DINÁMICA DE MEDIOS CONTINUOS

chevron_left
chevron_right
Todo
Apuntes
Ejercicios
Prácticas
chevron_left
chevron_right

practicas

-

Practicas de ordenador

Informes de las practicas de ordenador de medios continuos

PRACTICA1.pdf
PRACTICA1MEDIOSCONTINUOSINVESTIGA.pdf
PRACTICA2MEDIOSCONTINUOS.pdf
PRACTICA3MEDIOSCONTINUOS.pdf
Informe-practica-4.pdf

ejercicios

-

Ejercicios entregables

Ejercicios resueltos que hay que entregar en la asignatura Medios Continuos

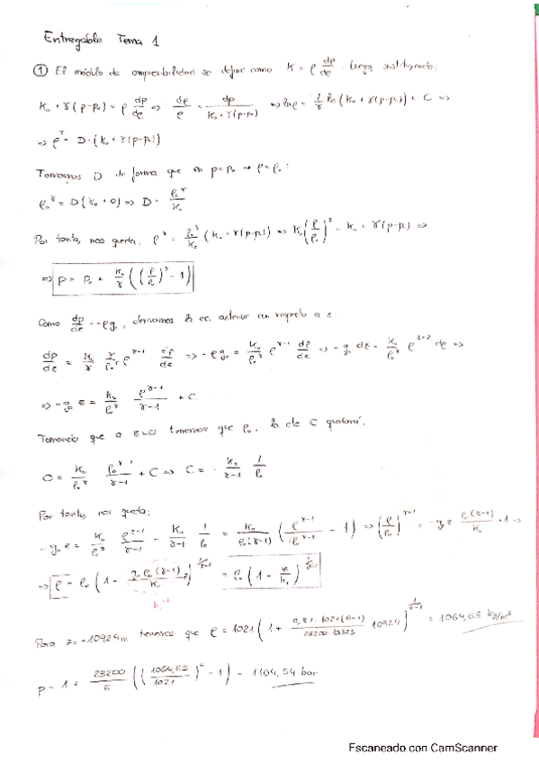
Entregable-tema-1.pdf
Entrega-tema-2.pdf
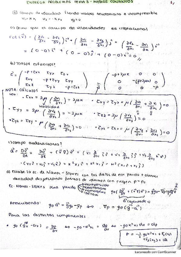
Entregable-tema-3.pdf

ejercicios

-

ENTREGAS EJERCICIOS RESUELTAS

He publicado nuevos ejercicios de 4º DINÁMICA DE MEDIOS CONTINUOS: ENTREGAS EJERCICIOS RESUELTAS

entregaproblemast2medios.pdf
entregapromebas3medios.pdf
ejercicio1grafica.png
entrega1medios.pdf
problemasaentregar1.pdf
Anónimo

@Anónimo

apuntes

-

Apuntes completos

He publicado nuevos apuntes de 4º DINÁMICA DE MEDIOS CONTINUOS: Apuntes completos

guia-PRACTICA1.pdf
PRACTICA1.pdf
PRACTICA-2.pdf
PRACTICA-3.pdf
Entregable-Tema-1-hecho.pdf
problemas12020.pdf
¡Estás al día!

¡Estás al día!

Has visto todos los archivos