chevron_left
chevron_right
Todo
Apuntes
Ejercicios
Exámenes
Prácticas
chevron_left
chevron_right

examenes

-

1º PARCIALES RESUELTOS

Parciales resueltos y explicados.

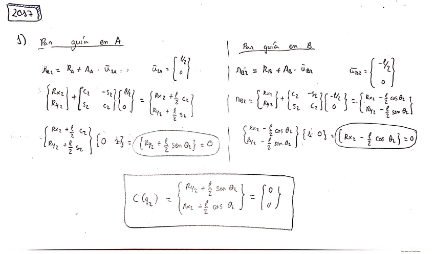
PARCIAL 2017.pdf
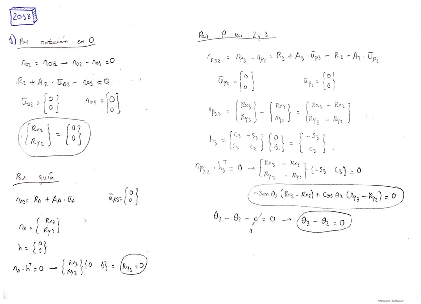
PARCIAL 2018.pdf
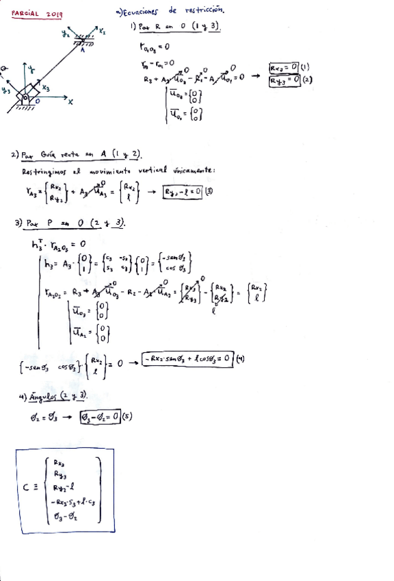
PARCIAL 2019.pdf
PARCIAL 2021.pdf
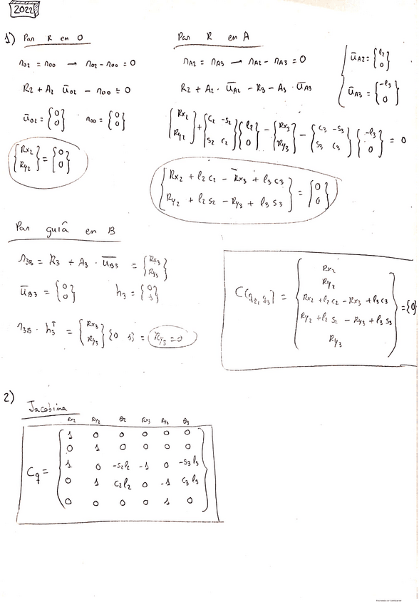
PARCIAL 2022.pdf
PARCIAL 2023.pdf
Anónimo

@Anónimo

He publicado nuevos examenes de 3º Dinámica de Sistemas Multicuerpo: Ex3SolAumentadaCompactayCompleta2025.pdf

7 páginas

He publicado nuevos ejercicios de 3º Dinámica de Sistemas Multicuerpo: Problema-T6.pdf

2 páginas
Anónimo

@Anónimo

Resolucion_posible_Ex_3_2025

6 páginas

practicas

-

EXAMENES DE PRACTICAS 24-25

He publicado nuevos practicas de 3º Dinámica de Sistemas Multicuerpo: EXAMENES DE PRACTICAS 24-25

DSMC-GIM-S05-Ejercicio-Mecanismo-de-retorno-rapido-de-Whitworth.pdf
DSMC-GIM-P10-Ejercicio-Motores-Policilindricos.pdf

examenes

-

2DOS PARCIALES RESUELTOS

Todos, absolutamente todos los 2dos parciales de la historia de la asignatura, resueltos al milimetro y explicados

2DO-PAR-2024-DSM.pdf
2DO-PAR-2023-DSM.pdf
2DO-PAR-2022-DSM.pdf
2DO-PAR-2021-DSM.pdf
2DO-PAR-2018-DSM.pdf
2DO-PAR-2017-DSM.pdf

examenes

-

2º PARCIALES RESUELTOS

He publicado nuevos examenes de 3º Dinámica de Sistemas Multicuerpo: 2º PARCIALES RESUELTOS

