Diferenciación de Funciones de Varias Variables

chevron_left
chevron_right
Todo
Apuntes
Ejercicios
Exámenes
Otros
chevron_left
chevron_right

apuntes

-

APUNTES CLASE + EJERCICIOS DE TODOS LOS TEMAS DE DFVV

He publicado nuevos apuntes de 2º Diferenciación de Funciones de Varias Variables: APUNTES CLASE + EJERCICIOS DE TODOS LOS TEMAS DE DFVV

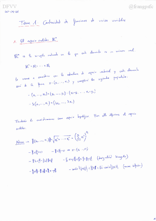
DFVV-TEMA-1-INTRODUCCION-PROPIEDADES-DE-Rn-APUNTES-DE-CLASE--EJERCICIOS.pdf
DFVV-TEMA-2-LIMITE-CONTINUIDAD-Y-DIFERENCIABILIDAD-APUNTES-DE-CLASE--EJERCICIOS.pdf
DFVV-TEMA-3-FUNCION-IMPLICITA-APUNTES-DE-CLASE--EJERCICIOS.pdf
DFVV-TEMA-4-EXTREMOS-FUNCIONES-APUNTES-DE-CLASE--EJERCICIOS.pdf

apuntes

-

RESUMEN APUNTES DE TODOS LOS TEMAS DE DFVV

He publicado nuevos apuntes de 2º Diferenciación de Funciones de Varias Variables: RESUMEN APUNTES DE TODOS LOS TEMAS DE DFVV

DFVV-RESUMEN-APUNTES-TEMA-1-INTRODUCCION-PROPIEDADES-DE-Rn.pdf
DFVV-RESUMEN-APUNTES-TEMA-2-LIMITE-CONTINUIDAD-Y-DIFERENCIABILIDAD.pdf
DFVV-RESUMEN-APUNTES-TEMA-3-TEOREMA-FUNCION-IMPLICITA.pdf
DFVV-RESUMEN-APUNTES-TEMA-4-EXTREMOS-FUNCIONES.pdf

apuntes

-

Teoría DFVV

He publicado nuevos apuntes de 2º Diferenciación de Funciones de Varias Variables: Teoría DFVV

inversa-ejemplos.pdf
teorema-inversa.pdf

ejercicios

-

Problemas resueltos

He publicado nuevos ejercicios de 2º Diferenciación de Funciones de Varias Variables: Problemas resueltos

DFVVProblemasTema1.pdf
DFVVProblemasTema2.pdf
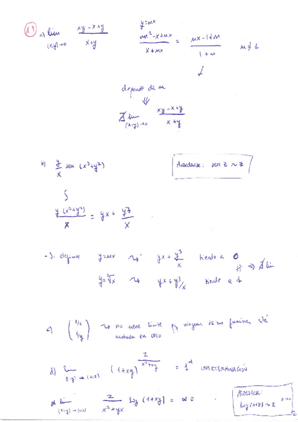
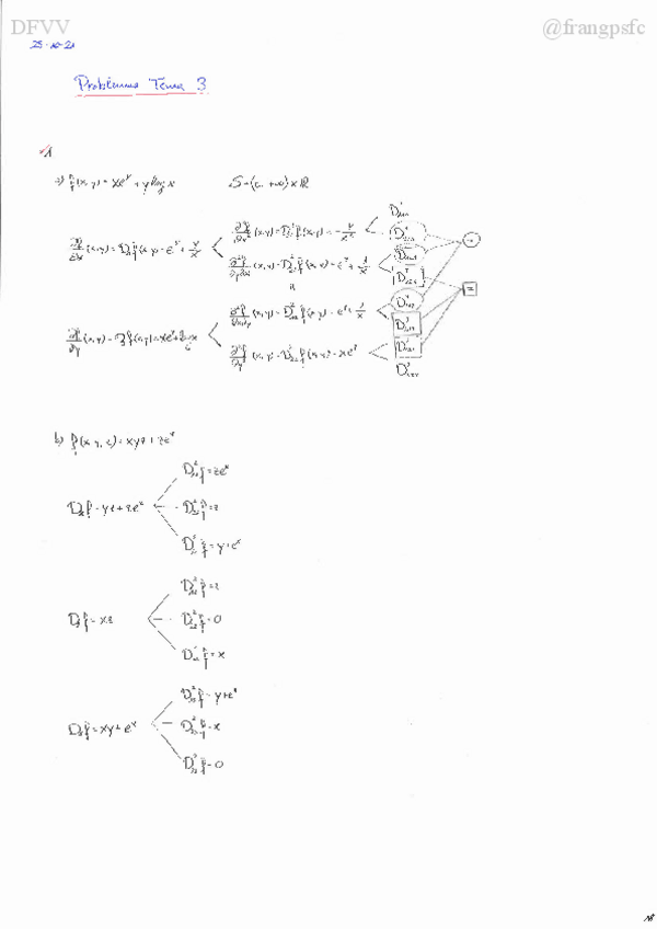
DFVVProblemasTema3.pdf
DFVVProblemasTema4.pdf
DFVVProblemasTema5.pdf

apuntes

-

Apuntes completos

He publicado nuevos apuntes de 2º Diferenciación de Funciones de Varias Variables: Apuntes completos

