos)

DFVVMisApuntes5.pdf
DFVVMisApuntes5.pdf
DFVVMisResumenes5.pdf
DFVVMisResumenes5.pdf
DFVVDemostraciones5.pdf
DFVVDemostraciones5.pdf

apuntes

-

Tema 4 (Apuntes y ejercicios resueltos)

He publicado nuevos apuntes de 2º Diferenciación de Funciones de Varias Variables: Tema 4 (Apuntes y ejercicios resueltos)

DFVVMisApuntes4.pdf
DFVVMisApuntes4.pdf
DFVVMisResumenes4.pdf
DFVVMisResumenes4.pdf
DFVVEjerciciosResueltos4.pdf
DFVVEjerciciosResueltos4.pdf

He publicado nuevos apuntes de 2º Diferenciación de Funciones de Varias Variables: DFVVDemostracionesT1-2-3.pdf

12 páginas

He publicado nuevos examenes de 2º Diferenciación de Funciones de Varias Variables: DFVVEjerciciosResueltosPrimerParcial.pdf

15 páginas

apuntes

-

Tema 3 (Apuntes y ejercicios resueltos)

He publicado nuevos apuntes de 2º Diferenciación de Funciones de Varias Variables: Tema 3 (Apuntes y ejercicios resueltos)

DFVVMisApuntes3.pdf
DFVVMisApuntes3.pdf
DFVVMisResumenes3.pdf
DFVVMisResumenes3.pdf
DFVVEjerciciosResueltos3.pdf
DFVVEjerciciosResueltos3.pdf

apuntes

-

Tema 2 (Apuntes y ejercicios resueltos)

He publicado nuevos apuntes de 2º Diferenciación de Funciones de Varias Variables: Tema 2 (Apuntes y ejercicios resueltos)

DFVVMisApuntes2.pdf
DFVVMisApuntes2.pdf
DFVVMisResumenes2.pdf
DFVVMisResumenes2.pdf
DFVVEjerciciosResueltos2.pdf
DFVVEjerciciosResueltos2.pdf

apuntes

-

Tema 1 (Apuntes y ejercicios resueltos)

He publicado nuevos apuntes de 2º Diferenciación de Funciones de Varias Variables: Tema 1 (Apuntes y ejercicios resueltos)

DFVVEjerciciosResueltos1.pdf
DFVVEjerciciosResueltos1.pdf
DFVVMisApuntes1.pdf
DFVVMisApuntes1.pdf
DFVVMisResumenes1.pdf
DFVVMisResumenes1.pdf

apuntes

-

Tema 0 (Apuntes)

He publicado nuevos apuntes de 2º Diferenciación de Funciones de Varias Variables: Tema 0 (Apuntes)

DFVVMisApuntes0.pdf
DFVVMisApuntes0.pdf

ejercicios

-

EJERCICIOS RESUELTOS

He publicado nuevos ejercicios de 2º Diferenciación de Funciones de Varias Variables: EJERCICIOS RESUELTOS

EJERCICIOS-DFVV-2do-parcial.pdf
EJERCICIOS-DFVV-2do-parcial.pdf
EJERCICIOS-DFVV--1er-parcial.pdf
EJERCICIOS-DFVV--1er-parcial.pdf

He publicado nuevos examenes de 2º Diferenciación de Funciones de Varias Variables: 2019-20-Parcial-2-grupo-B.pdf

7 páginas

examenes

-

RESUELTOS EXÁMENES

He publicado nuevos examenes de 2º Diferenciación de Funciones de Varias Variables: RESUELTOS EXÁMENES

RESUELTOS-EXAMENES-II.pdf
RESUELTOS-EXAMENES-II.pdf
RESUELTOS-EXAMENES-I.pdf
RESUELTOS-EXAMENES-I.pdf
RESUELTOS-EXAMENES-IV.pdf
RESUELTOS-EXAMENES-IV.pdf

apuntes

-

DEMOSTRACIONES TEOREMAS EXAMEN

He publicado nuevos apuntes de 2º Diferenciación de Funciones de Varias Variables: DEMOSTRACIONES TEOREMAS EXAMEN

Prueba-Teorema-Funcion-Implicita.pdf
Prueba-Teorema-Funcion-Implicita.pdf
Prueba-conficiones-necesaria-y-suficiente-de-extremos.pdf
Prueba-conficiones-necesaria-y-suficiente-de-extremos.pdf
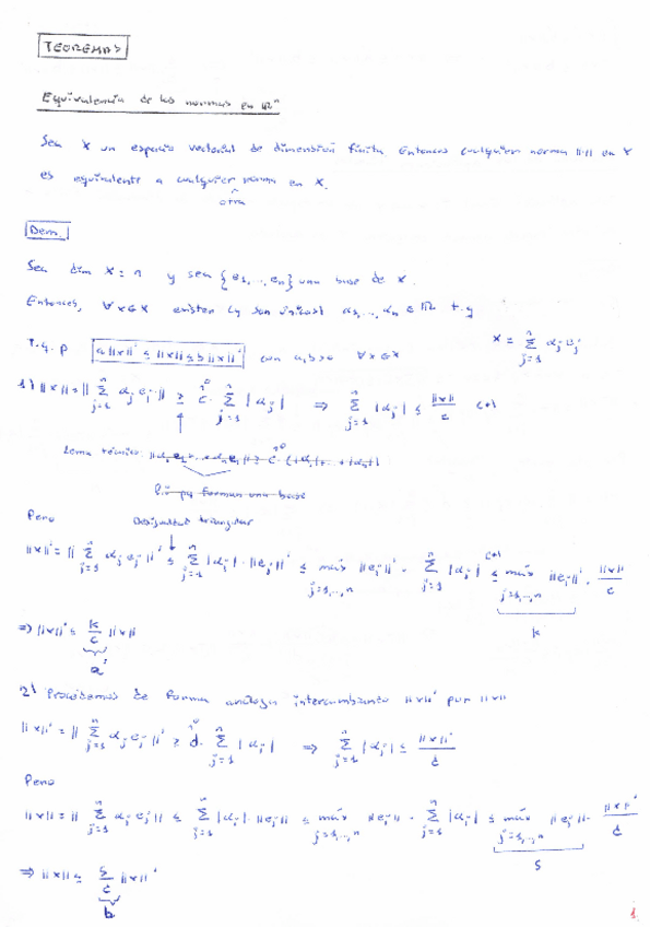
Prueba-Equivalencia-de-las-normas-en-R.pdf
Prueba-Equivalencia-de-las-normas-en-R.pdf

ejercicios

-

RESUELTOS EJERCICIOS POR TEMAS

He publicado nuevos ejercicios de 2º Diferenciación de Funciones de Varias Variables: RESUELTOS EJERCICIOS POR TEMAS

RESUELTOS-Ejercicios-Tema-1-y-2.pdf
RESUELTOS-Ejercicios-Tema-1-y-2.pdf
RESUELTOS-Ejercicios-Temas-2-y-3.pdf
RESUELTOS-Ejercicios-Temas-2-y-3.pdf
RESUELTOS-Ejercicios-Tema-1.pdf
RESUELTOS-Ejercicios-Tema-1.pdf