PARCIAL 2023.pdf
Miniatura no disponible
PARCIAL 2024.pdf
PARCIAL 2022.pdf
PARCIAL 2021.pdf
PARCIAL 2019.pdf
PARCIAL 2018.pdf

examenes

-

examenes 2P

He publicado nuevos examenes de 3º Dinámica de Sistemas Multicuerpo: examenes 2P

20232P.pdf
20212P.pdf
20192P.pdf
2018P2.pdf
2024-2P.pdf
2022-2P.pdf

He publicado nuevos ejercicios de 3º Dinámica de Sistemas Multicuerpo: PROBLEMAS-TEMA-4-Y-5-DSM.pdf

6 páginas

He publicado nuevos ejercicios de 3º Dinámica de Sistemas Multicuerpo: Problema-2-tema-5.pdf

2 páginas

examenes

-

1EROS PARCIALES RESUELTOS

He publicado nuevos examenes de 3º Dinámica de Sistemas Multicuerpo: 1EROS PARCIALES RESUELTOS

PARCIAL-1-2024-DSM.pdf
PARCIAL-1-2023-DSM.pdf
PARCIAL-1-2022-DSM.pdf
PARCIAL-1-2020-DSM.pdf
PARCIAL-1-2014-DSM.pdf
PARCIAL-1-2013-DSM.pdf

ejercicios

-

EJERCICIOS RESUELTOS

He publicado nuevos ejercicios de 3º Dinámica de Sistemas Multicuerpo: EJERCICIOS RESUELTOS

EJERCICIOS-TEMA-2-Y-3.pdf

examenes

-

Parcial 3° - RESUELTOS

He publicado nuevos examenes de 3º Dinámica de Sistemas Multicuerpo: Parcial 3° - RESUELTOS

2013-RESUELTO.pdf

He publicado nuevos ejercicios de 3º Dinámica de Sistemas Multicuerpo: Ejercicios-y-examenes-3er-Parcial.pdf

16 páginas

ejercicios

-

Problemas RESUELTOS

He publicado nuevos ejercicios de 3º Dinámica de Sistemas Multicuerpo: Problemas RESUELTOS

Tema 2 RESUELTO.pdf
Tema 4 RESUELTO.pdf
Tema 3 RESUELTO.pdf
Tema 5 RESUELTO.pdf
Tema 6 RESUELTO.pdf
Tema 7 RESUELTO.pdf

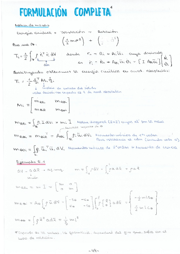
He publicado nuevos apuntes de 3º Dinámica de Sistemas Multicuerpo: FORMULARIO Parcial 2º.pdf

2 páginas

He publicado nuevos examenes de 3º Dinámica de Sistemas Multicuerpo: 1er-y-2o-parcial-resueltos.pdf

32 páginas

He publicado nuevos practicas de 3º Dinámica de Sistemas Multicuerpo: Practica-10-Examen-Motor-Policilindricos.pdf

13 páginas

examenes

-

Parcial 1º - RESUELTOS

He publicado nuevos examenes de 3º Dinámica de Sistemas Multicuerpo: Parcial 1º - RESUELTOS

2022 RESUELTO.pdf
2020 RESUELTO.pdf
2014 RESUELTO.pdf
2013 RESUELTO.pdf

He publicado nuevos apuntes de 3º Dinámica de Sistemas Multicuerpo: FORMULARIO Parcial 1º.pdf

2 páginas

ejercicios

-

PROBLEMAS RESUELTOS (todos los temas)

He publicado nuevos ejercicios de 3º Dinámica de Sistemas Multicuerpo: PROBLEMAS RESUELTOS (todos los temas)

Problemas-Tema-7.pdf
Problemas-Tema-6.pdf
Problemas-Tema-8.pdf
Problemas-Tema-4.pdf
Problemas-Tema-3.pdf
Problemas-Tema-2.pdf

examenes

-

3º PARCIALES RESUELTOS

He publicado nuevos examenes de 3º Dinámica de Sistemas Multicuerpo: 3º PARCIALES RESUELTOS

3o-Parcial-2015.pdf
3o-Parcial-2013.pdf
3o-Parcial-2018.pdf
3o-Parcial-2014.pdf
3o-Parcial-2017.pdf
3o-Parcial-2022.pdf

examenes

-

2º PARCIALES RESUELTOS

He publicado nuevos examenes de 3º Dinámica de Sistemas Multicuerpo: 2º PARCIALES RESUELTOS

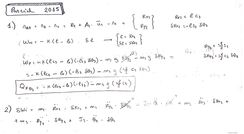
2o-Parcial-2015.pdf
2o-Parcial-2017.pdf
2o-Parcial-2013.pdf
2o-Parcial-2014.pdf

examenes

-

1º PARCIALES RESUELTOS

He publicado nuevos examenes de 3º Dinámica de Sistemas Multicuerpo: 1º PARCIALES RESUELTOS