DFVVApuntesTema1.pdf
DFVVApuntesTema2.pdf
DFVVApuntesTema3.pdf
DFVVApuntesTema4.pdf
DFVVApuntesTema5.pdf

apuntes

-

Tema 4

He publicado nuevos apuntes de 2º Diferenciación de Funciones de Varias Variables: Tema 4

Tema-4.pdf
Ejercicios-tema-4.pdf

apuntes

-

Tema 3

He publicado nuevos apuntes de 2º Diferenciación de Funciones de Varias Variables: Tema 3

Tema-3.pdf
Ejercicios-tema-3.pdf

apuntes

-

Tema 2

He publicado nuevos apuntes de 2º Diferenciación de Funciones de Varias Variables: Tema 2

Tema-2.pdf
Ejercicios-tema-2.pdf

apuntes

-

Tema 1

He publicado nuevos apuntes de 2º Diferenciación de Funciones de Varias Variables: Tema 1

Tema-1.pdf
Ejercicios-tema-1.pdf

He publicado nuevos examenes de 2º Diferenciación de Funciones de Varias Variables: DFVVEjerciciosResueltosSegundoParcial.pdf

33 páginas

apuntes

-

Tema 5 (Apuntes y ejercicios resueltos)

He publicado nuevos apuntes de 2º Diferenciación de Funciones de Varias Variables: Tema 5 (Apuntes y ejercicios resueltos)

DFVVDemostraciones5.pdf
DFVVEjerciciosResueltos5.pdf
DFVVMisApuntes5.pdf
DFVVMisResumenes5.pdf

apuntes

-

Tema 4 (Apuntes y ejercicios resueltos)

He publicado nuevos apuntes de 2º Diferenciación de Funciones de Varias Variables: Tema 4 (Apuntes y ejercicios resueltos)

DFVVEjerciciosResueltos4.pdf
DFVVDemostraciones4.pdf
DFVVMisApuntes4.pdf
DFVVMisResumenes4.pdf

He publicado nuevos apuntes de 2º Diferenciación de Funciones de Varias Variables: DFVVDemostracionesT1-2-3.pdf

12 páginas

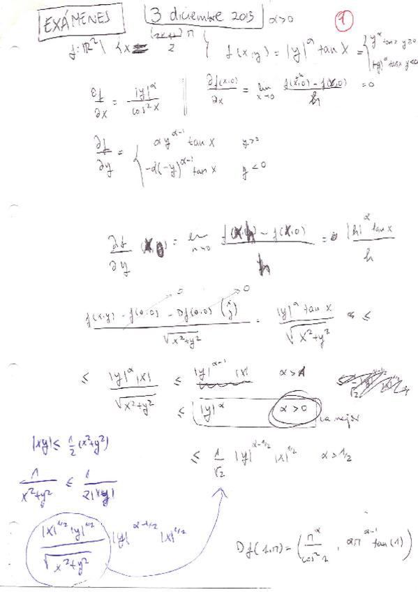
He publicado nuevos examenes de 2º Diferenciación de Funciones de Varias Variables: DFVVEjerciciosResueltosPrimerParcial.pdf

15 páginas

apuntes

-

Tema 3 (Apuntes y ejercicios resueltos)

He publicado nuevos apuntes de 2º Diferenciación de Funciones de Varias Variables: Tema 3 (Apuntes y ejercicios resueltos)

DFVVEjerciciosResueltos3.pdf
DFVVMisApuntes3.pdf
DFVVMisResumenes3.pdf

apuntes

-

Tema 2 (Apuntes y ejercicios resueltos)

He publicado nuevos apuntes de 2º Diferenciación de Funciones de Varias Variables: Tema 2 (Apuntes y ejercicios resueltos)

DFVVEjerciciosResueltos2.pdf
DFVVMisResumenes2.pdf
DFVVMisApuntes2.pdf

apuntes

-

Tema 1 (Apuntes y ejercicios resueltos)

He publicado nuevos apuntes de 2º Diferenciación de Funciones de Varias Variables: Tema 1 (Apuntes y ejercicios resueltos)

DFVVMisResumenes1.pdf
DFVVMisApuntes1.pdf
DFVVEjerciciosResueltos1.pdf

He publicado nuevos apuntes de 2º Diferenciación de Funciones de Varias Variables: DFVVMisApuntes0.pdf

3 páginas

ejercicios

-

EJERCICIOS RESUELTOS

He publicado nuevos ejercicios de 2º Diferenciación de Funciones de Varias Variables: EJERCICIOS RESUELTOS

EJERCICIOS-DFVV-2do-parcial.pdf
EJERCICIOS-DFVV--1er-parcial.pdf

He publicado nuevos examenes de 2º Diferenciación de Funciones de Varias Variables: 2019-20-Parcial-2-grupo-B.pdf

7 páginas

examenes

-

RESUELTOS EXÁMENES

He publicado nuevos examenes de 2º Diferenciación de Funciones de Varias Variables: RESUELTOS EXÁMENES

CORRECCION-EJERCICIO-EXAMEN.pdf
RESUELTOS-EXAMENES-I.pdf
RESUELTOS-EXAMENES-IV.pdf
RESUELTOS-EXAMENES-II.pdf
RESUELTOS-EXAMENES-III.pdf
Examenes-resueltos.pdf

apuntes

-

DEMOSTRACIONES TEOREMAS EXAMEN

He publicado nuevos apuntes de 2º Diferenciación de Funciones de Varias Variables: DEMOSTRACIONES TEOREMAS EXAMEN

Prueba-Teorema-Funcion-Implicita.pdf
Prueba-Equivalencia-de-las-normas-en-R.pdf
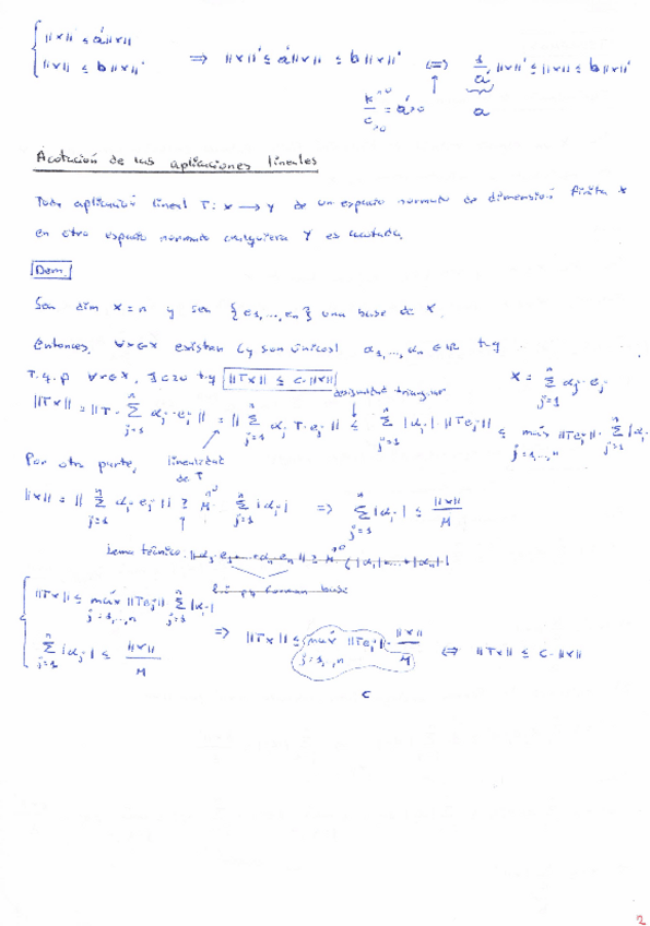
Prueba-Acotacion-de-las-aplicaciones-lineales.pdf
Prueba-conficiones-necesaria-y-suficiente-de-extremos.pdf

ejercicios

-

RESUELTOS EJERCICIOS POR TEMAS

He publicado nuevos ejercicios de 2º Diferenciación de Funciones de Varias Variables: RESUELTOS EJERCICIOS POR TEMAS

RESUELTOS-Ejercicios-Tema-1-y-2.pdf
RESUELTOS-Ejercicios-Temas-2-y-3.pdf
RESUELTOS-Ejercicios-Tema-1.pdf

otros

-

Teoremas DFVV

He publicado nuevos otros de 2º Diferenciación de Funciones de Varias Variables: Teoremas DFVV

Teoremas_DFVV_2.pdf
Teoremas_DFVV.pdf
¡Estás al día!

¡Estás al día!

Has visto todos los archivos