1o-Parcial-2020.pdf
1o-Parcial-2016.pdf
1o-Parcial-2014.pdf
1o-Parcial-2015-falta-ecuacion-de-la-guia.pdf
1o-Parcial-2018.pdf
1o-Parcial-2013-mal-h2.pdf

POSIBLE PARCIAL Y SOLUCION

2 páginas

He publicado nuevos examenes de 3º Dinámica de Sistemas Multicuerpo: 3o-Parcial-2018.pdf

3 páginas

CORRECCION Cqi esta mal debido a que no he hecho la inversa de Cqd

5 páginas

He publicado nuevos examenes de 3º Dinámica de Sistemas Multicuerpo: 3o-Parcial-2014.pdf

3 páginas

He publicado nuevos examenes de 3º Dinámica de Sistemas Multicuerpo: 3o-Parcial-2013.pdf

4 páginas

CORRECCION La matriz BTxMxB sería una matriz de 1x1 y se corresponde a la suma de las filas de la matriz que sale al final

3 páginas

He publicado nuevos ejercicios de 3º Dinámica de Sistemas Multicuerpo: Problemas-Tema-8.pdf

4 páginas

He publicado nuevos ejercicios de 3º Dinámica de Sistemas Multicuerpo: Problemas-Tema-7.pdf

5 páginas

He publicado nuevos ejercicios de 3º Dinámica de Sistemas Multicuerpo: Problema-Tema-6.pdf

5 páginas

He publicado nuevos examenes de 3º Dinámica de Sistemas Multicuerpo: 2o-Parcial-2017.pdf

3 páginas

He publicado nuevos examenes de 3º Dinámica de Sistemas Multicuerpo: 2o-Parcial-2014.pdf

3 páginas

CORREGIDO

3 páginas

IMPORTANTE. No se si está bien hecho

3 páginas

He publicado nuevos ejercicios de 3º Dinámica de Sistemas Multicuerpo: Problemas-Tema-5.pdf

10 páginas

He publicado nuevos ejercicios de 3º Dinámica de Sistemas Multicuerpo: Problemas-Tema-4.pdf

8 páginas

He publicado nuevos examenes de 3º Dinámica de Sistemas Multicuerpo: 1o-Parcial-2022.pdf

1 página

He publicado nuevos examenes de 3º Dinámica de Sistemas Multicuerpo: 1o-Parcial-2019.pdf

3 páginas

He publicado nuevos examenes de 3º Dinámica de Sistemas Multicuerpo: 1o-Parcial-2018.pdf

3 páginas

He publicado nuevos examenes de 3º Dinámica de Sistemas Multicuerpo: 1o-Parcial-2020.pdf

3 páginas

He publicado nuevos examenes de 3º Dinámica de Sistemas Multicuerpo: 1o-Parcial-2017.pdf

3 páginas

He publicado nuevos examenes de 3º Dinámica de Sistemas Multicuerpo: 1o-Parcial-2016.pdf

3 páginas

He publicado nuevos examenes de 3º Dinámica de Sistemas Multicuerpo: 1o-Parcial-2015.pdf

2 páginas

He publicado nuevos examenes de 3º Dinámica de Sistemas Multicuerpo: Parcial-2014.pdf

2 páginas

1º Parcial RESUELTO (2013)

2 páginas

He publicado nuevos ejercicios de 3º Dinámica de Sistemas Multicuerpo: Problema-2-Tema-3.pdf

5 páginas

He publicado nuevos ejercicios de 3º Dinámica de Sistemas Multicuerpo: Problema-1-Tema-3.pdf

4 páginas

He publicado nuevos ejercicios de 3º Dinámica de Sistemas Multicuerpo: Problema-2-Tema-2.pdf

4 páginas

He publicado nuevos ejercicios de 3º Dinámica de Sistemas Multicuerpo: Problema-1-Tema-2.pdf

4 páginas

examenes

-

Examenes 1º, 2º y 3º parcial

He publicado nuevos examenes de 3º Dinámica de Sistemas Multicuerpo: Examenes 1º, 2º y 3º parcial

Examenes-resueltos-T6-T7-Y-T8.pdf
Examenes-resueltos-T4-Y-T5.pdf
Examenes-resueltos-T1-T2-Y-T3.pdf

apuntes

-

Temas del 1 al 8 con ejercicios

He publicado nuevos apuntes de 3º Dinámica de Sistemas Multicuerpo: Temas del 1 al 8 con ejercicios

T1-T2-Y-T3.pdf
T6-T7-Y-T8.pdf
T4-Y-T5.pdf
¡Estás al día!

¡Estás al día!

Has visto todos los archivos